实用指南:机器学习:线性回归

news/2025/10/2 22:00:42/文章来源:https://www.cnblogs.com/yxysuanfa/p/19124065

机器学习:线性回归

  • 线性回归
    • 线性回归的概念
    • 损失函数的度量
    • 优化函数
      • 1.SGD随机梯度下降
      • 2.Adam自适应学习率
  • 线性回归的实现
    • 一元线性回归
      • 使用sklearn实现
      • 使用Pytorch实现
    • 多项式回归
      • 使用sklearn实现
      • 使用pytorch实现

线性回归

线性回归的概念

线性回归是一种强大但有限制性的算法。当特征与整体的目标值呈现较强的线性关系时,可以使用线性回归进行拟合。但是需要说明,线性回归中,“线性”指的是参数是线性的,不是特征必须是线性的。例如:
y=w1x1+w2x2+b(1)y=w_1x_1+w_2x_2+b\quad \quad\quad\quad\quad\quad(1)y=w1x1+w2x2+b(1)
y=w1w2x1+w3x2+b(2)y=w_1w_2x_1+w_3x_2+b\quad \quad\quad\quad\quad(2)y=w1w2x1+w3x2+b(2)
y=w1x2+w2x2+b(3)y=w_1x^2+w_2x_2+b\quad\quad\quad\quad \quad\quad(3)y=w1x2+w2x2+b(3)
上述三个式子中,只有(2)是非线性的,而对于多项式拟合,也属于线性回归的一种。

损失函数的度量

损失函数指用来衡量预测值和真实值之间的偏差,在回归任务中,通常用均方误差(Mean Square Error,以下简称MSE)来衡量模型的预测能力。其计算方式如下:
MSE=∑i=1n(yi−yip)2MSE=\sum_{i=1}^{n} (y_i-y^p_i)^2MSE=i=1n(yiyip)2
其中,yiy_iyi为实际值,yipy^p_iyip为预测值。

优化函数

优化函数的目标是:找到让损失函数最小化的模型参数
主要有两种优化函数,即Adam和SGD

1.SGD随机梯度下降

SGD全称stochastic gradient descent,即随机梯度下降。其主要根据损失函数对各个参数的梯度来更新参数。随机梯度下降中的“随机”,指的是在对损失函数优化时,主要是沿着梯度的反方向进行优化,如果对整个训练集上的数据求解梯度,代价太大,此时一般会随机选取b个样本,使用这b个样本的损失来求解梯度。简化运算量。其主要学习以下两个内容:
1.梯度方向:参数应该向哪个方向能够减少损失
2.更新步长:学习率控制每次更新的幅度

2.Adam自适应学习率

Adam全称adaptive moment estimation,即自适应学习率。不仅学习梯度的方向,还学习每个参数的最佳学习率。主要学习以下三个内容:
1.梯度方向
2.梯度幅度(用于调整学习率)
3.每个参数独立的学习率

线性回归的实现

一元线性回归

使用sklearn实现

接下来,将从以下几个步骤进行实现:
①数据生成
②数据处理
③模型构建
④模型训练
⑤可视化

# 使用sklearn实现LineRegression
import numpy as np
import matplotlib.pyplot as plt
from sklearn.model_selection import train_test_split
from sklearn.linear_model import LinearRegression
from sklearn.metrics import mean_squared_error as MSE
# 1.数据生成
np.random.seed(42)
X = np.linspace(0,10,100).reshape(-1,1)
y = 1.5*X.ravel()+2+np.random.normal(0,1,100)  # y=1.5x+2
# 2.数据处理
X_train,X_test,y_train,y_test = train_test_split(X,y,shuffle=True)
# 3.定义模型
model = LinearRegression()
# 4.模型训练
model.fit(X_train,y_train)
# 5.计算模型损失并可视化
X_train_pred = model.predict(X_train)
X_test_pred = model.predict(X_test)
train_mse = MSE(X_train_pred,y_train)
test_mse = MSE(X_test_pred,y_test)
print(f'目标函数为:y=1.5x+2,预测函数为:y={model.coef_[0]:.3f}x+{model.intercept_:.3f}')
print(f"测试集损失:{train_mse:.3f},训练集损失:{test_mse:.3f}")
plt.figure(figsize=(12,8))
pred_data = model.coef_[0]*X+model.intercept_
plt.scatter(X,y,label='Raw_Data')
plt.plot(X,pred_data,label='fit_line',color='red')
plt.legend()
plt.show()

sklearn线性拟合

使用Pytorch实现

使用torch实现线性回归,从以下几个方面进行构建
①数据生成
②模型构建
③损失函数、优化器定义
④模型训练
⑥模型评估
⑦可视化

# 使用torch实现LineRegression
import torch
import torch.nn as nn
import torch.optim as optim
import numpy as np
from sklearn.model_selection import train_test_split
np.random.seed(42)
# 1.生成数据
X = np.linspace(-3,3,100).reshape(-1,1)
y = 3*X+2+np.random.normal(0,1,100).reshape(-1,1)
# 2.转换为tensor数据类型
X_train,X_test,y_train,y_test = train_test_split(X,y,shuffle=True)
X_train_tensor = torch.from_numpy(X_train).float()
X_test_tensor = torch.from_numpy(X_test).float()
y_train_tensor = torch.from_numpy(y_train).float()
y_test_tensor = torch.from_numpy(y_test).float()
# 3.定义线性回归
class LineRegression(nn.Module):
def __init__(self):
super().__init__()
self.linear = nn.Linear(1,1)
def forward(self,x):
output = self.linear(x)
return output
# 4.定义损失函数,优化器等
model = LineRegression()
optimizer = optim.SGD(model.parameters(),lr=0.001) # 采用随机梯度下降
criterion = nn.MSELoss()  # 使用均方误差
losses = [] # 记录训练误差
# 5.训练模型
epochs = 1000
for epoch in range(epochs):
outputs = model(X_train_tensor)
loss = criterion(outputs,y_train_tensor)
# 反向传播
optimizer.zero_grad()  # 梯度清零
loss.backward()        # 反向传播
optimizer.step()
losses.append(loss.item())
if (epoch+1)%100==0:
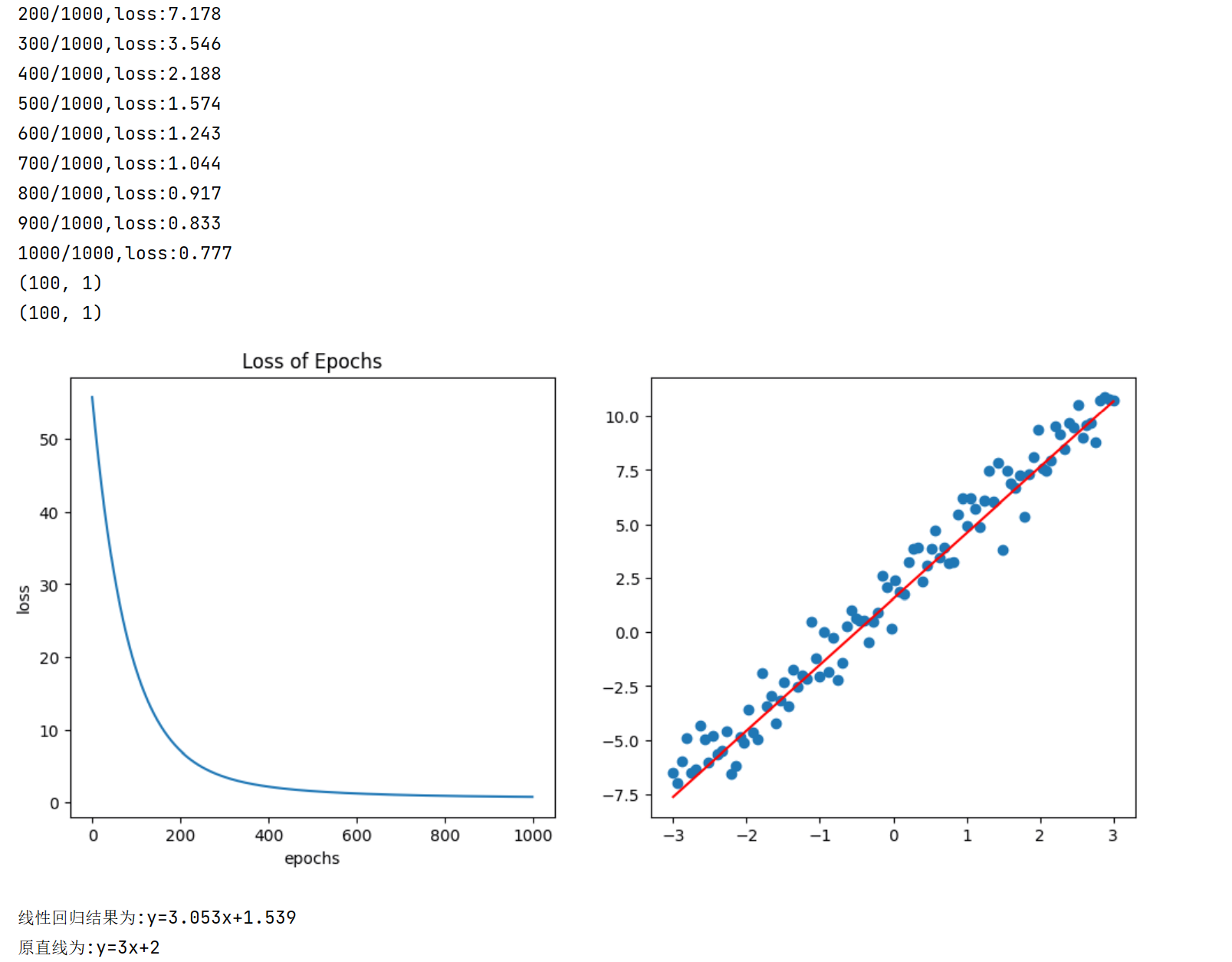
print(f'{epoch+1}/{epochs},loss:{loss:.3f}')
# 可视化衡量
plt.figure(figsize=(12,5))
# 绘制损失函数
plt.subplot(1,2,1)
plt.plot(losses)
plt.xlabel('epochs')
plt.ylabel('loss')
plt.title('Loss of Epochs')
# 绘制拟合图形
plt.subplot(1,2,2)
weight = model.linear.weight.item()
bias = model.linear.bias.item()
pred_data = weight*X+bias
print(X.shape)
print(y.shape)
plt.scatter(X,y,label='Raw_Point')
plt.plot(X,pred_data,label='Fit_line',color='red')
plt.show()
# 查看模型预测的参数
print(f'线性回归结果为:y={model.linear.weight.item():.3f}x+{model.linear.bias.item():.3f}')
print(f'原直线为:y=3x+2')

Pytorch实现线性回归

多项式回归

前面提过,多项式回归也属于线性回归。在这里,已三次函数为例,实现线性回归。

使用sklearn实现

# 使用sklearn实现多项式回归
import numpy as np
import matplotlib.pyplot as plt
from sklearn.linear_model import LinearRegression
from sklearn.preprocessing import PolynomialFeatures
from sklearn.metrics import mean_squared_error as MSE
# np.random.seed(42)
# 1.生成数据
X = np.linspace(-3,3,100).reshape(-1,1)
y = 3*X.ravel()**3-2*X.ravel()**2+3*X.ravel()+1+np.random.normal(loc=0,scale=5,size=100)  # y=3x^3-2x^2+3x+1
# 2.特征工程
poly = PolynomialFeatures(degree=3)
X_features = poly.fit_transform(X,y)
# 3.模型构建与拟合
model = LinearRegression()
model.fit(X_features,y)
# 4.模型评估
pred = model.predict(X_features)
loss = MSE(pred,y)
print(f"拟合误差为:{loss:.3f}")
# 5.可视化
plt.figure(figsize=(12,5))
plt.plot(X,pred,label='Fit_Poly_Line',color='red')
plt.scatter(X,y,label='Raw_Data')
plt.legend()
plt.show()
# 参数
print(f'原函数为:y=3x^3-2x^2+3x+1')
print(f'拟合参数(X,X^2,X^3,...)为:{model.coef_}')
print(f'拟合截距为:{model.intercept_:.3f}')

输出结果如下:
sklearn实现高次拟合

使用pytorch实现

使用pytorch更加灵活,能够调整参数以及训练轮次等信息。例如调整超参数degree可以拟合不同的次数

# 使用torch实现线性回归
import torch
import torch.nn as nn
import torch.optim as optim
import numpy as np
np.random.seed(42)
# 1.生成数据
X = np.linspace(-3,3,100).reshape(-1,1)
y = 3*X.ravel()**3-2*X.ravel()**2+3*X.ravel()+1+np.random.normal(0,5,100)  # y=3x^3-2x^2+3x+1
# 2.转换为tensor类型
X_tensor = torch.from_numpy(X).float().view(-1,1)
y_tensor = torch.from_numpy(y).float().view(-1,1)
# 3.定义模型
class PolyRegression(nn.Module):
def __init__(self,degree):
super().__init__()
self.linear = nn.Linear(degree,1)
def forward(self,X):
poly_features = torch.cat([X**i for i in range(1,self.linear.in_features+1)],dim=1)
return self.linear(poly_features)
# 4.损失函数、优化器定义
degree = 3
model = PolyRegression(degree=degree)
criterion = nn.MSELoss()
optimizer = optim.Adam(model.parameters(),lr=0.01)
losses = []
# 5.模型训练
epochs = 1000
for epoch in range(epochs):
# 前向传播
outputs = model(X_tensor)
# 计算损失
loss = criterion(outputs,y_tensor)
# 反向传播优化
optimizer.zero_grad()
loss.backward()
optimizer.step()
losses.append(loss.item())
if (epoch+1)%100==0:
print(f'{epoch+1}/{epochs},loss={loss:.3f}')
# 6.可视化
with torch.no_grad():
predictions = model(X_tensor)
plt.figure(figsize=(12,5))
plt.subplot(1,2,1)
plt.plot(losses)
plt.title('Loss of Epochs')
plt.xlabel('Epochs')
plt.ylabel('Loss')
plt.subplot(1,2,2)
plt.scatter(X_tensor,y_tensor,label='Raw_data',color='black')
plt.plot(X_tensor,predictions,label='Fit_Poly_line',color='red')
plt.xlabel('X')
plt.ylabel('y')
plt.title('Scatter & Fit Line')
plt.legend()
plt.show()
# 7.参数输出
print(f'原函数为:y=3x^3-2x^2+3x+1')
print(f'拟合的参数为:{model.linear.weight[0]}')
print(f'拟合的截距为:{model.linear.bias.item()}')

pytorch拟合多项式回归

本文来自互联网用户投稿,该文观点仅代表作者本人,不代表本站立场。本站仅提供信息存储空间服务,不拥有所有权,不承担相关法律责任。如若转载,请注明出处:http://www.mzph.cn/news/925333.shtml

如若内容造成侵权/违法违规/事实不符,请联系多彩编程网进行投诉反馈email:809451989@qq.com,一经查实,立即删除!

相关文章

网站建设目的和意义手机版网页开发者工具

S01E02列表 列表是什么列表的操作修改、添加和删除元素列表排序列表倒序列表长度遍历整个列表 数值列表创建数值列表数值列表简单统计计算列表推导式 列表切片复制列表 列表是什么 在Python中,用方括号([ ])表示列表,用逗号分隔其…

企业网站后台管理模板投资理财网站建设规划书

在Verilog仿真时如果需要调用某子模块中的信号在本模块中使用可以使用层次化引用的方法,而不需要在rtl部分用端口引出来。 引用方式:当前例化模块名.子例化模块名.子子例化模块名.参数 将需要的信号引出。 注意是用例化模块名而不是用子模块名&#xff…

Linux系统中配置SSH安全和Docker安装

Linux系统中配置SSH安全和Docker安装以下是在Linux系统中配置SSH安全和Docker安装的步骤:## 1. 禁用root SSH登录和设置登录错误次数限制### 禁用root SSH登录# 编辑SSH配置文件 sudo nano /etc/ssh/sshd_config# 找到…

六安哪家公司做网站好南宁代理记账

在项目开发中。由于qt5.15 升级到qt6.5 不知道因为什么,QWebEngineView 加载出现白屏, 网上大神给的方案 五花八门,没有一个解决问题。 代码 旧代码QWebEngineView* pWebEngineView new QWebEngineView();//pWebEngineView->page()->…

Markdown语法入门三:链接,图片,分隔线与引用

编辑器:obsidian1.链接 常见的操作之一,用于显示网址链接或图片等,可以分为内联链接或者引用链接,一般来说,后者更便于统一管理。 1.1 内联链接 内联链接的格式为:[链接显示文本](URL "悬停时显示文字"…

网站开发 保密期限惠城发布最新通知

表的故障检测和修正的一般过程如下:检查出错的表。如果该表检查通过,则完成任务,否则必须修复出错的数据库表。在开始修复之前对表文件进行拷贝,以保证数据的安全。开始修复数据库表。如果修复失败,从数据库的备份或更…

华为wlan无线配置 - 教程

华为wlan无线配置 - 教程pre { white-space: pre !important; word-wrap: normal !important; overflow-x: auto !important; display: block !important; font-family: "Consolas", "Monaco", &q…

开源 C# 飞快研发(十三)进程--管道通讯

开源 C# 飞快研发(十三)进程--管道通讯2025-10-02 21:39 tlnshuju 阅读(0) 评论(0) 收藏 举报pre { white-space: pre !important; word-wrap: normal !important; overflow-x: auto !important; display: block…

Spring Boot 内置日志框架 Logback - 以及 lombok 介绍 - 教程

pre { white-space: pre !important; word-wrap: normal !important; overflow-x: auto !important; display: block !important; font-family: "Consolas", "Monaco", "Courier New", …

PINN训练新思路:把初始条件和边界约束嵌入网络架构,解决多目标优化难题

PINNs出了名的难训练。主要原因之一就是这个多目标优化问题。优化器很容易找到投机取巧的路径——比如拼命降低微分方程残差,但完全不管初始条件和边界约束。只要给初始条件和边界损失配的权重够低,它们增加的那点损…

微信公众网站开发2345网址导航浏览器

从此记录工作、学习、生活的那些事儿!转载于:https://www.cnblogs.com/alwaysjava/p/4221362.html

Tarjan 算法

Tarjan 算法有向图的强连通分量 SCC 定义:从其中的任意一个节点出发,都能经过其中的所有点,即其中任意两个节点相通。 遍历方式:DFS 序遍历。 有向边分类:树枝边,前向边,后向边,横叉边。 时间戳与追溯值:记 \…

数学章节总结

一、矩阵乘法介绍一个 \(m \times n\) 的矩阵是一个由 \(m\) 行 \(n\) 列元素排列成的矩形阵列。即形如: \[A = \begin{bmatrix} a_{(1,1)} & a_{(1,2)} & \cdots & a_{(1,n)} \\ a_{(2,1)} & a_{(2,…

安徽省建设工程造价管理网站苏州自助建站

在上一篇文章中,我们介绍了jQuery前端PHP在线测试题效果。这篇文章将结合实例给大家介绍如何使用jQueryPHPMySQL来实现在线测试题,包括动态读取题目,答题完毕后台评分,并返回答题结果。查看演示下载资源:1332次 下载资…

运城做网站价格百度关键词热度

目录 一、监督学习 (一)回归 (二)分类 二、无监督学习 聚类 一、监督学习 介绍:监督学习是指学习输入到输出(x->y)映射的机器学习算法,监督即理解为:已知正确答案…

临项交换

知周所众,10月2日是一个学贪心的好日子(不是 写一下学习总结吧 先写一下印象最深的最简单的(其实不然临项交换 临项交换 例题一:排队接水 知周所众,排队接水的正解是把接水时间少的人放在队伍的前面,那么这背后的…

华为设备MSTP - 指南

华为设备MSTP - 指南2025-10-02 21:11 tlnshuju 阅读(0) 评论(0) 收藏 举报pre { white-space: pre !important; word-wrap: normal !important; overflow-x: auto !important; display: block !important; font-f…

CF VP 记录

CF2129 B 因为是排列所以我们可以从小到大考虑每个数。对于一个数,如果不变那么贡献是前面比它大的数个数,如果改变那么贡献是后面比它大的数的个数,取最小值即可。 C 首先我们得找到一个确定的括号,这样我们才可以…

实用指南:Autudl华为昇腾系列NPU简介和部署推理yolo11 yolov8 yolov5目标检测模型

pre { white-space: pre !important; word-wrap: normal !important; overflow-x: auto !important; display: block !important; font-family: "Consolas", "Monaco", "Courier New", …

LabVIEW与PLC 汽车驻车制动自动调整 - 实践

LabVIEW与PLC 汽车驻车制动自动调整 - 实践pre { white-space: pre !important; word-wrap: normal !important; overflow-x: auto !important; display: block !important; font-family: "Consolas", "…