本文整理自bilibili Zomi视频

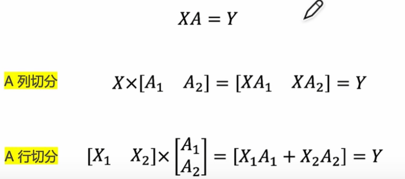
1、行切分和列切分



注意:
(1)A按列切分时,X无需切分,split复制广播到A1和A2对应设备即可。最后Y1和Y2需要拼接下,即All Gather
(2)A按行切分时,X需要按列切分split,最终Y1和Y2需要做All Reduce Sum操作
(3)多次连续矩阵乘,可以把All Gather和Split省略,这个操作是不必要的。
1.1 反向传播

备注:
(1)这个视频中有人提到为什么需要对X进行求导,可以看做X为上一层或上一个模块的输出,要对上一层参数进行求导,就必须要对X求导。
(2)反向传播时,注意是两个设备上X的导数求和
行并行

2、MLP

备注:
(1)经过了两次矩阵乘,A按列切分,算出的Y1和Y2也为按列切分了,故B按行切分即可。
(2)f为copy,g为all reduce
3、Attention

备注:
(1)这里的Q,K,V是按头的个数进行列切分