信号与系统 傅里叶变换 拉普拉斯变换 z变换所有公式和性质 三个变换的联系 整理

这是我考研整理的笔记。基本上涵盖了信号与系统三大变换所有重要的公式。

1.傅里叶变换

在这里插入图片描述
在这里插入图片描述

在这里插入图片描述

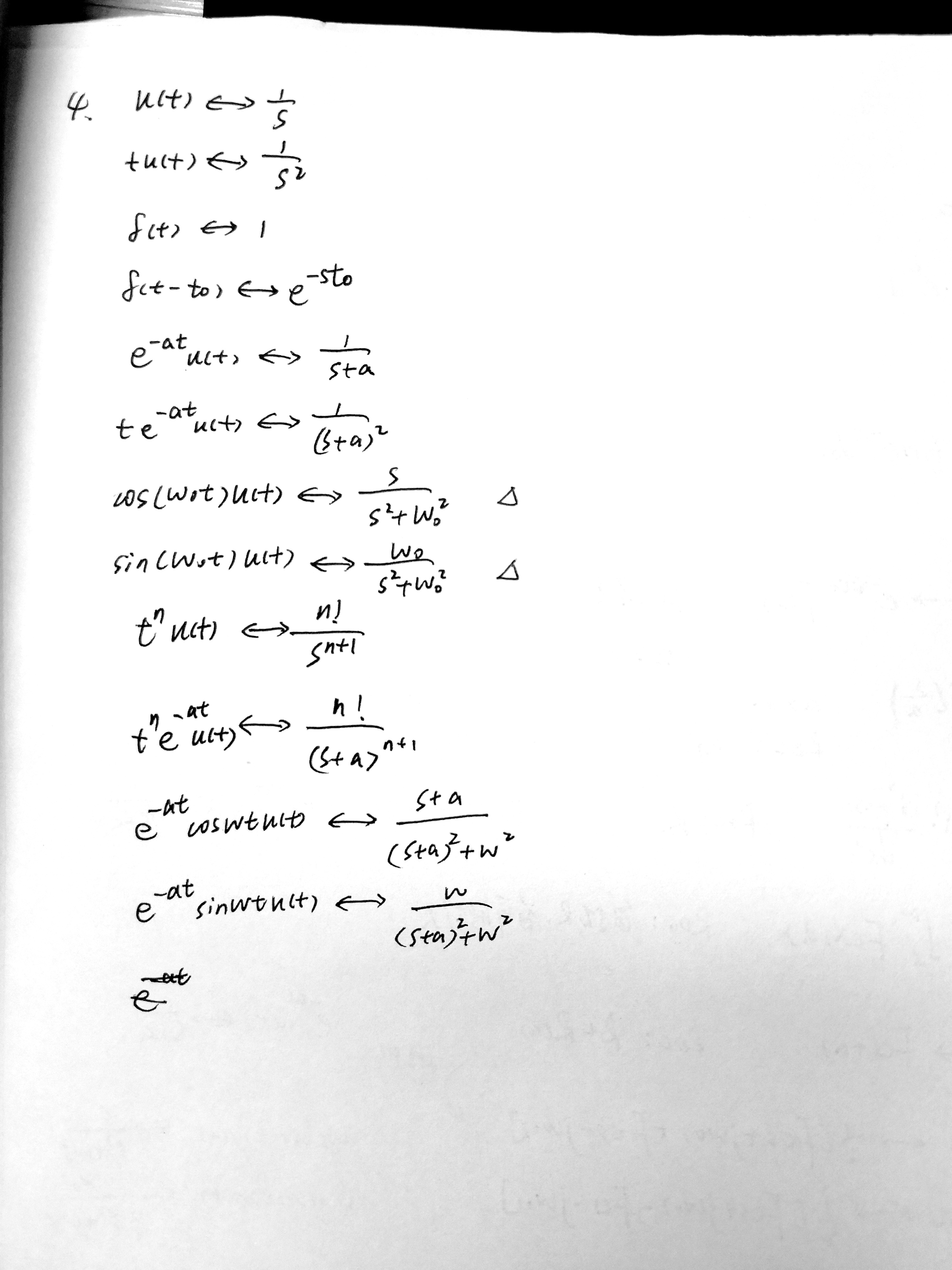
2.拉普拉斯变换

在这里插入图片描述

在这里插入图片描述

3.Z变换

在这里插入图片描述
在这里插入图片描述

4.三大变换的关系

在这里插入图片描述

本文来自互联网用户投稿,该文观点仅代表作者本人,不代表本站立场。本站仅提供信息存储空间服务,不拥有所有权,不承担相关法律责任。如若转载,请注明出处:http://www.mzph.cn/news/560329.shtml

如若内容造成侵权/违法违规/事实不符,请联系多彩编程网进行投诉反馈email:809451989@qq.com,一经查实,立即删除!

相关文章

html表格支持响应,将表格响应转换为HTML表格

我试图将Fusion Table SQL响应转换为基本的HTML表格。这既适用于搜索引擎饲料,也适用于谷歌电子表格和它们的importhtml功能。将表格响应转换为HTML表格打开反应到表中的foreach都是一次调高一些不寻常的反应,就像1个字符?此外,答…

c语言内存分配与释放 不同类别变量的内存分配和释放的区别

1.不同变量使用内存的区别 静态存储类别的变量:内存数量在编译时确定,程序开始执行时创建,程序结束时销毁。(static、const)自动存储类别的变量:程序进入变量定义所在块时存在,离开块时销毁。新创建的变量按顺序加入内…

学计算机的一开学叫要带电脑吗,大一新生开学需要带电脑吗?辅导员给出建议,学生需提前了解...

高考已经落下帷幕,学生们在等待成绩的这段时间,可以适当的放松一些。其实考试成绩还未出来之前,很多同学心里都有底了。所以也开始考虑自己想要报考的专业与院校,甚至有些学生已经开始准备自己上大学需要带的各种用品。很多学生在…

方阵循环右移

题目 练习7-8 方阵循环右移 (20 分) 本题要求编写程序,将给定nn方阵中的每个元素循环向右移m个位置,即将第0、1、⋯、n−1列变换为第n−m、n−m1、⋯、n−1、0、1、⋯、n−m−1列。 输入格式: 输入第一行给出两个正整数m和n(1≤…

奥鹏17计算机应用基础离线,奥鹏《计算机应用基础》离线

期末作业考核《计算机应用基础》满分 100分一、判断对错(每小题1分,共10分)(√)1.冯.诺依曼提出的计算机体系结构奠定了现代计算机的结构理论基础。()2.DOS操作系统是一个单用户多任务操作系统。(√)3.没有装配软件系统的计算机不…

计算机专业对口升学模拟试题,2010对口升学模拟试题计算机专理论综合

对口升学模拟试题计算机专理论综合专业 计 算 机 学号 姓名 班级________________ 密 封 线2010年隆回九中计算机专业对口升学模拟试题计算机专业综合试题分第Ⅰ卷(选择题)和第Ⅱ卷(非选择题)两部分。满分390分,考试时间150分钟。第Ⅰ卷(选择题 共130分)注意事项&am…

c语言使用指针在被调函数中改变主调函数的变量 地址运算符 间接运算符

1.指针 用于存储变量的地址 指针是一个值为内存地址的变量。 2.&运算符(地址运算符) &后跟一个变量名,给出变量的地址 &a,表示变量a的地址3.*运算符(间接运算符/解引用运算符) *后跟一个指针名或地址,给出存储在指针指向地…

西电计算机学院导师苗启广,Xidian Media Lab

西电媒体实验室首位博士生简萌顺利通过博士学位论文答辩2015年11月27日上午,西电媒体实验室博士学位论文答辩会在北校区科技楼A301B会议室举行,郑喆坤教授指导的首位博士生简萌顺利通过博士学位论文答辩。本次答辩委员会主席由西北工业大学自动化学院副院…

C语言程序设计基础练习题

PTA上C语言程序设计练习题,包含 换硬币、水仙花数、最大公约数最小公倍数、高空坠球、猴子吃桃、兔子繁衍、出租车计价、三角形判断、简单计算器、平面向量加法。 这些题需要一些细节或思维。 1.换硬币: 习题4-5 换硬币 (20 分) 将一笔零钱换成5分、2…

使用zigbee的协议栈进行协调器路由器终端初始化

实验目的: 使用协议栈,外加自己写的数码管的代码模块 配置协调器路由器终端,各自对应数码管数字C,R,E。 本身不是很细致,只是把一些重要步骤截了一下,IAR工程什么的默认大家都会了。 zigbee协议栈的下载 下载完找以下文件夹 找…

工程用计算机是什么样子的,【2人回答】学软件工程的应该买什么样的处理器电脑?-3D溜溜网...

回答:1、荣耀MagicBook Pro 2020:,荣耀MagicBook Pro 2020还搭载了MX350独显,MX350基于同GTX 1050一样的GP107核心,让笔记本具备了一定的游戏能力,学习、办公之余的游戏场景也可以从容应对,编程…

zigbee无线通信数码管实验、usbDongle抓包、发字符串

文章目录无线通信数码管实验无线通信抓包usbDongle无线通信发字符串:无线通信数码管实验 给一个模块下载发送程序,模块数码管变为1,说明该模块已成为发送模块。 给一个模块下载接收程序,模块数码管变为2,说明该模块已…

计算机安全加固自动检查,Windows主机安全加固检查列表.doc

第 PAGE 13 页 共 NUMPAGES 13 页目 录TOC \o "1-3" \h \z \u HYPERLINK \l "_To 1账户管理 PAGEREF _To\h 3HYPERLINK \l "_To 1.1用户管理 PAGEREF _To\h 3HYPERLINK \l "_To 1.2弱口令修改 PAGEREF _To\h 3HYPERLINK \l "_To 1.3密码策略 PAG…

zigbee协议栈的系统相关函数的使用 仿照协议栈写事件

文章目录1.osal_set_event函数的使用2.osal_start_timerEx函数,数码管变成c,两秒钟以后,灯点亮。3.我们能不能自己添加一个事件而不用GENERICAPP_SEND_MSG_EVT事件。主要就是通过这个实验知道了:怎么在初始化时候干一些事情那些函…

老年人自学计算机,老年人怎样学电脑?请问从网上能找到学习资吗?

首先学一些基础的知识,这样入门之后其他的就好说了!推荐一些基础性的知识:计算机基础可以分为硬件和软件硬件:主板、CPU、硬盘、内存、显卡、机箱电源、鼠标键盘、光驱、音响等软件:WINDOWS系统、OFFICE等一般基本工具…

zigbee上位机通过vs2019的mfc实现

文章目录一、操作系统和输入输出设备的联系二、应用程序和操作系统的联系三、zigbee上位机具体实现结果:四、实现上位机的具体流程:五、通过windows API实现串口通信的原理:一、操作系统和输入输出设备的联系 操作系统能操纵输出设备执行特定…

网上读书关于软件测试,【读书笔记】之软件测试

1.引论1.1 什么是软件测试软件测试主要是对制作的软件产品进行检查和测试,及时地发现程序中的故障和逻辑错误,以保障软件产品的可靠性。软件测试是保证软件质量的关键步骤,也是提高软件可靠性的重要手段,因此它是软件工程的的重要…

matlab guide 自定义右键菜单

在一个gui图形显示界面上点击右键,出现一些选项可以进行操作。 实验效果: 找到菜单编辑器的上下文菜单: 我们看几个回调函数即可: function clear_Callback(hObject, eventdata, handles) cla; function gridoff_Callback(hObj…

计算机活动感悟怎么写,计算机教学心得体会范文五篇.doc

计算机教学心得体会范文五篇计算机教学心得体会范文五篇【一】一、开卷有益,爱不释手然而,在我参加了第一次培训,我就发现自己错了,此次的电脑培训与以前参加过的培训大相径庭。以前的培训都是应付考试的,实用性不强&a…

Java一些基础知识的整合

文章目录1. 数据类型、变量与常量1.1基本数据类型(primitive types)1.1.1 boolean1.1.2字符型1.1.2.1 转 义 字 符 含 义1.1.3整数类型1.1.4 浮点类型1.2引用类型( reference types )1.3 基本数据类型和引用类型区别1.4 标识符( Identifier&a…