原题链接:https://www.luogu.com.cn/problem/CF1332E
题意解读:n*m二维矩阵中,每个位置有一个数字aij∈[L,R],有两种操作:
1、将相邻两个数字各加1
2、将一个数字加2
问有多少种初始状态,使得通过以上操作将所有数变成相同。
解题思路:
1、问题分析
最终要使得所有数相同,也就是同奇同偶,而操作2无法改变奇偶性,操作1可以改变奇偶性,因此只要通过操作1将所有数改成同奇同偶,
再通过操作2即可将数字变为相同。
2、条件约束
什么状态通过操作1能改为同奇同偶呢?需要深入理解操作1的两个重要性质:
性质一:对一奇一偶两个数进行操作1,两数奇偶互换,在二维矩阵中起到了将一个奇数或者偶数移动的效果。
性质二:对两奇或两偶的数进行操作1,两数奇偶变化,起到了将数据往同一个奇偶性改变的效果。
因此,要通过操作1将所有数改为同奇同偶,初始状态中必须有偶数个奇数或者偶数。
如何理解?通过操作1可以将某种数(奇或偶)移动到矩阵的一侧,然后再通过操作1可以将所有一侧的数改变奇偶性,由于一次操作2个数,
必须要有偶数个同奇偶性的数才行。
3、分类讨论
设size=n*m,len = R - L + 1,矩阵中奇数个数为odd,偶数个数为even,size = odd + even
当size是奇数时,odd和even中必然有一个是偶数,因此这样的初始状态都是满足要求的,一共有lensize个;
当size时偶数时,odd和even必须都是偶数才行,两个都是奇数的情况则不行,这样的状态数量可以通过枚举odd累加:
odd取0、2、4...size/2,L~R中奇数的个数为o,偶数的个数为e
e = R/2 - (L+1)/2 + 1
o = len - e
总的数量为![]()
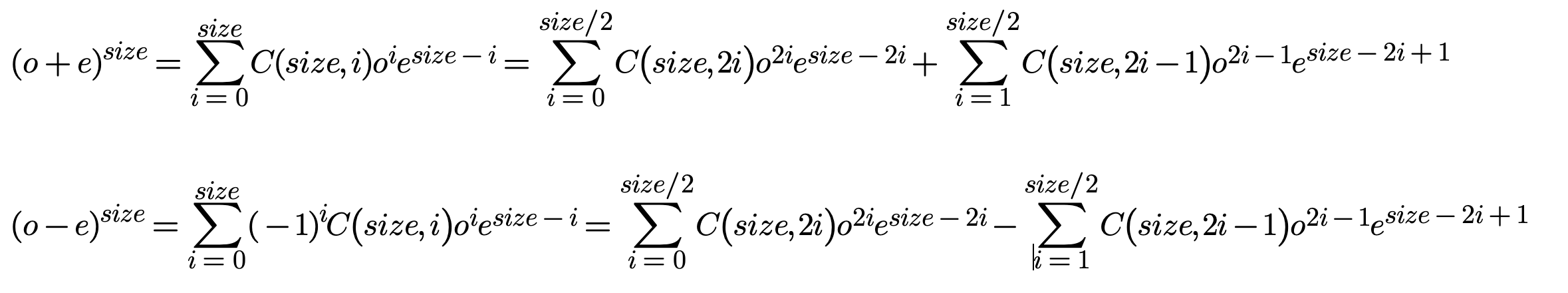
4、公式推导
上面的式子很像二项式定理,我们知道根据二项式定理有

由以上两式相加可推导出:
![]()
5、算法求解
对于以上两种情况,通过快速幂和逆元求解。
100分代码:
#include <bits/stdc++.h>
using namespace std;
typedef long long LL;const int MOD = 998244353;
LL n, m, L, R;LL ksm(LL a, LL b, LL mod)
{LL res = 1;while(b){if(b & 1) res = res * a % mod;a = a * a % mod;b >>= 1;}return res;
}int main()
{cin >> n >> m >> L >> R;LL size = n * m, len = R - L + 1;LL o = R / 2 - (L + 1) / 2 + 1; //区间内偶数个数LL e = len - o; //区间内奇数个数LL ans = 0;if(size % 2 == 1) //总数为奇数{ans = ksm(len, size, MOD);}else //总数为偶数{ans = (ksm(o + e, size, MOD) + ksm(abs(o - e), size, MOD)) % MOD;ans *= ksm(2, MOD - 2, MOD); //除以2变成乘以2的逆元ans %= MOD;}cout << ans;return 0;
}