20251001国庆模拟

news/2025/10/3 19:02:14/文章来源:https://www.cnblogs.com/hjm0703/p/19124881

Part 1 题目列表

  • P7075 [CSP - S2020] 儒略日
  • P7076 [CSP - S2020] 动物园
  • P7077 [CSP - S2020] 函数调用
  • P7078 [CSP - S2020] 贪吃蛇

Part 2 考试时间线

8:02 开题, 仅仅读了 10 分钟 T1 题目,就得出结论,大模拟

9:20 在与 T1 长达 ···(数不过来了) 的搏斗后,成功过了大样例,快速开 T2。

9:50 十分钟看题,十分钟写题,十分钟调题(算多了一点),一遍过大样例。

11:00 当时一看,这不明显的数据结构大水题吗(看看我那惊人的判断力,最终没调出来。

11:20 只好写了一个超级大暴力。但当我把视野望向那仿佛遥不可及的 T4 时,却发现这不是 贪吃蛇 吗,我以前可是做过的,但是没调出来。

12:00 结束,开始担心未删调试。

Part 3 题目分析

T1

都说了是 超级打分讨,当然要加一点二分。

错因:

有一个 1582 写成了 1982

T2

最简单的一道,就不再多说了,要注意的是,答案最大值为:

\[2^{64}=18446744073709551616 \]

unsigned long long 都会爆。

所以要特判。

T3

考完后成功发现时间复杂度是伪的。

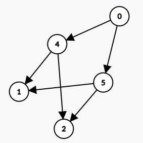
首先这怎么看都像是一个图论,因为通过函数的调用关系,可以很轻松的建立一个 DAG 出来

比如这组数据:

【输入】

1
0
5
1 1 1
2 2
2 4
3 2 1 2
3 2 1 3
2
4 5

【输出】

12

可以建出如下图:

屏幕截图 2025-10-01 193130.png

这里补了一个 0 号节点作为主函数,相当于只是调用一个主函数


首先我们发现:

\[(a+b) \times c = a \times c+b \times c\\ (原来的+add) \times mul = 原来的 \times mul+add \times mul \]

所以我们只需要分别知道原数组乘的倍数,和每一个加数乘的倍数即可。

第一个十分简单,一个反向建边,加一个拓扑即可。

而第二个有一点需要注意,我们要反向枚举边,因为是后面的影响前面的。

T4

这里做一个分类讨论:

  • 最大的蛇吃了最小的蛇不是最小的蛇

    【策略】

    应当吃掉,如何都不亏(证明略)

  • 最大的蛇吃了最小的蛇是最小的蛇

    【策略】

    最开始我们头脑简单的认为这当然不能吃,因为吃了自己下一轮也得死,但是当我们再往下面枚举一层:

    1. 下一轮最大的蛇吃了自己不是最小的蛇

      因为这条蛇会选择吃你,因而你在这一轮不能吃

    2. 下一轮最大的蛇吃了自己是最小的蛇

      这里又要看下下一轮的蛇

我们发现这是一个递归的过程,一但要考虑第二种情况就会递归到:

  1. 蛇的数量为 2
  2. 这条递归到的蛇吃了后不是最小的蛇

且满足:

  • 上个蛇要吃则这一个蛇不吃
  • 上一个蛇不吃则这一个蛇吃

(满足奇偶性)

Part 4 总结

题目 预估分数 实际得分 核心算法 错因 改进方案
儒略日 100 70 模拟+分类讨论+二分 1582写成了1982(luogu上出现了一些TLE,但LemonLime没有) 在检查时检查一些特殊情况(边界,如这道题的1582年)
动物园 100 95 位运算 未考虑 ans=(1<<64) 的情况 检查特殊情况,查看是否越界
函数调用 45 45 DAG拓扑+思维 方法选错了,且特殊性质没调出来 当发现不能在短时间内找到正解的话,先保证打满部分分
贪吃蛇 20 20 贪心+优先队列 时间不够,只能打完20分 节约时间

总分:70 + 95 + 45 + 20 = 230

预期得分: 100+100+45+20=265

改进方案:

  • 在检查时检查一些特殊情况
  • 当发现不能在短时间内找到正解的话,先保证打满部分分
  • 节约时间

本文来自互联网用户投稿,该文观点仅代表作者本人,不代表本站立场。本站仅提供信息存储空间服务,不拥有所有权,不承担相关法律责任。如若转载,请注明出处:http://www.mzph.cn/news/926218.shtml

如若内容造成侵权/违法违规/事实不符,请联系多彩编程网进行投诉反馈email:809451989@qq.com,一经查实,立即删除!

相关文章

线段树合并 [POI 2011] ROT-Tree Rotations

波兰人太神秘了,竟能出出来如此题目。 题意 给一棵树(读入不太寻常,这个容易处理,忽略不计), 每个叶子节点有一个权值,我们可以选择交换一些节点的左右子树(保证是二叉树,且要么是叶子要么左右子树都存在)。 …

CSS的选择器 - 指南

CSS的选择器 - 指南pre { white-space: pre !important; word-wrap: normal !important; overflow-x: auto !important; display: block !important; font-family: "Consolas", "Monaco", "C…

ModuleNotFoundError: No module named wandb.keras

from wandb.keras import WandbCallback ModuleNotFoundError: No module named wandb.keras ================================ Successfully installed annotated-types-0.7.0 eval-type-backport-0.2.2 gitdb-4.0.1…

wordpress建站网注册公司流程和费用

0 前言 使用stm32官方可视化初始化代码生成工具STM32CubeMX生成的工程GCC编译选项默认不支持非对齐访问&#xff0c;在我们进行非对齐的访问时就会进入数据异常中断DAbt中。为了解决这一问题&#xff0c;我们需要在GCC编译选项中加上一处配置。 1 操作方法 右键STM32CubeIDE…

C# Net9的模块初始化器(Module Initializer)

Module Initializer 是为了让库/框架在程序集加载时,以 “CLR 保证的、只运行一次的、不依赖类型访问的” 方式执行初始化逻辑,从而避免静态构造函数的副作用和性能问题。Module Initializer 是为了让库/框架在程序集…

离线轻量大模型,Ollama部署到docker方法

来自豆包 将Ollama部署到Docker的步骤如下: 一、安装Docker环境启用系统功能(Windows系统):打开“控制面板” → “程序与功能” → “启用或关闭Windows功能”。 勾选 Hyper-V、虚拟机平台、Linux子系统(WSL)。…

flink执行图 - 教程

pre { white-space: pre !important; word-wrap: normal !important; overflow-x: auto !important; display: block !important; font-family: "Consolas", "Monaco", "Courier New", …

深入解析:华为Pura 80芯片细节曝光,预示着华为多款新品即将震撼登场!

pre { white-space: pre !important; word-wrap: normal !important; overflow-x: auto !important; display: block !important; font-family: "Consolas", "Monaco", "Courier New", …

应用拓扑讲义整理 Chapter 6. 单纯复形(Simplicial Complexes)

Chapter 6. 单纯复形 6.1 单纯复形的基本概念 6.1.1 仿射空间 Definition 6.1(仿射空间)仿射空间是一个三元组 \((E, \overrightarrow E, +)\),其中 \(E\) 是点集,\(\overrightarrow E\) 是由自由向量或转移组成的…

完整教程:华为麒麟9010、9020、9030、9040系列芯片的性能参数及其与高通芯片的对比

完整教程:华为麒麟9010、9020、9030、9040系列芯片的性能参数及其与高通芯片的对比pre { white-space: pre !important; word-wrap: normal !important; overflow-x: auto !important; display: block !important; fo…

AQS(ReentrantLock)源码浅析

管程 — Java同步的设计思想 管程:指的是管理共享变量以及对共享变量的操作过程,让他们支持并发。 互斥:同一时刻只允许一个线程访问共享资源; 同步:线程之间如何通信、协作。 MESA模型 在管程的发展史上,先后出…

做网站app价格多少钱网站首页布局风格

编程笔记 html5&css&js 017 HTML样式 一、HTML样式二、CSS3小结 HTML样式是用来控制网页元素外观的一组属性和值。 一、HTML样式 可以通过以下几种方式来为HTML元素添加样式&#xff1a; 内联样式&#xff1a;直接在HTML元素的style属性中添加样式。例如&#xff1a;…

完整教程:【数据结构】快速排序与归并排序的实现

完整教程:【数据结构】快速排序与归并排序的实现2025-10-03 18:42 tlnshuju 阅读(0) 评论(0) 收藏 举报pre { white-space: pre !important; word-wrap: normal !important; overflow-x: auto !important; displa…

05. 事件处理

一、信号与槽在 QML 中,信号与槽机制是对象间通信的一种重要方式。它允许对象在其状态改变或发生特定事件时通知其他对象,并触发相应的处理函数。信号 是对象发出的通知,表明某个事件已经发生。槽 (信号处理器)是…

网站流量分析的指标有哪些wordpress京东主题

文章目录 第6章 逻辑斯谛回归与最大熵模型6.1 逻辑斯谛回归模型6.1.1 逻辑斯谛分布6.1.2 二项逻辑斯谛回归模型6.1.3 模型参数估计6.1.4 多项逻辑斯谛回归 《统计学习方法&#xff1a;李航》笔记 从原理到实现&#xff08;基于python&#xff09;-- 第3章 k邻近邻法 《统计学习…

总结问题2 软工10.3

使用纯水机发生器公式进行不断的遍历, XN是上一个种子,它遍历出XN加1就是下一个种子。Jdk SIMULATOR outer point ln的方法中,它是利用了很多的重载,来实现不同的功能。关于4则运算,答题框的生成,可以以答题框为…

如何选择网站建设流程网站展示效果图

我想用来自Java的参数调用python程序。但是我的输出是空白。代码在这里。 Python代码在这里&#xff1a; import sys print(sys.argv[1]) Java代码在这里&#xff1a; public class PrintNumber{ public static void main(String[] args){ Process proc; try { proc Runtime.g…

BPL包无法调试的问题

转 由于系统结构是Host主程序动态加载BPL包的模式。所以用到了Package的调试,但无论如何有一个包就是无法调试(加断点不起作用)。经过N久的查找,发现: 1.包Package在编译,生成的时候会自动产生DCP和BPL文件,缺省…

学院网站群建设的目标网站开发背景和意义

国产大模型开源一哥再登场&#xff0c;最强双语LLM「全家桶」级开源&#xff01;340亿参数超越Llama2-70B 为什么说大模型训练很难&#xff1f; - 知乎 GitHub - jeinlee1991/chinese-llm-benchmark: 中文大模型能力评测榜单&#xff1a;覆盖百度文心一言、chatgpt、阿里通义千…

如何在国内做网站手机网站建设选 朗创营销

图为RUST吉祥物 大家好,我是get_local_info作者带剑书生,这里用一篇文章讲解get_local_info是怎样获得杀毒软件的病毒库时间的。 首先,先要了解get_local_info是什么? get_local_info是一个获取linux系统信息的rust三方库,并提供一些常用功能,目前版本0.2.4。详细介绍地址…