摘要:本文涵盖多方面 Linux 命令的使用。包括用户与用户组管理,创建用户和组并设置权限;目录结构操作,涉及创建和更改目录结构;Vim 编辑器及文件归档,有文件创建、编译、合并、打包等任务。
更多优质文章 -------------》✍✈✉点我
案例一:公司部门组织架构有所调整,因此需要在后台对相关数据信息进行一些修改。需要安排小李、小王和小张同时登录服务器完成几个调整部门的数据修改 维护工作,并为他们3人各分配一个用户账号,分别为test1、test2、test3,且将 3 人添加到一个用户组temp。由于更改数据时需要比较大的权限,要求提升小李、 小王和小张3个用户账号拥有sudo权限,可以执行除rm命令之外的任何命令 (/etc/sudoers)。
①创建用户
useradd test1  
useradd test2 
useradd test3②添加用户组
groupadd temp 
cat /etc/group 查看组 
gpasswd -a test1 temp 添加组 
gpasswd -a test2 temp 
gpasswd -a test3 temp 
cat /etc/group 查看组③ 设置sudo权限(不能使用rm命令)
首先输入sudo visudo,进入如下图的窗口 ,在root用户下方添加命令

temp ALL=(ALL) NOPASSWD: ALL, !/bin/rm, !/usr/bin/rm 
--------------测试---------------
su – test1 切换用户 
sudo ls  成功 
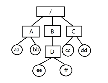
sudo rm somefile  失败,显示权限被拒绝案例二:使用linux命令操作并更改目录结构 (图中方框表示目录,圆圈表示文件)
 
 
创建如上图的目录结构的linux命令如下
mkdir m  ---根目录代替/
mkdir m/A m/B m/C m/B/D 
cd m/A 
touch aa 
touch bb 
cd .. --多次操作直到起始目录 
cd m/B/D 
touch ee 
touch ff 
cd .. 直到起始目录 
cd m/C 
touch cc 
touch dd
tree m/ ----查看结构将上图的目录结构改为下图的目录结构
 
 
mv m/B/D/ee m/A 
mv m/B/D/ff m/C 
cd m/C 
rm dd 
cd ~ 
rm -r /root/m/B/D 
rm -r /root/m/B 
tree m/ 案例三:Vim编辑器的使用和文件归档操作 ,使用root在其主目录下创建一个workspace目录,使 用vim编辑器创建并编辑一个能输出“Hello World”的C程序hello.c,复制 hello.c 到当前目录下并重命名为welcome.c,修改其内容能够编译输 出”Welcome World”。
mkdir /root/workspace  
cd /root/workspace  
vim hello.c 
在vim中输入以下内容: 
#include <stdio.h> 
int main() { 
printf("Hello World\n"); 
return 0; 
} 
ESC :wq 使用gcc工具把hello.c和welcome.c编译链接生成hello和 welcome 可执行文件,运行可执行文件。
gcc hello.c -o hello  
gcc welcome.c -o welcome  
./hello  
./welcome  合并hello.c 和welcome.c 到hw.c,查看hw.c字符数数以及查找 输出包含“Hello”的行以及行号。
cat hello.c welcome.c > hw.c 
wc -c hw.c 
grep -n "Hello" hw.c 打包并压缩workspace目录生成workspace.tar.bz文件。
tar -cjvf workspace.tar.bz /root/workspace 更多干货
--------------------- - -----✈---------   ---------✈--------------------✈-------
 1.如果我的博客对你有帮助或你喜欢我的博客内容,请 “👍点赞” “✍️评论” “★收藏” 一键三连哦!
2.❤️【👇🏻👇🏻👇🏻关注我| 获取更多源码 | 优质文章】 带您学习各种前端插件、3D炫酷效果、图片展示、文字效果、以及整站模板 、HTML模板 、微信小程序模板 、等! 「在这里一起探讨知识,互相学习」!
3.以上内容技术相关问题✉欢迎一起交流学习 ☟   ☟   ☟
 ————————————————