时间复杂度 = 递归次数 * 每次递归的操作次数
空间复杂度 = 递归深度 * 每次递归消耗的空间数
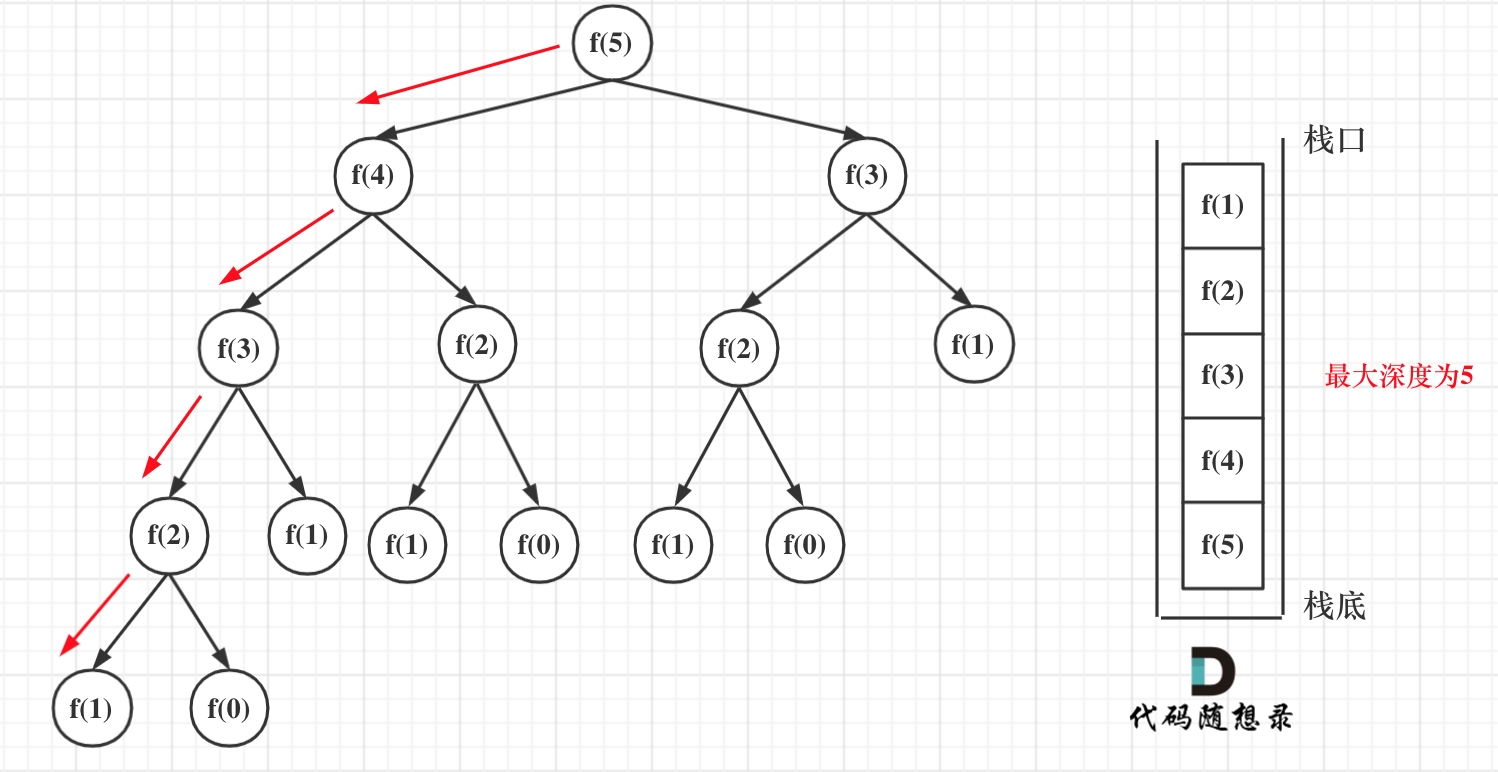
例子
求斐波那契数列
int fibonacci(int i) {if(i <= 0) return 0;if(i == 1) return 1;return fibonacci(i-1) + fibonacci(i-2);
}

时间复杂度:O(2^n)
空间复杂度:O(n)
时间复杂度 = 递归次数 * 每次递归的操作次数
空间复杂度 = 递归深度 * 每次递归消耗的空间数
例子
求斐波那契数列
int fibonacci(int i) {if(i <= 0) return 0;if(i == 1) return 1;return fibonacci(i-1) + fibonacci(i-2);
}

时间复杂度:O(2^n)
空间复杂度:O(n)
本文来自互联网用户投稿,该文观点仅代表作者本人,不代表本站立场。本站仅提供信息存储空间服务,不拥有所有权,不承担相关法律责任。如若转载,请注明出处:http://www.mzph.cn/news/967857.shtml
如若内容造成侵权/违法违规/事实不符,请联系多彩编程网进行投诉反馈email:809451989@qq.com,一经查实,立即删除!