目录
- 一、树
 - 1.1什么是树?
 - 1.2 树的概念与结构
 - 1.3树的相关术语
 - 1.4 树形结构实际运用场景
 
- 二、二叉树
 - 2.1 概念与结构
 - 2.2 特殊的二叉树
 - 2.2.1 满二叉树
 - 2.2.2 完全二叉树
 
个人主页,点击这里~
数据结构专栏,点击这里~

一、树
1.1什么是树?
这是我们生活中常见的树:
 
(以上图片来自网络,如若侵权联系自删)
生活中许多东西都可以抽象成为一棵树,例如一本书的目录:
 
 它们都像自然界中的树一样,从根衍生出许多枝干,再由枝干衍生出许多更小的枝干,最终衍生出了许多叶子。
1.2 树的概念与结构
树是⼀种非线性的数据结构,它是由n(n>=0)个有限结点组成⼀个具有层次关系的集合。把它叫做树是因为它看起来像⼀棵倒挂的树,也就是说它是根朝上,而叶朝下的。
- 有⼀个特殊的结点,称为根结点,根结点没有前驱结点。
 - 除根结点外,其余结点被分成 
M(M>0)个互不相交的集合T1、T2、……、Tm,其中每⼀个集合Ti(1 <= i <= m)又是⼀棵结构与树类似的子树。每棵子树的根结点有且只有⼀个前驱,可以有 0 个或多个后继。因此,树是递归定义的。 
注意:树形结构中,子树之间不能有交集,否则就不是树形结构。
 
 非树形结构:
 
 关于树:
- 子树是不相交的(如果存在相交就是图了);
 - 除了根结点外,每个结点有且仅有⼀个父结点;
 - ⼀棵
N个结点的树有N-1条边! 
1.3树的相关术语

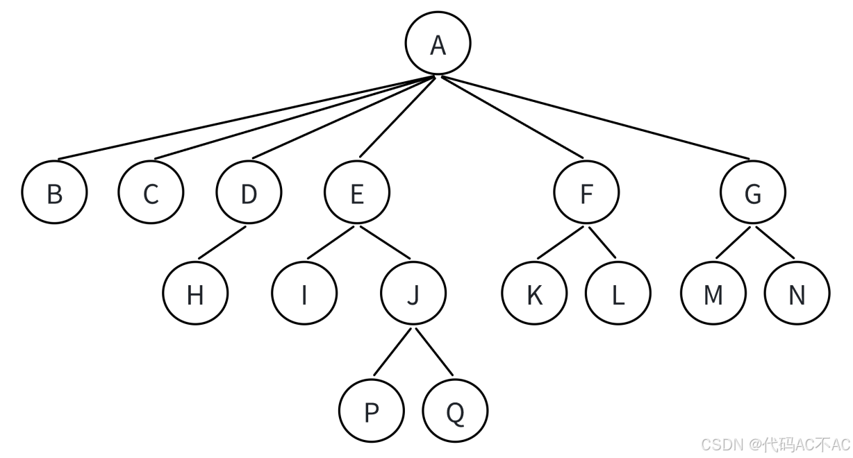
 父结点/双亲结点:若⼀个结点含有子结点,则这个结点称为其子结点的父结点;如上图:A是B的父结点。
 子结点/孩子结点:⼀个结点含有的子树的根结点称为该结点的子结点; 如上图:B是A的孩子结点。
 结点的度:⼀个结点有几个孩子,它的度就是多少;比如A的度为6,F的度为2,K的度为0。
 树的度:⼀棵树中,最大的结点的度称为树的度; 如上图:树的度为 6。
 叶子结点/终端结点:度为 0 的结点称为叶结点; 如上图:B、C、H、I...等结点为叶结点。
 分支结点/非终端结点:度不为0的结点; 如上图:D、E、F、G...等结点为分支结点。
 兄弟结点:具有相同父结点的结点互称为兄弟结点(亲兄弟); 如上图:B、C 是兄弟结点。
 结点的层次:从根开始定义起,根为第 1 层,根的子结点为第 2 层,以此类推;
 树的高度或深度:树中结点的最大层次; 如上图:树的高度为 4。
 结点的祖先:从根到该结点所经分支上的所有结点;如上图: A 是所有结点的祖先。
 路径:⼀条从树中任意节点出发,沿父节点-子节点连接,达到任意节点的序列;比如A到Q的路径为:A-E-J-Q;H到Q的路径H-D-A-E-J-Q。
 子孙:以某结点为根的子树中任⼀结点都称为该结点的子孙。如上图:所有结点都是A的子孙。
 森林:由 m(m>0) 棵互不相交的树的集合称为森林;
1.4 树形结构实际运用场景
文件系统是计算机存储和管理文件的⼀种方式,它利用树形结构来组织和管理文件和文件夹。在文件系统中,树结构被⼴泛应⽤,它通过父结点和子结点之间的关系来表示不同层级的文件和文件夹之间的关联。
 
二、二叉树
2.1 概念与结构
在树形结构中,我们最常用的就是二叉树,⼀棵二叉树是结点的⼀个有限集合,该集合由⼀个根结点加上两棵别称为左子树和右子树的二叉树组成,或者为空。
 
从上图可以看出二叉树具备以下特点:
- 二叉树不存在度大于 
2的结点。 - 二叉树的子树有左右之分,次序不能颠倒,因此⼆叉树是有序树。
 
注意:对于任意的二叉树都是由以下几种情况复合而成的:
 
 自然界的二叉树:
 
(以上图片来自网络,如若侵权联系自删)
2.2 特殊的二叉树
2.2.1 满二叉树
一个二叉树,如果每一个层的结点数都达到最大值,则这个二叉树就是满二叉树。也就是说,如果⼀个二叉树的层数为 K ,且结点总数是 2k − 1,则它就是满二叉树。
 
2.2.2 完全二叉树
完全二叉树是效率很高的数据结构,完全二叉树是由满二叉树而引出来的。对于深度为 K 的,有 n 个结点的二叉树,当且仅当其每⼀个结点都与深度为K的满二叉树中编号从 1 ⾄n 的结点⼀⼀对应时称之为完全二叉树。要注意的是满二叉树是⼀种特殊的完全二叉树。

 注意:这里如果J是E的右孩子树,那就不是一一对应的关系了,那这棵树就不是完全二叉树。
特点:
- 除了最后一层,每层结点个数达到最大。
 - 最后一层结点个数不一定达到最大。
 - 结点从左到右依次排列。
 
二叉树的性质:
- 若规定根结点的层数为 1 ,则⼀棵非空二叉树的第i层上最多有 2i−1 个结点。
 - 若规定根结点的层数为 1 ,则深度为 h 的二叉树的最大结点数是 2h − 1。
 - 若规定根结点的层数为 1 ,具有 n 个结点的满二叉树的深度 h = log(2) (n + 1) 。( log以2为底, n+1 为对数)。
 
总结:
以上就是本期博客分享的全部内容啦!如果觉得文章还不错的话可以三连支持一下,你的支持就是我前进最大的动力!
技术的探索永无止境! 道阻且长,行则将至!后续我会给大家带来更多优质博客内容,欢迎关注我的CSDN账号,我们一同成长!
(~ ̄▽ ̄)~