本期关键词:采样加速、DDIM 推导、可控性提升、伪逆过程、代码实战
前情回顾:DDPM 的采样瓶颈
在前几期中,我们构建了一个完整的 DDPM 生成流程。但是你可能已经发现:
生成一张图像太慢了!!!
原因是:
DDPM 要在 T 个时间步中一步步地去噪,从 x_T → x_0。而通常 T 至少为 1000,采样一次就意味着 1000 次前向推理,非常耗时!
目标:更快的采样方法!
本期,我们引入一种“非随机”的采样机制 —— DDIM(Denoising Diffusion Implicit Models)。
它能在 保留图像质量的同时,将采样步骤从 1000 步减少到几十步!
比如 T=1000 → 50,加速 20 倍+
数学推导:DDIM 与 DDPM 的关系
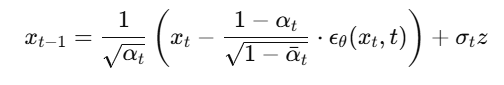
DDPM 复习公式
我们知道在 DDPM 中,每一步的去噪过程是:

其中 z 是随机噪声。DDIM 做的事就是: