




第一个min:先在数据中找离决策边界距离最近的样本点
第二个max:寻找w和b使得刚才找到的点离决策边界最远的平面(平面方程:
)





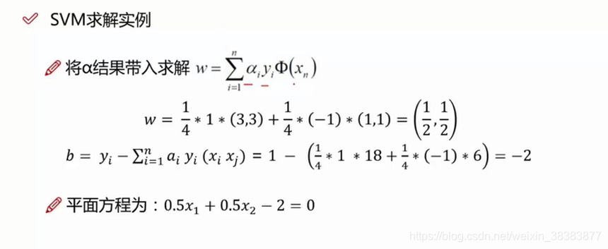
求解出后即可求出w和b。
例如:




如果等于0.根据上面的公式,得到w就为0.即样本没用。对最终结果不会有任何有影响。
如果不等于0,的样本点。边界上的样本
必然是非零的。非边界上的点
必然为零。
对应非零的样本点即为支持向量。



此处当C很大时,必须让松弛因子很小使得整个式子变小。即分类要求严格
当C很小时,松弛因子就可以稍微变大一些。即分类要求不严格




高斯核函数就是将低维转换为高维