目录
1. 前言
2. LSTM的基本原理
2.1 LSTM基本结构
2.2 LSTM的计算过程
3. LSTM实例:预测序列的未来
3.1 数据准备
3.2 模型构建
3.3 模型训练
3.4 模型预测
3.5 完整程序预测序列的未来
4. 总结
1. 前言
在深度学习领域,循环神经网络(RNN)是处理序列数据的重要工具。然而,传统的RNN在处理长序列时常常会遇到梯度消失或梯度爆炸的问题,导致模型无法有效学习长期依赖关系。为了解决这一问题,长短期记忆神经网络(LSTM)应运而生。LSTM通过引入特殊的结构设计,能够有效地捕获序列数据中的长期依赖关系,因此在自然语言处理、时间序列预测等领域取得了显著的成果。
LSTM在许多序列数据处理任务中表现出色,包括但不限于:
-
自然语言处理:文本生成、机器翻译、情感分析等。
-
时间序列预测:股票价格预测、天气预报等。
-
语音识别:将语音信号转换为文字。
-
视频分析:动作识别、场景理解等。
如果没有RNN的基础,可以去看这篇博客,
《循环神经网络(RNN)基础入门与实践学习:电影评论情感分类任务》
2. LSTM的基本原理
2.1 LSTM基本结构
传统的RNN在处理长序列时,梯度会随着序列长度的增加而逐渐消失或爆炸。这种现象使得RNN难以学习到序列中的长期依赖关系。例如,在处理一段较长的文本时,RNN可能无法将开头的信息有效传递到结尾,导致模型性能受限。
LSTM通过引入门控机制(gate mechanism)解决了这一问题。门控机制可以控制信息的流动,决定哪些信息应该被保留,哪些信息应该被遗忘,从而有效地捕获长期依赖关系。
LSTM的核心结构包括三个门:
-
遗忘门(Forget Gate):决定哪些信息应该被遗忘。
-
输入门(Input Gate):决定哪些新信息应该被存储到单元状态中。
-
输出门(Output Gate):决定哪些信息应该被输出。
此外,LSTM还有一个单元状态(Cell State),用于在时间步之间传递和存储信息。
在实际中,其整体结构如下:

其中蓝色小球里面存放的就是门控结构的神经元 。
2.2 LSTM的计算过程
这里讲的是上图中的蓝色小球内部结构。
在每个时间步,LSTM根据输入数据和前一时刻的隐藏状态,计算三个门的值,并更新单元状态和隐藏状态。具体计算过程如下:
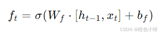
-
遗忘门:

其中,ft 是遗忘门的输出,σ 是sigmoid激活函数,Wf 和 bf 是权重和偏置,ht−1 是前一时刻的隐藏状态,xt 是当前时刻的输入。
-
输入门:

其中,it 是输入门的输出,C~t 是候选单元状态。
-
单元状态更新:

其中,Ct 是更新后的单元状态。
-
输出门:

其中,ot 是输出门的输出,ht 是当前时刻的隐藏状态。
为了更方便理解,其结构图如下:

从左往右依次为遗忘门,输入门,输出门。
3. LSTM实例:预测序列的未来
3.1 数据准备
我们以一个简单的时间序列预测任务为例,预测未来某个时间点的值。首先生成一些模拟数据:
import numpy as np
import matplotlib.pyplot as plt
from keras.models import Sequential
from keras.layers import LSTM, Dense# 生成模拟数据
def generate_data(sequence_length=1000):x = np.linspace(0, 50, sequence_length)y = np.sin(x) + 0.1 * np.random.randn(sequence_length)return y# 准备训练数据
def prepare_data(data, window_size=50):X, y = [], []for i in range(len(data) - window_size):X.append(data[i:i+window_size])y.append(data[i+window_size])return np.array(X), np.array(y)# 生成数据
data = generate_data()
window_size = 50
X, y = prepare_data(data, window_size)# 划分训练集和测试集
split = int(0.8 * len(X))
X_train, X_test = X[:split], X[split:]
y_train, y_test = y[:split], y[split:]# 数据形状调整
X_train = np.reshape(X_train, (X_train.shape[0], X_train.shape[1], 1))
X_test = np.reshape(X_test, (X_test.shape[0], X_test.shape[1], 1))
3.2 模型构建
使用Keras构建一个简单的LSTM模型:
# 构建LSTM模型
model = Sequential()
model.add(LSTM(50, return_sequences=True, input_shape=(window_size, 1)))
model.add(LSTM(50))
model.add(Dense(1))
model.compile(optimizer='adam', loss='mean_squared_error')# 打印模型结构
model.summary()
-
window_size=50:每个样本包含 50 个时间步。 -
输入数据的形状为
(样本数, 50, 1)。 -
第一个 LSTM 层的输出形状为
(样本数, 50, 50),因为:-
每个时间步输出 50 个特征(由 50 个神经元生成)。
-
return_sequences=True,所以输出了所有 50 个时间步的特征。
-
如果后续还有一个 LSTM 层,则第二个 LSTM 层的输入形状为 (50, 50)(每个时间步有 50 个特征)。
3.3 模型训练
训练模型并记录训练过程:
# 训练模型
history = model.fit(X_train, y_train, epochs=20, batch_size=32, validation_split=0.2)# 绘制训练损失和验证损失
plt.figure(figsize=(10, 6))
plt.plot(history.history['loss'], label='Training Loss')
plt.plot(history.history['val_loss'], label='Validation Loss')
plt.title('Training and Validation Loss')
plt.xlabel('Epochs')
plt.ylabel('Loss')
plt.legend()
plt.show()
3.4 模型预测
使用训练好的模型进行预测,并可视化结果:
# 预测
predictions = model.predict(X_test)# 绘制真实值和预测值
plt.figure(figsize=(12, 6))
plt.plot(y_test, label='True Values')
plt.plot(predictions, label='Predictions')
plt.title('True Values vs. Predictions')
plt.xlabel('Time Steps')
plt.ylabel('Values')
plt.legend()
plt.show()
3.5 完整程序预测序列的未来
完整程序如下方便调试:
import numpy as np
import matplotlib.pyplot as plt
from keras.models import Sequential
from keras.layers import LSTM, Dense
import osos.environ['TF_ENABLE_ONEDNN_OPTS'] = '0'# 生成模拟数据
def generate_data(sequence_length=1000):x = np.linspace(0, 50, sequence_length)y = np.sin(x) + 0.1 * np.random.randn(sequence_length)return y# 准备训练数据
def prepare_data(data, window_size=50):X, y = [], []for i in range(len(data) - window_size):X.append(data[i:i+window_size])y.append(data[i+window_size])return np.array(X), np.array(y)# 生成数据
data = generate_data()
window_size = 50
X, y = prepare_data(data, window_size)# 划分训练集和测试集
split = int(0.8 * len(X))
X_train, X_test = X[:split], X[split:]
y_train, y_test = y[:split], y[split:]# 数据形状调整
X_train = np.reshape(X_train, (X_train.shape[0], X_train.shape[1], 1))
X_test = np.reshape(X_test, (X_test.shape[0], X_test.shape[1], 1))# 构建LSTM模型
model = Sequential()
model.add(LSTM(60, return_sequences=True, input_shape=(window_size, 1)))
model.add(LSTM(50))
model.add(Dense(1))
model.compile(optimizer='adam', loss='mean_squared_error')# 打印模型结构
model.summary()# 训练模型
history = model.fit(X_train, y_train, epochs=20, batch_size=32, validation_split=0.2)# 绘制训练损失和验证损失
plt.figure(figsize=(10, 6))
plt.plot(history.history['loss'], label='Training Loss')
plt.plot(history.history['val_loss'], label='Validation Loss')
plt.title('Training and Validation Loss')
plt.xlabel('Epochs')
plt.ylabel('Loss')
plt.legend()
plt.show()# 预测
predictions = model.predict(X_test)# 绘制真实值和预测值
plt.figure(figsize=(12, 6))
plt.plot(y_test, label='True Values')
plt.plot(predictions, label='Predictions')
plt.title('True Values vs. Predictions')
plt.xlabel('Time Steps')
plt.ylabel('Values')
plt.legend()
plt.show()
4. 总结
长短期记忆神经网络(LSTM)是一种强大的序列建模工具,能够有效地捕获长期依赖关系。通过引入遗忘门、输入门和输出门,LSTM解决了传统RNN在处理长序列时的梯度消失问题。在本文中,我们详细介绍了LSTM的基本原理和结构,并通过一个时间序列预测的实例展示了如何使用Keras实现LSTM模型。
尽管LSTM在许多任务中表现出色,但它也有一些局限性,例如计算复杂度较高、训练时间较长等。随着深度学习技术的发展,许多改进的变体(如GRU、双向LSTM等)也逐渐被提出。在实际应用中,选择合适的模型需要根据具体任务和数据特点进行权衡。我是橙色小博,关注我,一起在人工智能领域学习进步。