运放速度揭秘:带宽与压摆率的关键对决
引言:该博客为个人学习记录,如有引用会标明出处,希望一起进步。同样希望大家关顾我的个人博客!
个人博客链接:https://www.elemenx-king.xyz/
(个人博客正在维护中,可能打不开QAQ)
前言
在学习放大器以及运放的过程中,课本对于运放速度这一概念涉及的篇幅有限,然后大家很容易讲带宽与速度这两个概念混为一谈,这里将其单独拿出来进行讨论。
一、放大器的带宽
放大器是一种能将输入信号幅度按比例放大的电路。例如,输入 1 mV、1 kHz 的正弦信号,输出放大为 1 V,增益为 1000 倍。
但若提高输入信号频率(如 10 kHz 到 100 GHz),输出幅度会逐渐下降。当增益降至原来的约 0.707 倍(即 1/√2 ≈ 0.707)时,对应的频率称为放大器的带宽。频率再升高,增益会进一步降低。
因此,带宽的意义就是表明了电路可以有效处理的信号的频率范围。
二、带宽的分类
这里的带宽包括小信号带宽和大信号带宽。
2.1 小信号带宽
- 定义:基于电路的小信号模型进行分析。它假设输入的交流信号幅度非常小,以至于电路中的所有晶体管/器件都工作在线性区,可以近似为线性电路。
- 决定因素:主要由电路中的节点电容(寄生电容、密勒电容等) 和等效电阻构成的RC时间常数决定。这就是我们通常从传递函数和 -3dB 点计算出来的带宽。
- 特点:在小信号条件下,放大器的性能(如增益)被认为是线性的,与输入信号的幅度无关。压摆率限制在此情况下不发挥作用。
小信号带宽反映的是电路的线性建立过程,从时域上看是一个指数逼近的过程。
现在我们以一个简单的一阶RC低通网络为例,分别从时域和频域进行分析。
网络拓朴结构图下所示:

2.1.1 频域分析(Frequency Domain)
频域分析研究的是电路对不同频率正弦信号的响应,即传递函数。
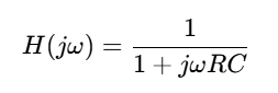
- 传递函数 (H(j\omega)):
利用复数阻抗法,电容的阻抗为1/jwC。这是一个分压电路,化简后得到:

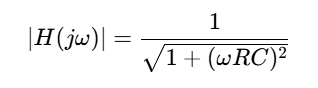
- 幅频特性(Magnitude Response):
传递函数的模表示增益(输出与输入的幅度比)。

- 相频特性(Phase Response):
传递函数的辐角表示输出信号相对于输入信号的相位偏移。

输出信号的相位滞后于输入信号。
2.1.2 时域分析(Time Domain)
时域分析研究的是电路在任意输入电压(如阶跃信号)下的输出响应。
我们分析阶跃响应,即 V_in 在 t=0 时从 0 突变为 V_0。
- 微分方程:
根据 KVL,以及电容的微分公式,得到:

- 求解方程:
这是一个一阶常系数线性微分方程。其解为:

其中,tao = RC 称为电路的时间常数(Time Constant)。这个简单的 RC 网络清晰地展示了信号“速度”与“带宽”之间的基本权衡关系。
2.2 大信号带宽
- 定义:当需要输出大幅度信号(即“大信号”)时,放大器内部电路的压摆率 成为主要限制因素。
- 决定因素:主要由放大器的压摆率 决定。压摆率是表示放大器输出电压变化速度的极限值,单位是 V/μs。
- 核心矛盾:即使根据小信号模型,你的放大器在100MHz时仍有足够的增益(即小信号带宽足够),但如果要求它在100MHz下输出一个10V峰峰值的正弦波,它可能根本做不到。因为输出波形的最大变化速度可能超过了放大器压摆率的极限。
下面就对小信号带宽、电路时间常数对电路响应速度的影响、反馈中的小信号建立对运放GBW和gm的设计要求、大信号带宽对压摆率的要求、建立时间的分配进行说明。
三、小信号带宽、时间常数和响应速度的关系
在刚才的RC网络中,已经推导了小信号的相关公式以及图像,可见 R1C1 值越大,输出达到V0所需的时间越长。因此带宽越小,输出达到V0所需的时间也就越长,即电路速度较慢。因此带宽和速度的变化是一致的,电路带宽越大,响应时间越小,速度也越大,都与时间常数 τ = RC 有关,而 3dB 带宽 w = τ^-1,所以时间常数大,带宽小,速度慢。

四、反馈系统对运放小信号带宽的要求(GBW)

简单来说,总结为一个问题:
如果我需要一个运放电路,它必须在5纳秒内将输出稳定在目标值的1%误差以内,那么我应该选用一个多大GBW的运纳?驱动特定容性负载时,它的输入管又需要多大的跨导(gm)?
4.1 起点:建立时间 vs. 时间常数 (τ)
- 建立时间:指运放电路输入端加一个阶跃信号(如电压跳变)后,输出信号达到并稳定在最终值某个允许误差范围内所需的时间。这里给的条件是:建立时间5ns,建立精度1%。
- 一阶系统模型:为了简化分析,我们将运放闭环系统近似为一个一阶RC低通网络。这个系统的阶跃响应是指数形式的:
Vout(t) = Vfinal * (1 - e^(-t/τ))
,其中τ
是系统的时间常数。 - 从精度反推τ:如果要求输出稳定在最终值的99%(即误差1%),意味着
1 - e^(-t/τ) = 0.99
,解得e^(-t/τ) = 0.01
。当建立时间t_settle = 5ns
时,可以求出τ
:
τ = t_settle / (-ln(0.01)) ≈ 5ns / 4.6 ≈ 1.09 ns
所以,τ=1.09ns 这个值是由(5ns, 1%)这个系统性能指标直接决定的。
4.2 连接:闭环系统带宽 (ω) 与 运放GBW
- 闭环带宽:对于一个一阶系统,其-3dB带宽
ω
和时间常数τ
的关系是:ω = 1/τ
。所以这个闭环系统的带宽要求是ω ≈ 1 / (1.09ns)
。 - 运放GBW与闭环带宽的关系:对于一个电压反馈型运放接成的同相放大器(增益
Av = 1 + R1/R2 = 1/β
,其中β
是反馈系数),在理想情况下,其闭环带宽 ≈ 增益带宽积 / 闭环增益,即ω ≈ GBW / Av = β * GBW
。 - 得到GBW要求:将第一步得到的
ω = 1/τ
代入上式ω ≈ β * GBW
:
1/τ ≈ β * GBW
所以,对运放GBW的要求是:
GBW ≈ 1 / (β * τ)
(单位:弧度/秒, rad/s)
换算成赫兹(Hz)就是:GBW_Hz ≈ 1 / (2π β τ)
这个公式是核心结论之一:系统要求(τ)和电路配置(β)共同决定了对运放速度(GBW)的最低要求。
四、大信号带宽对压摆率的要求
大信号带宽表示输出能跟随的最大输入信号频率,这对运放的压摆率提出了要求。压摆率越高,表示能够跟上的输入信号频率越高。
对于一个正弦波其变化速率(导数)为:

最大变化速率发生在过零点,如果输出信号能够跟上输入信号的变化,则要求:

要使输出不因压摆率限制而产生失真(从正弦波变成三角波),放大器必须满足,那么输入信号的最大频率为:

如果频率超过最大值,则会出现如下情况:

从图中可以看到,输出信号功率相比于输入信号功率出现了较大程度的衰减。这也是叫做功率带宽(Power Bandwidth)的原因。
五、非线性建立和线性建立时间的分配

一种经验分配方式:
总建立时间=时钟周期的一半2/3=T/3;非线性建立时间=总建立时间1/3=T/9。
当然,在模拟电路中不会有如此快速变化的信号,当我们制作高速比较器时需要考虑其反转的速度。
现在以一个简单的OTA放大器为例,对应的非线性部分是当两边电流差距非常悬殊(一端电压远大于另一端)这时候尾电流会全部流入一条支路,这时候的电流为Imax,是一个非线性过程。然后随着反馈的影响,一端电压与另一端缓慢靠近,这时候便是一个线性过程,随着电流的减小,使得输出电压缓慢的靠近目标电压。
这里有另一种理解形式:
在OTA(运算跨导放大器)中,界定非线性到线性的过渡点,核心是观察其跨导值是否保持恒定。下面这个表格汇总了关键的判断维度,可以帮助你快速把握要点。
判断维度 | 线性工作特征 | 非线性工作特征 | 核心观察点 / 界定方法 |
---|---|---|---|
核心参数 | 跨导恒定 | 跨导变化 | 跨导是输出电流与输入电压的比值。当跨导随输入电压变化时,即进入非线性区。 |
电压传输特性 | 输入差分电压与输出电流呈线性关系 | 输出饱和,不随输入变化 | 在传输特性曲线中,线性区是斜率恒定的直线段;当曲线变平,输出接近饱和电平时,进入非线性区。 |
线性输入范围 | 输入电压在一定范围内 | 输入电压超出线性范围 | 该范围通常由OTA的输入级决定。例如,某些设计通过源极退化技术来扩展线性输入范围。 |
大信号行为 | 输出电流变化速率受小信号带宽限制 | 输出电流变化速率受压摆率限制 | 当输入差分阶跃信号幅度过大,输出电流无法瞬时响应,出现线性变化(压摆限制)时,即进入大信号非线性状态。 |
失真度 | 谐波失真和互调失真分量低 | 谐波失真和互调失真显著增大 | 通常以失真度显著增大的输入电压幅值作为过渡点。例如,文献中以1%的跨导变化来定义线性范围的边界。 |
负载影响 | - | - | 线性范围的界定也与负载条件有关。OTA的大输出阻抗特性使得其线性性能对负载阻抗敏感。 |
六、OTA线性建立时间与RC网络的关系
核心在于:OTA是一个主动、压控电流源,而RC网络是一个被动、无源网络。 但当我们在小信号条件下分析时,主动的OTA可以被等效成一个具有特定参数的被动RC电路。
尽管物理原理不同,但在小信号分析中,我们可以为OTA建立一个线性模型,这个模型的数学形式与RC网络完全相同。
推导过程:
-
OTA的输出端:无论OTA内部多复杂,从输出端看进去,总可以看到:
- 一个输出电阻(通常很大,是内部晶体管的小信号输出电阻的并联)。
- 一个输出电容(包括负载电容和寄生电容)。
- 一个压控电流源。
-
建立等效电路:因此,OTA的小信号模型可以如下所示:

- 计算传递函数:我们求解输出电压V_out。根据电路原理,流过并联阻抗 Z_out的电流等于电流源的值:

整理得到传递函数:

在小信号模型下,一个简单的OTA可以被等效为一个具有增益 (A_0) 和时间常数 (\tau = r_{out} C_L) 的一阶低通系统。其频响特性与RC低通滤波器在数学上同构。
七、非负反馈电路的理解
如果没有反馈,放大器将永远无法进入线性建立阶段,只会表现出单纯的压摆行为,然后饱和。
这种电路就是开环比较器。
- 场景:放大器的同相端(+)接阶跃信号,反相端(-)接一个**固定的参考电压 **。输出没有任何连接回到输入端。
- 过程:
- 当输入从低电平跳变到高于参考电压的电平时,两者之差是一个固定的大值。
- 输入对管瞬间失衡,尾电流全部流向一侧。
- 输出节点电容 (C_L) 被最大电流I_{max充电,输出电压V_out以恒定斜率 (SR) 上升。
- 但是,由于没有反馈,V_-永远是 V_{ref},不会改变。因此,输入电压差始终保持为那个固定的大值。
- 这意味着输入对管永远处于失衡状态,电流持续以 I_max对C_L充电。
- 直到输出达到电源电压(或其他限制,如晶体管的饱和电压),电路进入饱和,输出电压被钳位,不再变化。
所以,在开环比较器应用中,我们观察到的输出响应就是一个以恒定斜率上升的斜坡,最终平顶,根本没有那个指数衰减的“尾巴”。
但是有一点需要注意!该结论只适用于负载为电流源的时候,当你的负载是阻值一定的电阻时,I_max会随着目标电压的升高逐渐从流入电容变为流入电阻,一定程度上也形成了一个RC网络。
总结
总结来说,大家不要把电路的带宽与速度混为一谈,带宽大不一定速度快。这是最容易混淆的一点。带宽是一个频域概念,而速度是一个时域概念,它们通过阶跃响应联系起来。
-
小信号速度(由带宽决定):
- 场景:当输入一个幅度非常小的阶跃信号时,放大器工作在线性区。
- 关系:对于一阶系统,建立时间
T_settle ∝ 1 / BW
。带宽越宽,对小信号的响应速度越快。例如,一个100MHz带宽的放大器比一个1MHz带宽的放大器能更快地放大一个微小变化的信号。
-
大信号速度(由压摆率决定):
- 场景:当输入一个大幅度阶跃信号时,放大器内部电路可能瞬间饱和(如输入对管失衡),输出变化率不再由带宽决定,而是达到一个极限值,即压摆率。
- 关系:输出压摆率
SR = dV/dt = I_max / C_L
。这里,速度由最大可用充电电流I_max
决定,与GBW无关。输出以恒定斜率变化,直到接近最终值时才由带宽接管。
关键冲突:一个放大器可能具有很高的GBW(小信号带宽很宽),但如果它的压摆率很低,那么在大信号输入时,它的响应速度会非常慢。系统的最终速度由“带宽”和“压摆率”中更慢的那个决定。
参考链接:
https://blog.eetop.cn/blog-1789212-6953634.html
https://www.cnblogs.com/tdyizhen1314/p/17420482.html
本文来自互联网用户投稿,该文观点仅代表作者本人,不代表本站立场。本站仅提供信息存储空间服务,不拥有所有权,不承担相关法律责任。如若转载,请注明出处:http://www.mzph.cn/news/934632.shtml
如若内容造成侵权/违法违规/事实不符,请联系多彩编程网进行投诉反馈email:809451989@qq.com,一经查实,立即删除!