目录
一、核心思想:镜像递归 / 成对比较
二、两种通用解法框架
方法一:递归法(DFS - 深度优先搜索)
方法二:迭代法(BFS + 队列)
三、解题通用步骤(套路化)
四、典型例题
一、核心思想:镜像递归 / 成对比较
无论是递归还是迭代方法,本质都是在模拟这样一个过程:
比较两个子树
t1和t2是否互为镜像(即对称),需要满足:
- 它们的根节点值相等;
t1的左子树 与t2的右子树 是镜像;t1的右子树 与t2的左子树 是镜像。
这构成了一个分治(Divide and Conquer)结构,非常适合用递归实现。
二、两种通用解法框架
方法一:递归法(DFS - 深度优先搜索)
public boolean isSymmetric(TreeNode root) {if (root == null) return true;return isMirror(root.left, root.right);
}
private boolean isMirror(TreeNode t1, TreeNode t2) {// 1. 都为空 → 对称if (t1 == null && t2 == null) return true;// 2. 一个为空,另一个不为空 → 不对称if (t1 == null || t2 == null) return false;// 3. 值不相等 → 不对称if (t1.val != t2.val) return false;// 4. 递归判断:外侧 + 内侧 是否都对称return isMirror(t1.left, t2.right) && isMirror(t1.right, t2.left);
}
特点:
- 逻辑清晰,代码简洁。
- 利用了函数调用栈,空间复杂度 O(h),h 为树高。
- 在深度很大的树中可能栈溢出。
方法二:迭代法(BFS + 队列)
public boolean isSymmetric(TreeNode root) {if (root == null) return true;Queue queue = new LinkedList<>();queue.offer(root.left);queue.offer(root.right);while (!queue.isEmpty()) {TreeNode t1 = queue.poll();TreeNode t2 = queue.poll();// 同时为空if (t1 == null && t2 == null) continue;// 一个为空,或值不同if (t1 == null || t2 == null || t1.val != t2.val) return false;// 成对入队:镜像位置配对queue.offer(t1.left); // 外侧queue.offer(t2.right);queue.offer(t1.right); // 内侧queue.offer(t2.left);}return true;
}
特点:
- 使用显式队列,避免递归栈开销。
- 更适合宽而深的树(防止栈溢出)。
- 时间复杂度 O(n),空间复杂度 O(n)
三、解题通用步骤(套路化)
无论哪种方法,都可以按以下四步走:
| 步骤 | 内容 |
|---|---|
| 1️⃣ | 处理边界情况:如根为空直接返回 true |
| 2️⃣ | 选择比较方式:是单树对称?还是双树比较?→ 构造成两个子树比较的问题 |
| 3️⃣ | 设计递归/迭代逻辑: - 递归:定义 isMirror(t1, t2)- 迭代:使用队列成对入队出队 |
| 4️⃣ | 逐层/逐节点判断: - 空值判断 - 值是否相等 - 子树对应关系(镜像 or 相同) |
四、典型例题
101. 对称二叉树 - 力扣(LeetCode)
给你一个二叉树的根节点 root , 检查它是否轴对称。
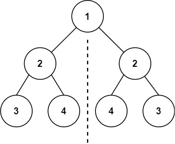
示例 1:

输入:root = [1,2,2,3,4,4,3]
输出:true
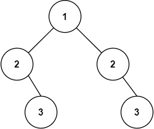
示例 2:

输入:root = [1,2,2,null,3,null,3]
输出:false
解法:
/*** Definition for a binary tree node.* public class TreeNode {* int val;* TreeNode left;* TreeNode right;* TreeNode() {}* TreeNode(int val) { this.val = val; }* TreeNode(int val, TreeNode left, TreeNode right) {* this.val = val;* this.left = left;* this.right = right;* }* }*/
class Solution {public boolean isSymmetric(TreeNode root) {Queue queue = new LinkedList();if(root == null){return true;}queue.offer(root.left);queue.offer(root.right);while(!queue.isEmpty()){TreeNode left = queue.poll();TreeNode right = queue.poll();if(left==null && right==null){continue;}if(left==null || right==null ||left.val!=right.val){return false;}queue.offer(left.left);queue.offer(right.right);queue.offer(left.right);queue.offer(right.left);}return true;}
}