OSI参考模型和TCP/IP模型

1.OSI参考模型

        OSI模型:

                OSI参考模型有7层,自下而上依次为物理层,数据链路层,网络层,传输层,会话层,表示层,应用层。(记忆口诀:物联网叔会用)。低三层统称为通信子网,是为联网而附加的通信设备,完成数据传输的功能;高三层统称资源子网,相当于计算机系统,完成数据的处理的功能。传输层承上启下。

        物理层:

        物理层的传输单位是:比特,功能是在物理介质上为数据端设备透明地传输原始比特流。物理层主要定义数据终端设备(DTE)和数据通信设备(DCE)的物理与逻辑连接方法。

        物理层接口标准很多。

        在物理层主要研究以下的内容:

        1.通信链路上与通信节点的连接需要一些电路接口,物理层规定了这些接口的一些参数,如机械形状和尺寸,交换电路的数量二号排列等

        2.物理层规定了通信链路上所传输的信号的意义和电气特性。如若规定信号X代表数字0,则当节点传输0时就发出信号X,而当节点接受到信号X时就知道收到的是0。

        数据链路层:

          数据链路层的传输单位是帧。数据链路层将网络交来的IP分组封装成帧,并且可可靠的传输到相邻节点的网络层。主要的作用是加强物理传输原始比特流的功能,将物理层提供的可能出错的物理连接改造为逻辑上无差别的数据链路,使之对网络层表示为一条无差别的链路。   

        在两个相邻结点之间传输数据时,结点A的发送速率可能比结点B的接收速率快,若不加以控制,则结点B就会丢弃很多来不及接收的正确数据,造成传输线路效率下降。流量控制可以协调两个点的速率,使得结点A的发送速率刚好是结点B的接受速率。

         网络层:

        网络层的传输单位时数据报,它关心的是通信子网的运行控制,主要的任务是将网络层的协议数据单元(分组)从源结点传输到目的结点,为分组交换网上的不同主机提供通信服务。关键问题是对分组进行路由选择,并实现流量控制,拥塞控制,差错控制,和国际互连等功能。

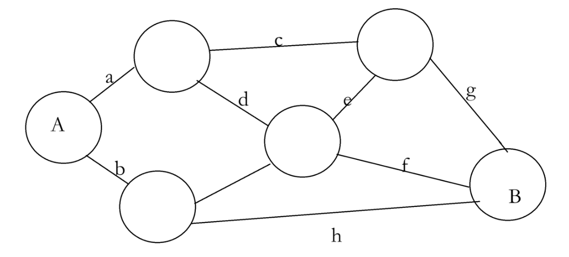
        当结点A向结点B传输一个分组时,即可经过边a,c,g,又可以经过b,h等多条可以选择的路由,而网络层的作用时根据网络的情况,利用相应的路由算法计算出一条合适的路径,使这个分组可以顺利地到达结点B。

        流量控制与数据链路层的流量控制的含义一样,都是通过协调A的发送速率和B的接受速率。

        差错控制是通信结点之间的约定的特定检错规则,接受方根据改规则检查接受到的分组是否出错,若出错,则能纠正的纠正,不能纠正就丢弃,确保向上层提交的数据是无误的。

        若结点来不及接受分组而丢弃大量的分组,导致结点间无法正常通信,那么网络就处于拥塞状态。网络层要采取措施缓解这种拥塞,这就是拥塞控制。

        互联网是由大量异构网络通过路由器互相连接起来的。互联网使用的网络协议是无连接的网络协议(IP)和许多中路由选择协议,因此互联网的网络层也称为网际层或IP层。

        网络层的协议有IP, IPX,ICMP, IGMP, ARP, RARP,RIP,和OSPF等。

        传输层: 

        传输层也叫运输层,负责主机中两个进程之间的通信,功能是为端到端连接提供可靠的传输服务,及为端到端连接提供流量控制,差错控制,服务质量,数据传输管理等服务。

        数据链路提供的是点到点的通信,传输层提供的是端到端通信,两者不同。

        通俗的来讲,点到点可以理解成主机与主机之间的通信,一个点是指一个硬件地址或IP地址,网络中参与通信的主机是通过硬件地址或IP地址来标识的;端到端通信是指运行在不同主机内的两个进程之间的通信,一个进程有一个端口来标识,所以称为端到端通信。

        通过传输层的屏蔽,高层用户看不到通信子网的交替和变化。因为一台主机可同时运行可运行多个进程,所以运输层具有复用和分用的功能。复用是指多个应用层进程可同时使用下面传输层的服务,分用是指传输层将收到的信息分别交付给上面应用层中相应的进程,

        传输层协议:TCP, UDP。

        会话层:

        会话层允许不同主机上的进程之间进行对话。这种服务主要为表示层实体或用户进程创建连接,并在连接上有序地传输数据,这就是会话,也称建立同步(SYN)。会话层负责管理主机间地会话进程,包括建立,管理和终止进程间地会话。会话层包括一种称为检查点地机制来维持可靠会话,使通信会话在通信会话在通信失效时从检查点继续恢复通信,即断点下载的原理。

        表示层: 

        表示层主要处理在两个通信系统中交换信息的表达方式。不同机器采用的编码和表示方法不同,为了使不同表示方法的数据和信息之间能够互相交换,表示层采用抽象的标准方法定义数据结构,并采用标准的编码形式,此外,数据压缩,加密,解密也是表示层的功能。

        应用层: 

        应用层使OIS参考模型的最高层,使用户与网络的接口。应用层为特定类型的网络应用提供访问OSI参考模型环境的手段,用户的实际应用多种多样,这就要求应用层采取不同的应用协议来解决不同类型的应用要求,因此应用层是最复杂的一层,使使用的协议最多,典型的协议有用与文件传送的FTP,用于电子邮件的SMTP,用于万维网的HTTP.

   2.TCP

         

         

         

本文来自互联网用户投稿,该文观点仅代表作者本人,不代表本站立场。本站仅提供信息存储空间服务,不拥有所有权,不承担相关法律责任。如若转载,请注明出处:http://www.mzph.cn/pingmian/76726.shtml

如若内容造成侵权/违法违规/事实不符,请联系多彩编程网进行投诉反馈email:809451989@qq.com,一经查实,立即删除!

相关文章

linux Shell编程之循环语句(三)

目录 一. for 循环语句 1. for语句的结构 2. for 语句应用示例 (1) 根据姓名列表批量添加用户 (2) 根据 IP 地址列表检查主机状态 二. 使用 while 循环语句 1. while 语句的结构 2. while 语句应用示例 (1) 批量添加规律编号的用户 (2) 猜价格游戏 三. until 循环语…

最新扣子实战教程,利用扣子平台通过在线表格记录,批量生图,再也不要一条条的粘贴提示词了

1、功能描述 大家好,我是涛涛。今天我要给大家讲解如何在扣子平台上对接飞书电子表格。由于多维表格相对复杂,而很多业务场景其实只需要电子表格就能满足,因此今天我们将演示如何在扣子平台上读取飞书电子表格并批量生成图片。 先看效果&am…

java -jar指定类加载

在 Java 中,使用 java -jar 命令运行 JAR 文件时,默认会加载 JAR 文件的 MANIFEST.MF 文件中指定的 Main-Class。如果你想在运行时指定一个类来加载,可以通过以下方式实现: 方法 1:直接指定类路径和类名 如果你不想使用…

多模态思维链(Multimodal Chain of Thought, MCoT)六大技术支柱在医疗领域的应用

多模态思维链(Multimodal Chain of Thought, MCoT)通过整合文本、图像、视频等多模态数据,结合逻辑推理与深度学习技术,在医疗领域展现出强大的应用潜力。其六大技术支柱在医疗场景中的具体应用如下: 一、推理构建视角:医学诊断的流程优化 MCoT通过多模态推理链生成技术…

从文本到视频:基于扩散模型的AI生成系统全解析(附PyTorch实现)

当语言遇见动态视觉 "用文字生成电影场景"曾是科幻作品中的幻想,如今借助扩散模型(Diffusion Models)正逐步成为现实。本文将手把手带你实现一个创新的文本到视频生成系统,通过深度解析扩散模型原理,结合独…

科普:如何通过ROC曲线,确定二分类的“理论阈值”

在二分类问题中,已知预测概率(如逻辑回归、神经网络输出的概率值)时,阈值的选择直接影响分类结果(正/负样本判定)。 一、实践中的阈值选择方法 1. 基于业务目标的调整 最大化准确率:适用于样…

2025ArkTS基础UI(一)——Column、Row、Text、Button组件

2025ArkTS基础UI(一)——Column、Row、Text、Button组件 前言 臭宝们,今天我们来学习ArkTS基础UI组件的使用,其中包括: Column、Row、Text、Button组件。 知识点 Colum、Row组件用于布局,Text、Image、Button组件用于展示。 …

强化学习:基于价值的方法做的是回归,基于策略的方法做的是分类,可以这么理解吗?

在强化学习领域,基于价值的方法(Value-based Methods)和基于策略的方法(Policy-based Methods)是两种核心范式。本文将从目标函数、优化机制以及与机器学习任务的类比角度,探讨这两种方法是否可以被分别理解为回归和分类任务,并深入分析其内在逻辑。 一、基于价值的方法…

折叠屏手机:技术进步了,柔性OLED面板测试技术需求跟上了吗?

全球智能手机市场陷入创新焦虑,折叠屏手机被寄予厚望,2023 年出货量同比增长 62%。但在供应链技术狂欢背后,存在诸多问题。消费端数据显示,用户使用频率低,定价策略反常。产业链重构虽让部分企业获利,却推高…

前端在线工具 CodePen 和 JSFiddle

前端在线工具 CodePen 和 JSFiddle CodePen 概述:CodePen 是一个社交化的前端开发环境,用户可以在这里创建代码片段(称为“Pens”),分享和展示自己的前端开发作品。 主要功能: 实时预览:用户在…

Redis-场景缓存+秒杀+管道+消息队列

缓存一致性 1.两次更新 先更新数据库,再更新缓存;先更新缓存,再更新数据库; 出现不一致问题场景: 先更新数据库,再更新缓存; 先更新缓存,再更新数据库; 两次更新的适…

[Windows] 字体渲染 mactype v2025.4.11

[Windows] 字体渲染 mactype 链接:https://pan.xunlei.com/s/VONeCUP2hEgO5WIQImgtGUmrA1?pwdyruf# 025.4.11 Variable font support 可变字体支持已到来。 本版本将可变字体支持扩展到所有 GDI 应用程序。 所有 win32 程序中的字体,如 Noto Sans、Se…

【C++】深拷贝与浅拷贝

重开也不是不可能 ~.~ 浅拷贝 #include <iostream> #include <cstring>class ShallowCopyExample { public:int m_nValue;int* m_pData;// 构造函数&#xff0c;初始化指针成员ShallowCopyExample(int value) : m_nValue(value) {m_pData new int(0);*m_pData va…

SpringBoot企业级开发之【用户模块-更新用户头像】

功能如下所示&#xff1a; 我们先看一下接口文档&#xff1a; 为什么头像是一串字符串呢&#xff1f;因为我们是将头像图片放到第三方去存储&#xff0c;比如&#xff1a;阿里云等 开发思路&#xff1a; 实操&#xff1a; 1.controller 注意!这里使用【PatchMapping】注解…

vue3+vite+js项目引入electron构建跨平台桌面应用

1.准备工作 ① 必要安装node.js、vue、vite、electron、pnpm 本人用的node版本v18.17.1、vue版本^3.4.19、vite版本^3.2.7、electron版本^35.1.4 ② 开发调试打包安装 "devDependencies": {"concurrently": "^9.1.2","electron-builder&…

(51单片机)串口通讯(串口通讯教程)(串口接收发送教程)

前言&#xff1a; 今天有两个项目&#xff0c;分别为&#xff1a; 串口接收: 串口发送&#xff1a; 如上图将文件放在Keli5 中即可&#xff0c;然后烧录在单片机中就行了 烧录软件用的是STC-ISP&#xff0c;不知道怎么安装的可以去看江科大的视频&#xff1a; 【51单片机入门…

《汽车制造技术基础》第一次作业

作业内容 查阅相关资料&#xff0c;谈谈对汽车制造技术的发展的理解。 可以是关于汽车的先进制造技术 或 汽车先进制造技术 与 制造理念的发展趋势 或 汽车先进制造技术对环境与可持续发展的影响等。 以下从技术突破、制造理念转型及环境影响三个维度展开对汽车制造技…

Scala day4(tuple, set and map)

Foreword Hi!! my dear friends, are you lazy at today?? Oh! I am also lazy sometimes, but you will know keep study that’s a right way at last. Now!! let’s start new travel about Scala. Text The all Codes in file day3.scala, like the below program: i…

docker compose搭建博客wordpress

一、前言 docker安装等入门知识见我之前的这篇文章 https://blog.csdn.net/m0_73118788/article/details/146986119?fromshareblogdetail&sharetypeblogdetail&sharerId146986119&sharereferPC&sharesourcem0_73118788&sharefromfrom_link 1.1 docker co…

第二期:[特殊字符] 深入理解MyBatis[特殊字符]MyBatis基础CRUD操作详解[特殊字符]

前言 &#x1f31f; 在掌握了 MyBatis 的基本配置与环境搭建之后&#xff0c;接下来的重点便是深入理解其核心功能——CRUD 操作&#xff08;增删改查&#xff09;。&#x1f4bb; 数据库操作是任何应用开发中不可或缺的一环&#xff0c;而 MyBatis 正是通过灵活的 SQL 映射机…