P2416 泡芙 题解
题目传送门
我的博客
前言
笔者一开始写了一版 \(O(NQ)\) 的,竟然没有TLE?(但是WA了,且做法假了
本题做法:tarjan缩点+LCA。
思路
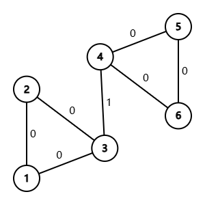
拿到这个题首先研究样例,发现样例中竟然有环。如下图。有环怎么办?

根据题意,我们可以得知,在一个环中的每一条边都可以走一遍。因此我们可以先把环缩成一个点,将环内的边权全部转化为缩点之后的点权。
缩点之后,剩下的边保证是一个树。此时我们不难想到,可以用倍增的思想,看一看路径上是否有边权为 \(1\) 的边(即是否有泡芙)。别忘记某一个点可能是一个环缩成的,所以也要考虑这个点的点权!
所以最终统计的就是
\[dis(u,lca(u,v))+dis(lca(u,v),v)+val_{lca(u,v)}
\]
代码
const int N=3e5+10;
const int INF=0x3f3f3f3f;
int n,m,Q;
struct nodein{int x,y,z;
}in[N];//记录缩点之前的读入,方便建新图
struct edge{int nxt,to,w;
}e[N*10];//如果算不准开多大,空间足够的情况下尽可能开大一点
int head[N],num_Edge=0;
void add_Edge(int from,int to,int w){e[++num_Edge].nxt=head[from];e[num_Edge].to=to;e[num_Edge].w=w;head[from]=num_Edge;
}
//tarjan板子
int dfn[N],low[N],dfscnt=0;
int scc[N],sc=0,w[N];
int st[N],top=0;
void tarjan(int u,int fa){//这里的 fa 并不是父结点,而是读入时边的编号
//这里是改的时候懒得再改了,所以直接写了 fa。下文的 e[i].w 是懒得再开一个数组了。dfn[u]=low[u]=++dfscnt;st[++top]=u;for(int i=head[u];i;i=e[i].nxt){int v=e[i].to;if(fa==e[i].w) continue;//e[i].w 表示读入时边的编号。if(!dfn[v]){tarjan(v,e[i].w);low[u]=min(low[u],low[v]);}else {low[u]=min(low[u],dfn[v]);}}if(dfn[u]==low[u]){sc++;while(st[top]!=u&&top){scc[st[top]]=sc;top--;}scc[st[top]]=sc;top--; }
}
//以上------tarjan板子
//LCA板子
int ff[N][50],dep[N],sum[N];
void init_lca(){//初始化for(int j=1;j<=25;j++){for(int i=1;i<=n;i++){ff[i][j]=ff[ff[i][j-1]][j-1];}}
}
void dfs(int u,int fa){ff[u][0]=fa;dep[u]=dep[fa]+1;sum[u]+=w[u];//注意这里要累加点权for(int j=1;j<=25;j++){ff[u][j]=ff[ff[u][j-1]][j-1];}for(int i=head[u];i;i=e[i].nxt){int v=e[i].to;if(v==fa) continue;sum[v]=sum[u]+e[i].w;//更新之前累加点权!!!这里调了20分钟dfs(v,u);}
}
int lca(int x,int y){if(dep[x]<dep[y]) swap(x,y);for(int i=25;i>=0;i--){if(dep[ff[x][i]]>=dep[y]) x=ff[x][i];//注意可以取等!}if(x==y) return x;for(int i=25;i>=0;i--){if(ff[x][i]!=ff[y][i]){x=ff[x][i],y=ff[y][i];}}return ff[x][0];
}
//以上LCA板子---------
signed main(){n=Read();m=Read();for(int i=1;i<=m;i++){int x=Read(),y=Read(),z=Read();add_Edge(x,y,i);//from,to,idadd_Edge(y,x,i);in[i]=(nodein){x,y,z};}for(int i=1;i<=n;i++){if(!dfn[i]) tarjan(i,0);}for(int i=1;i<=n;i++) head[i]=0;//别忘了清空 head 数组!num_Edge=0;//这里为了缩减码量直接清空用了同一个数组for(int i=1;i<=m;i++){int u=scc[in[i].x],v=scc[in[i].y];if(u==v) w[u]+=in[i].z; //累加点权if(u!=v){//建新图add_Edge(u,v,in[i].z);add_Edge(v,u,in[i].z);}}init_lca();dfs(1,0);Q=Read();while(Q--){int x=Read(),y=Read();int fx=scc[x],fy=scc[y];if(fx==fy){//在一个环里,直接判断环内是否有边权为 1 的边if(w[fx]) puts("YES");else puts("NO");} else {int f=lca(fx,fy);if(sum[fx]+sum[fy]-2*sum[f]+w[f]>0) puts("YES");else puts("NO");}}return 0;
}