图像锐化

图像细节增强
图像轮廓:灰度值陡然变化的部分
空间变化:计算灰度变化程度
图像微分法:微分计算灰度梯度突变的速率
一阶微分:单向差值
二阶微分:双向插值
一阶微分滤波
1:梯度法
梯度:

梯度向量的模:

图像f(x,y)的梯度图像:

右侧和下侧的梯度
2:罗伯茨Roberts梯度法

主对角线和次对角线的梯度
3:索博尔Sobel算法

常数 c = 2
4:蒲瑞维特Prewitt算法

常数 c = 1
else:
平方根运算 => 绝对差分算法

某像素上的梯度值是该像素与相邻像素的灰度差值的单调递增函数
【1】轮廓区域,梯度值大
【2】平缓区域,梯度值小
【3】等灰度区域,梯度值 = 0
二阶微分滤波
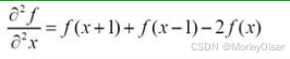
1:拉普拉斯算法(二阶差分)

拉普拉斯滤波器:

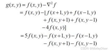
拉普拉斯的简化增强过程:利用原始图像减去拉普拉斯处理图像

简化滤波器:

2:LoG算法(拉普拉斯高斯)
原始图像经Gaussian平滑然后锐化,即等价于5×5 拉普拉斯高斯模板

锐化图像的表示
1:微分图像直接输出(梯度值)

2:背景保留,轮廓取梯度值

T:阈值(非负数)
3:背景保留,轮廓取单一灰度值

4:背景取单一灰度值、轮廓取梯度值

5:轮廓、背景分别取单一灰度值(二值化)


锐化与边缘特征
边缘:人眼可以重构物体的重要信息
图像边缘:识别物体存在并检测的重要依据
边缘特征:灰度或亮度突变
理想边缘:具有方向性的阶跃函数
真实边缘:缓慢变化的模糊的阶跃
在理想阶跃函数中:一阶微分的峰值位于边缘处,二阶微分的过零值位于边缘处

反锐化掩模法(USM)

参数解释:
C为常数,C > 1
:人为方法模糊的图像,可用均值滤波计算
g(x,y):最终的掩模模板
案例:当C = 9时

图像锐化的总结
一阶微分法锐化:形成较细的边缘
二阶微分法锐化:对线条等细节有较强的响应
一阶微分锐化:对灰度梯度变化具有较强的相应
二阶微分锐化:对灰度级有二次响应
纯粹二阶的导数操作中,会出现对噪声的敏感现象
解决的方法:先对图像进行平滑滤波,消除部分噪声,再进行边缘检测
图像平滑
均值滤波器的缺点:会使图像变模糊
原因:在将噪声点分摊的同时,将景物的边界点也分摊
图像滤波器的组合应用
平滑滤波:使图像模糊,噪声或细节得到抑制
锐化滤波:使图像边缘细节增强,噪声放大
组合法图像增强的评价:
【1】响应灰度范围:对边缘灰度变化梯度、线条等细节有响应,但是对噪声点有抑制或者去除的作用
【2】响应位置:对边缘等能够尽可能的逼近,最好能形成只有一个像素的边缘线条
滤波器或者卷积模板尺寸,导致图像边界像素信息缺失
(1)忽略像素像
(2)填充图像
(3)复制边界像素
(4)图像截断
(5)允许图像环绕像素
(6)就近补位