数据操作
1、 创建数组:形状、数据类型、数据值
2、 访问元素:[1, 2] 访问第二行第三列
[1, :] 访问第二行
[1:3, 1:] 子区域:第二行至第四行前一行到第二列之后所有
[::3, ::2] 子区域:每三行一跳 第零、三…行拿出; 第零、二…列拿出
两个点表示跳转







元素访问





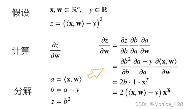
自动求导





数据操作
1、 创建数组:形状、数据类型、数据值
2、 访问元素:[1, 2] 访问第二行第三列
[1, :] 访问第二行
[1:3, 1:] 子区域:第二行至第四行前一行到第二列之后所有
[::3, ::2] 子区域:每三行一跳 第零、三…行拿出; 第零、二…列拿出
两个点表示跳转







元素访问





自动求导





本文来自互联网用户投稿,该文观点仅代表作者本人,不代表本站立场。本站仅提供信息存储空间服务,不拥有所有权,不承担相关法律责任。如若转载,请注明出处:http://www.mzph.cn/news/564654.shtml
如若内容造成侵权/违法违规/事实不符,请联系多彩编程网进行投诉反馈email:809451989@qq.com,一经查实,立即删除!