A Communicate Topological Order
很玄幻的一题。
可以是认为是结论?但是看了结论肯定没有用啊。要知道怎么想出来的啊。想不出来。唉。
首先,考虑什么情况下 Aoki 可以推断出来这个排列。
因为 Aoki 是知道这个图长什么样的。而他能利用的只有大小关系。
Takahashi 给他填的数中,能帮助他:
- 确定更多的大小关系。
- 占掉一个空位。
先说一下我的一个错误思路:找到图 \(G\) 的最长路然后输出。(\(p\) 都没用上怎么可能对)
这里只用到了上面的一个方面:拿已知数占掉空位。
Try to come up with an better strategy.
尝试将图上的点分成若干个集合。
通过告诉 Aoki 每个集合 \(S\) 中的 \(|S|-1\) 个元素,然后可以使 Aoki 确定剩下的一个元素。
但是也不能乱分。如果集合之间没有连边,那么即使 Aoki 确定了么每个点集之间的偏序关系,他也不能确定点集之间的偏序关系。
这样处理优在哪里呢。首先一定不劣于上面的最长链法。
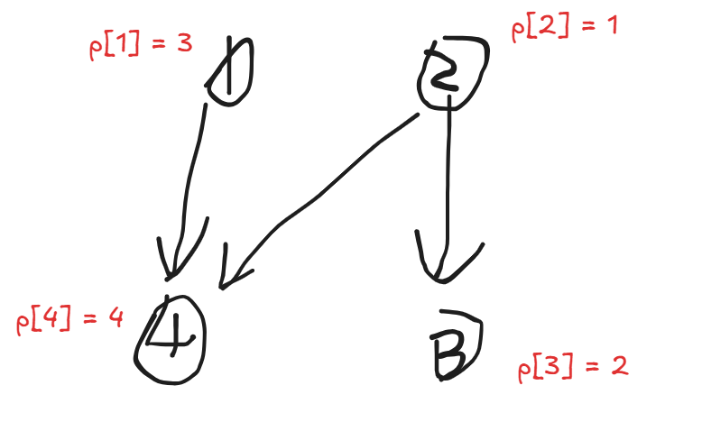
考虑这个例子:

只需要告诉 Aoki \(p_3 = 2\) 即可。
分集合的话,可以考虑分成 \(\{2\}, \{1,3\}, \{4\}\)。
然后发现每个集合的值域是一个连续段。(??????how to find it)
然后就可以写出一个 DAG 的 DP。定义 \(f_i\) 表示把 \([1, i]\) 中的值能最多分成多少个集合。
然后相邻两个集合之间是要有连边的。转移大概就是
答案是 \(n-f_n\)。证明可以看官解。