
文章题目:Predictive model for sarcopenia in chronic kidney disease: a nomogram and machine learning approach using CHARLS data
DOI:10.3389/fmed.2025.1546988
中文标题:慢性肾病肌肉减少症的预测模型:使用 CHARLS 数据的列线图和机器学习方法
发表杂志:Front Med
影响因子:1区,IF=3.1
发表时间:2025年3月
今天给大家分享一篇在 2025年3月发表在《Front Med》(1区,IF=3.1)的文章。本研究旨在利用从中国健康与退休纵向研究 (CHARLS) 获得的数据,创建和评估 CKD 患者肌肉减少症风险的预测模型。
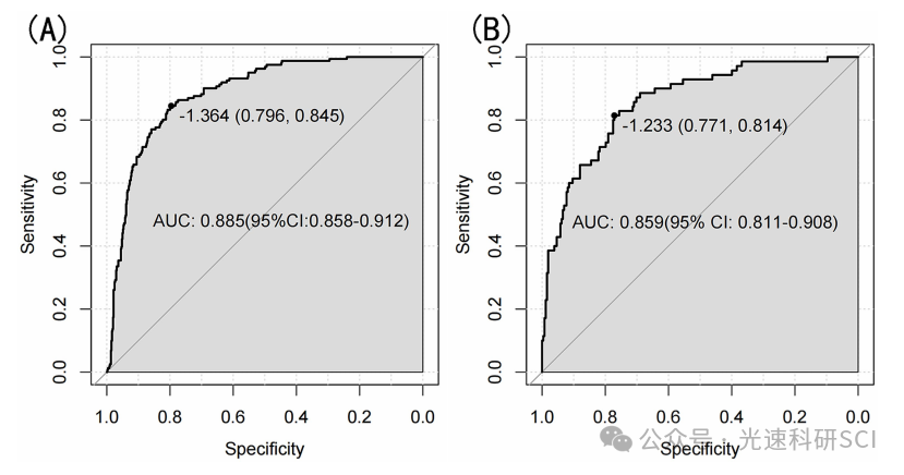
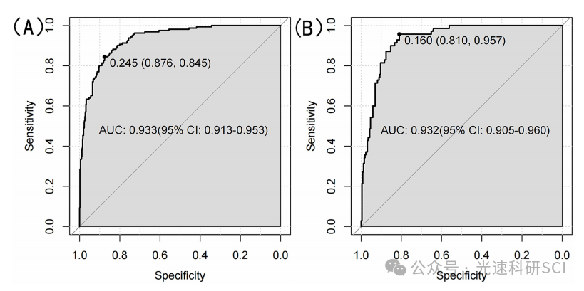
研究方法:肌肉减少症是根据亚洲肌肉减少症工作组(AWGS 2019) 标准诊断的,包括肌肉力量低、身体机能下降和肌肉质量低。2015 年 CHARLS 数据被随机分为训练集 (70%) 和测试集 (30%)。分析了 49 个变量,包括社会人口统计学、行为、健康状况和生化因素。LASSO 回归确定了最相关的预测因子,并使用 logistic 回归模型来探索与肌肉减少症相关的因素。开发了用于风险预测的列线图。使用校准曲线评估模型准确性,而通过受试者工作特征 (ROC) 和决策曲线分析 (DCA) 评估预测性能。使用了四种机器学习算法,最佳模型进行超参数优化以评估预测因素的重要性。
Table&Figure










结果解读:共纳入1,092 例 CKD 患者,其中 231 例 (21.2%) 诊断为肌肉减少症。多因素 logistic 回归分析显示,年龄、腰围、LDL-C 、 HDL-C 、 甘油三酯和舒张压是重要的预测因素。这些因素用于构建列线图。预测模型在训练集中的 AUC 为 0.886 (95% CI: 0.858-0.912),在验证集中的 AUC 为 0.859 (95% CI: 0.811-0.908)。校准曲线显示预测结果和实际结果之间具有良好的一致性。ROC 和 DCA 分析证实了该模型强大的预测性能。梯度提升机 (GBM) 的性能优于其他机器学习模型。将贝叶斯优化应用于 GBM 在训练集上实现了 0.933 (95% CI: 0.913-0.953) 的 AUC,在验证集上实现了 0.932 (95% CI: 0.905-0.960) 的 AUC。SHAP 值确定年龄和腰围是影响最大的因素。
结论:列线图为预测CKD 患者的肌肉减少症提供了可靠的工具。GBM 模型表现出很强的预测准确性,将其定位为该人群临床风险评估和管理肌肉减少症的宝贵工具。
大家在科研路上,可以借鉴这种研究方法,为自己的课题添砖加瓦。万层高楼平底起,一起加油呀!