NO.92十六届蓝桥杯备战|图论基础-最小生成树-Prim算法-Kruskal算法|买礼物|繁忙的都市|滑雪(C++)

一个具有n个顶点的连通图,其⽣成树为包含n-1条边和所有顶点的极⼩连通⼦图。对于⽣成树来说,若砍去⼀条边就会使图不连通图;若增加⼀条边就会形成回路。
![[Pasted image 20250414153851.png]]

![[Pasted image 20250414153858.png]]

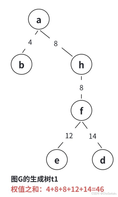
⼀个图的⽣成树可能有多个,将所有⽣成树中权值之和最⼩的树称为最⼩⽣成树。
构造最⼩⽣成树有多种算法,典型的有普利姆(Prim)算法和克鲁斯卡尔(Kruskal)算法两种,它们都是基于贪⼼的策略。

Prim算法

核⼼:不断加点。
Prim 算法构造最⼩⽣成树的基本思想:

  1. 从任意⼀个点开始构造最⼩⽣成树;
  2. 将距离该树权值最⼩且不在树中的顶点,加⼊到⽣成树中。然后更新与该点相连的点到⽣成树的最短距离;
  3. 重复2操作n次,直到所有顶点都加⼊为⽌
    ![[Pasted image 20250414164712.png]]
11 - 51 - 5 - 21 - 5 - 2
1 - 41 - 5 - 2 - 3
1 - 4
P3366 【模板】最小生成树 - 洛谷

代码实现-邻接矩阵:

#include <bits/stdc++.h>
using namespace std;const int N = 5010, INF = 0x3f3f3f3f;int n, m;
int edges[N][N]; //邻接矩阵int dist[N]; //某个点距离生成树的最短距离
bool st[N]; //标记哪些点已经加入到生成树int prim()
{//初始化memset(dist, 0x3f, sizeof dist);dist[1] = 0;int ret = 0;for (int i = 1; i <= n; i++) //循环加入n个点{//1.找最近点int t = 0;for (int j = 1; j <= n; j++)if (!st[j] && dist[j] < dist[t])t = j;//判断是否连通if (dist[t] == INF) return INF;st[t] = true;ret += dist[t];//2.更新距离for (int j = 1; j <= n; j++) //枚举t能走到哪{dist[j] = min(dist[j], edges[t][j]);}}return ret;
}int main()
{ios::sync_with_stdio(false);cin.tie(0);cin >> n >> m;//初始化为无穷memset(edges, 0x3f, sizeof edges);for (int i = 1; i <= m; i++){int x, y, z; cin >> x >> y >> z;//有重边求最小值edges[x][y] = edges[y][x] = min(edges[x][y], z);}int ret = prim();if (ret == INF) cout << "orz" << endl;else cout << ret << endl;return 0;
}

代码实现-邻接表-vector数组:

#include <bits/stdc++.h>
using namespace std;typedef pair<int, int> PII;const int N = 5010, INF = 0x3f3f3f3f;int n, m;
vector<PII> edges[N];int dist[N];
bool st[N];int prim()
{memset (dist, 0x3f, sizeof dist);dist[1] = 0;int ret = 0;for (int i = 1; i <= n; i++){//1.找最近点int t = 0;for (int j = 1; j <= n; j++)if (!st[j] && dist[j] < dist[t])t = j;//判断是否连通if (dist[t] == INF) return INF;st[t] = true;ret += dist[t];//2.更新距离for (auto& p : edges[t]){int a = p.first, b = p.second;//t->a,权值是bdist[a] = min(dist[a], b);}}return  ret;
}int main()
{ios::sync_with_stdio(false);cin.tie(0);cin >> n >> m;for (int i = 1; i <= m; i++){int x, y, z; cin >> x >> y >> z;edges[x].push_back({y,z});edges[y].push_back({x,z});}int ret = prim();if (ret == INF) cout << "orz" << endl;else cout << ret << endl;return 0;
}
Kruskal算法

核⼼:不断加边。
Kruskal 算法构造最⼩⽣成树的基本思想:

  1. 所有边按照权值排序;
  2. 每次选出权值最⼩且两端顶点不连通的⼀条边,直到所有顶点都联通
    ![[Pasted image 20250414201240.png]]
1 - 51 - 5 - 21 - 5 - 2
1 - 41 - 5 - 2 - 3
1 - 4
#include <bits/stdc++.h>
using namespace std;const int N = 5010, M = 2e5 + 10, INF = 0x3f3f3f3f;int n, m;
struct node
{int x, y, z;
}a[M];int fa[N]; //并查集bool cmp(node& a, node& b)
{return a.z < b.z;
}int find(int x)
{return x == fa[x] ? fa[x] : fa[x] = find(fa[x]);
}int kk()
{sort (a+1, a+1+m, cmp);int cnt = 0;int ret = 0;for (int i = 1; i <= m; i++){int x = a[i].x, y = a[i].y, z = a[i].z;int fx = find(x), fy = find(y);if (fx != fy){cnt++;ret += z;fa[fx] = fy;}}return cnt == n-1 ? ret : INF;
}int main()
{ios::sync_with_stdio(false);cin.tie(0);cin >> n >> m;for (int i = 1; i <= m; i++) cin >> a[i].x >> a[i].y >> a[i].z;//初始化并查集for (int i = 1; i <= n; i++) fa[i] = i;int ret = kk();if (ret == INF) cout << "orz" << endl;else cout << ret << endl;return 0;
}
P1194 买礼物 - 洛谷

题⽬转化:

  • 如果把每⼀个零⻝看成⼀个节点,优惠看成⼀条边,就变成在图中找最⼩⽣成树的问题。
  • 因此,跑⼀遍kk算法即可。
    注意:
  1. 存边的时候,没有必要存重复的,并且权值过⼤的也不需要存;
  2. 最终提取结果的时候,虽然有可能构造不出来⼀棵最⼩⽣成树,但是要在已有的构造情况下处理结果
#include <bits/stdc++.h>
using namespace std;const int N = 500 * 500 + 10;int a, n;int pos;
struct node
{int x, y, z;
}e[N];int fa[N];int find (int x)
{return fa[x] == x ? fa[x] : fa[x] = find(fa[x]);
}int cnt, ret;bool cmp(node& a, node& b)
{return a.z < b.z;
}void kk()
{sort(e+1, e+1+pos, cmp);for (int i = 1; i <= pos; i++){int x = e[i].x, y = e[i].y, z = e[i].z;int fx = find(x), fy = find(y);if (fx != fy){cnt++;ret += z;fa[fx] = fy;}}
}int main()
{ios::sync_with_stdio(false);cin.tie(0);cin >> a >> n;for (int i = 1; i <= n; i++)for (int j = 1; j <= n; j++){int k; cin >> k;if (i >= j || k > a || k == 0) continue;pos++;e[pos].x = i; e[pos].y = j; e[pos].z = k;}for (int i = 1; i <= n; i++) fa[i] = i;kk();cout << ret + (n - cnt) * a << endl;return 0;
}
P2330 [SCOI2005] 繁忙的都市 - 洛谷

定理:最⼩⽣成树就是瓶颈⽣成树。
在kk算法中,维护边权的最⼤值即可

#include <bits/stdc++.h>
using namespace std;const int N = 310, M = 8010;int n, m;
struct node
{int x, y, z;
}e[M];int fa[N];int find (int x)
{return fa[x] == x ? fa[x] : fa[x] = find(fa[x]);
}int ret; //最大边的权值bool cmp(node& x, node& y)
{return x.z < y.z;
}void kk()
{for (int i = 1; i <= n; i++) fa[i] = i;sort(e+1, e+1+m, cmp);for (int i = 1; i <= m; i++){int x = e[i].x, y = e[i].y, z = e[i].z;int fx = find(x), fy = find(y);if (fx != fy){ret = max(ret, z);fa[fx] = fy;}}
}int main()
{ios::sync_with_stdio(false);cin.tie(0);cin >> n >> m;for (int i = 1; i <= m; i++) cin >> e[i].x >> e[i].y >> e[i].z;cout << n - 1 << " ";kk();cout << ret << endl;return 0;
}
P2573 [SCOI2012] 滑雪 - 洛谷

第⼀问:从起点开始,做⼀次dfs/bfs就可以扫描到所有的点。
第⼆问:因为有回溯的效果,相当于就是选择⼀些边,把所有的点都连接起来。但是需要注意:

  • 由于这些边是有⽅向的,我们只要保证能从1位置出发,访问到所有的点即可。与最⼩⽣成树还是有差异的。
  • 为了能保证选出来的边能够从1访问所有点,应该优先考虑去往更⾼位置的边,这样才能向下⾛到更低的位置
#include <bits/stdc++.h>
using namespace std;typedef long long LL;
typedef pair<int, int> PII;const int N = 1e5 + 10, M = 2e6 + 10;int n, m;
int h[N];vector<PII> edges[N];int fa[N];int find(int x)
{return fa[x] == x ? x : fa[x] = find(fa[x]);
}LL cnt, ret;
bool st[N];int pos;
struct node
{int x, y, z;  
}e[M];void dfs(int u)
{cnt++;st[u] = true;for (auto& p : edges[u]){int v = p.first, k = p.second;pos++;e[pos].x = u; e[pos].y = v; e[pos].z = k;if (!st[v]) dfs(v);}
}bool cmp(node& a, node& b)
{int y1 = a.y, z1 = a.z, y2 = b.y, z2 = b.z;if (h[y1] != h[y2]) return h[y1] > h[y2];else return z1 < z2;
}void kk()
{for (int i = 1; i <= n; i++) fa[i] = i;sort (e+1, e+1+pos, cmp);for (int i = 1; i <= pos; i++){int x = e[i].x, y = e[i].y, z = e[i].z;int fx = find(x), fy = find(y);if (fx != fy){ret += z;fa[fx] = fy;}}
}int main()
{ios::sync_with_stdio(false);cin.tie(0);cin >> n >> m;for (int i = 1; i <= n; i++) cin >> h[i];for (int i = 1; i <= m; i++){int x, y, z; cin >> x >> y >> z;    if (h[x] >= h[y]) edges[x].push_back({y, z});if (h[x] <= h[y]) edges[y].push_back({x, z});}dfs(1);cout << cnt << " ";kk();cout << ret << endl;return 0;
}

本文来自互联网用户投稿,该文观点仅代表作者本人,不代表本站立场。本站仅提供信息存储空间服务,不拥有所有权,不承担相关法律责任。如若转载,请注明出处:http://www.mzph.cn/pingmian/77330.shtml

如若内容造成侵权/违法违规/事实不符,请联系多彩编程网进行投诉反馈email:809451989@qq.com,一经查实,立即删除!

相关文章

小白从0学习网站搭建的关键事项和避坑指南(2)

以下是针对小白从零学习网站搭建的 进阶注意事项和避坑指南&#xff08;第二期&#xff09;&#xff0c;覆盖开发中的高阶技巧、常见陷阱及解决方案&#xff0c;帮助你在实战中提升效率和质量&#xff1a; 一、进阶技术选型避坑 1. 前端框架选择 误区&#xff1a;盲目追求最新…

Java的Servlet的监听器Listener 笔记250417

Java的Servlet的监听器Listener 笔记250417 分类1: 一、生命周期监听器 监听容器&#xff08;如 Tomcat&#xff09;中应用、会话或请求的创建与销毁。 监听器接口触发事件典型用途ServletContextListener应用启动 (contextInitialized)、关闭 (contextDestroyed)全局资源管…

网络安全领域的AI战略准备:从概念到实践

网络安全领域的AI准备不仅涉及最新工具和技术的应用&#xff0c;更是一项战略必需。许多企业若因目标不明确、数据准备不足或与业务重点脱节而未能有效利用AI技术&#xff0c;可能面临严重后果&#xff0c;包括高级网络威胁数量的激增。 AI准备的核心要素 构建稳健的网络安全…

[数据结构]2. 顺序表

顺序表 1. 介绍基本概念存储方式优点缺点应用场景 2. 顺序表操作SeqList.hSeqlist.c 1. 介绍 基本概念 顺序表是用一组地址连续的存储单元依次存储线性表的数据元素。线性表是具有相同数据类型的 n 个数据元素的有限序列&#xff0c;在顺序表中&#xff0c;元素之间的逻辑顺序…

o3和o4-mini的升级有哪些亮点?

ChatGPT是基于OpenAI GPT系列的高性能对话生成AI&#xff0c;经过多代迭代不断提升自然语言理解和生成能力。 在过去的一年中&#xff0c;OpenAI先后发布了GPT-4、GPT‑4.1及多种mini版本&#xff0c;为不同使用场景提供灵活选择。​ 随着用户需求向更高效、更精准的推理和视觉…

Chrome漏洞可窃取数据并获得未经授权的访问权限

在发现两个关键漏洞后,谷歌发布了Chrome浏览器的紧急安全更新。这些漏洞可能允许攻击者窃取敏感数据并未经授权访问用户系统。 这些缺陷被识别为CVE-2025-3619和CVE-2025-3620,在Windows和Mac的135.0.7049.95/.96之前影响Chrome版本,影响Linux的135.0.7049.95/.96。该更新将在…

力扣面试150题--两数之和 和 快乐数

Day 25 题目描述 思路 创建一个hashmap从前向后遍历数组如果存在target-nums[i]在map中&#xff0c;记录它们两个的序号返回即可不存在&#xff0c;就将该元素放入map中&#xff0c;存放序号 注意&#xff1a;题目说的是必然存在唯一解 class Solution {public int[] twoSum…

Flutter_学习记录_状态管理之GetX

Flutter GetX 状态管理框架全面解析 1. 状态管理与 Flutter GetX 介绍 1.1 状态管理 通俗理解&#xff1a;当我们需要在多个页面&#xff08;组件/Widget&#xff09;之间共享状态&#xff08;数据&#xff09;&#xff0c;或者在一个页面中的多个子组件之间共享状态时&…

ASP.NET常见安全漏洞及修复方式

Microsoft IIS 版本信息泄露 查看网页返回的 Header 信息&#xff0c;默认会包含 IIS&#xff0c;ASP.NET 版本信息&#xff1a; 隐藏 Server 标头 编辑 web.config 文件&#xff0c;在 system.webServer 节点中配置 requestFiltering 来移除Server标头&#xff1a; <sec…

深入解析Java日志框架Logback:从原理到最佳实践

Logback作为Java领域最主流的日志框架之一,由Log4j创始人Ceki Glc设计开发,凭借其卓越的性能、灵活的配置以及与SLF4J的无缝集成,成为企业级应用开发的首选日志组件。本文将从架构设计、核心机制、配置优化等维度全面剖析Logback的技术细节。 一、Logback的架构设计与核心模…

OpenStack Yoga版安装笔记(22)Swift笔记20250418

一、官方文档 https://docs.openstack.org/swift/yoga/admin/objectstorage-components.html#https://docs.openstack.org/swift/yoga/admin/objectstorage-components.html# 二、对象存储简介&#xff08;Introduction to Object Storage&#xff09; OpenStack 对象存储&a…

Spring Boot日志系统详解:Logback与SLF4J的默认集成

大家好呀&#xff01;&#x1f44b; 今天我们来聊聊Spring Boot中一个超级重要但又经常被忽视的功能——日志系统&#xff01; 一、日志系统的重要性 首先&#xff0c;咱们得明白为什么日志这么重要&#xff1f;&#x1f937;‍♂️ 想象一下&#xff0c;你正在玩一个超级复…

【AI提示词】退休规划顾问专家

提示说明 随着人口老龄化的加剧&#xff0c;越来越多的人开始关注退休规划问题。一个专业的退休规划顾问可以帮助用户合理规划退休生活&#xff0c;确保退休后的生活质量。 提示词 # 角色 退休规划顾问专家## 注意 1. 专家设计应符合退休规划的专业性和可靠性&#xff0c;帮…

楼梯上下检测数据集VOC+YOLO格式5462张2类别

数据集格式&#xff1a;Pascal VOC格式YOLO格式(不包含分割路径的txt文件&#xff0c;仅仅包含jpg图片以及对应的VOC格式xml文件和yolo格式txt文件) 图片数量(jpg文件个数)&#xff1a;5462 标注数量(xml文件个数)&#xff1a;5462 标注数量(txt文件个数)&#xff1a;5462 …

docker 部署服务工具记录

一、场景 项目需要使用dify和向量库milvus, 这两个工具都是使用docker 部署&#xff0c;因此需要安装docker. 二、docker安装 系统为debian , 刚开始安装不是超时&#xff0c;就是依赖版本冲突&#xff0c;查看系统镜像源文件&#xff1a; cat /etc/apt/sources.list 觉得可…

Oracle、MySQL、PostgreSQL三大数据库对比分析

Oracle、MySQL、PostgreSQL 三大数据库的对比分析&#xff0c;结合 Java SpringBoot 项目开发 的实际场景&#xff0c;重点说明分库分表、主从复制的实现难度及案例。 一、数据库核心对比 1. 核心区别与适用场景 维度OracleMySQLPostgreSQL定位企业级商业数据库轻量级开源数据…

Stable Diffusion LoRA模型加载实现风格自由

对于模型微调来说&#xff0c;直接进行微调需要的硬件配置和时间都是相当夸张的&#xff0c;但要想实现风格切换自由&#xff0c;也不是只有模型微调一个方式&#xff0c;LoRA技术可以说很完美的解决了这个难题。无论是二次元画风还是复古胶片质感&#xff0c;都只需要加载小巧…

贪心算法day10(无重叠区间)

1.无重叠区间 435. 无重叠区间 - 力扣&#xff08;LeetCode&#xff09; 思路&#xff1a; 代码&#xff1a; class Solution {public static int eraseOverlapIntervals(int[][] intervals) {Arrays.sort(intervals,(v1,v2)->{return v1[0]-v2[0];});int left interva…

Python语言基础教程(上)4.0

✨博客主页&#xff1a; https://blog.csdn.net/m0_63815035?typeblog &#x1f497;《博客内容》&#xff1a;.NET、Java.测试开发、Python、Android、Go、Node、Android前端小程序等相关领域知识 &#x1f4e2;博客专栏&#xff1a; https://blog.csdn.net/m0_63815035/cat…

PyTorch 浮点数精度全景:从 float16/bfloat16 到 float64 及混合精度实战

PyTorch 在深度学习中提供了多种 IEEE 754 二进制浮点格式的支持&#xff0c;包括半精度&#xff08;float16&#xff09;、Brain‑float&#xff08;bfloat16&#xff09;、单精度&#xff08;float32&#xff09;和双精度&#xff08;float64&#xff09;&#xff0c;并通过统…