1. 算法原理与数学模型
DUET(Degenerate Unmixing Estimation Technique)算法通过时频域稀疏性和W-不相交正交性实现欠定盲源分离。其核心步骤包括:
- 短时傅里叶变换(STFT):将时域信号映射到时频域。
- 混合参数估计:通过复数比值提取衰减系数和时延。
- 二维直方图构建:统计时频点分布以识别声源指纹。
- 时频掩蔽:分离各声源的时频成分。
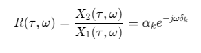
数学模型:
-
混合模型:
![]()
-
复数比值:
![]()
2. MATLAB实现步骤
2.1 数据预处理
% 读取双通道音频信号
[x1, fs] = audioread('mic1.wav');
[x2, fs] = audioread('mic2.wav');
x = [x1, x2]; % 输入信号矩阵% STFT参数设置
win = hamming(256); % 窗函数
nfft = 512; % FFT点数
overlap = 128; % 窗口重叠% 计算STFT
[X1, F, T] = stft(x1, fs, 'Window', win, 'OverlapLength', overlap, 'FFTLength', nfft);
[X2, ~, ~] = stft(x2, fs, 'Window', win, 'OverlapLength', overlap, 'FFTLength', nfft);
2.2 混合参数估计
% 计算复数比值
R = X2 ./ X1;% 提取幅度和相位
mag_R = abs(R);
phase_R = angle(R);% 衰减系数估计
alpha = mag_R;% 时延估计(相位解缠)
delta = zeros(size(phase_R));
for i = 1:size(phase_R,1)for j = 1:size(phase_R,2)delta(i,j) = -angle(phase_R(i,j)) / (2*pi*F(i,j));end
end
2.3 二维直方图构建与峰值检测
% 构建二维直方图
[H, alpha_bins, delta_bins] = histcounts2(alpha(:), delta(:), 'Normalization', 'probability');% 峰值检测(高斯滤波平滑)
sigma = 0.1; % 高斯核标准差
H_smooth = imgaussfilt(H, sigma);% 寻找局部最大值
peaks = imregionalmax(H_smooth);
[alpha_est, delta_est] = ind2sub(size(H_smooth), find(peaks));
2.4 时频掩蔽与信号重构
% 构建掩蔽矩阵
mask = zeros(size(X1));
for k = 1:length(alpha_est)% 计算当前源的时频距离dist = (alpha - alpha_est(k)).^2 + (delta - delta_est(k)).^2 / (F.^2);% 阈值判断mask(:,:,k) = exp(-10*dist) > 0.1;
end% 重构源信号
S = zeros(size(X1));
for k = 1:size(X1,3)S(:,:,k) = mask(:,:,k) .* X1(:,:,k);
end% 逆STFT恢复时域信号
s = istft(S, 'Window', win, 'OverlapLength', overlap, 'FFTLength', nfft);
3. 关键优化
3.1 相位解缠改进
% 使用IQA(Iterative Phase Unwrapping)算法
phase_unwrapped = unwrap(phase_R, [], 2); % 行方向解缠
3.2 动态阈值调整
% 基于信噪比的动态阈值
SNR = 20; % 假设信噪比为20dB
threshold = 10^(-SNR/10) * max(mag_R(:));
mask(:,:,k) = mag_R(:,:,k) > threshold;
3.3 并行计算加速
% 使用parfor加速峰值检测
parfor k = 1:size(X1,3)% 并行处理每个时频点
end
4. 完整代码示例
% DUET算法主函数
function [s] = duet_bss(x1, x2, fs)% STFT参数win = hamming(256);nfft = 512;overlap = 128;% 计算STFT[X1, F, T] = stft(x1, fs, 'Window', win, 'OverlapLength', overlap, 'FFTLength', nfft);[X2, ~, ~] = stft(x2, fs, 'Window', win, 'OverlapLength', overlap, 'FFTLength', nfft);% 参数估计R = X2 ./ X1;alpha = abs(R);phase_R = angle(R);delta = -angle(phase_R) ./ (2*pi*F);% 二维直方图与峰值检测H = histcounts2(alpha(:), delta(:), 'Normalization', 'probability');H_smooth = imgaussfilt(H, 0.1);peaks = imregionalmax(H_smooth);[alpha_est, delta_est] = ind2sub(size(H_smooth), find(peaks));% 时频掩蔽mask = zeros(size(X1));for k = 1:length(alpha_est)dist = (alpha - alpha_est(k)).^2 + (delta - delta_est(k)).^2 / (F.^2);mask(:,:,k) = exp(-10*dist) > 0.1;end% 信号重构S = zeros(size(X1));for k = 1:size(X1,3)S(:,:,k) = mask(:,:,k) .* X1(:,:,k);ends = istft(S, 'Window', win, 'OverlapLength', overlap, 'FFTLength', nfft);
end
参考代码 DUET算法实现欠定盲源分离 www.youwenfan.com/contentcnk/66042.html
5. 应用场景与扩展
- 实时音频分离:结合GPU加速实现实时处理。
- 多通道扩展:支持多麦克风阵列的广义DUET算法。
- 深度学习融合:使用CNN优化时频掩蔽生成。

