机器学习-感知机【perceptron】
- what is 感知机
- 单层感知机运用实例
- 多层感知机
what is 感知机
感知机接收多个输入信号,输出一个信号。
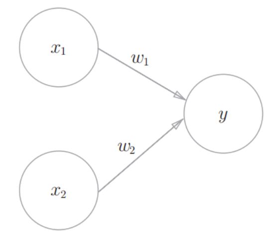
接收两个信号的感知机,如下图:

x1与x2是输入信号;y是输出信号;
w1与w2是权重。圆圈O代表”神经元”或者”节点”。
神经元被激活:当x1w1+x2w2超过某个界限值时,y才会输出1。
阈值:这里将界限值称为阈值,用θ符号表示。
权重越大,对应该权重的信号的重要性就越高。
由此可以得到感知机的一种数学表示方法:

感知机的另一种数学表示方法:

上式的b称为偏置。感知机计算输入信号和权重的乘积,然后加上偏置,这个值大于0则输出1,否则输出0。
单层感知机运用实例
使用感知机可以实现与、或、与非门。
首先与门,两个都是1,才输出1:
import numpy as npdef AND(x1, x2):x = np.array([x1, x2])w = np.array([0.5, 0.5])b = -0.7tmp = np.sum(w*x) + bif tmp <= 0:return 0else:return 1if __name__ == '__main__':for xs in [(0, 0), (1, 0), (0, 1), (1, 1)]:y = AND(xs[0], xs[1])print(str(xs) + " -> " + str(y))
输出结果:
(0, 0) -> 0
(1, 0) -> 0
(0, 1) -> 0
(1, 1) -> 1
然后是或门,两个输入只要有一个是1,就输出1.
import numpy as npdef OR(x1, x2):x = np.array([x1, x2])w = np.array([0.5, 0.5])b = -0.2tmp = np.sum(w*x) + bif tmp <= 0:return 0else:return 1if __name__ == '__main__':for xs in [(0, 0), (1, 0), (0, 1), (1, 1)]:y = OR(xs[0], xs[1])print(str(xs) + " -> " + str(y))
输出结果:
(0, 0) -> 0
(1, 0) -> 1
(0, 1) -> 1
(1, 1) -> 1
最后是与非门,就是把与的结果取反:
import numpy as npdef NAND(x1, x2):x = np.array([x1, x2])w = np.array([-0.5, -0.5])b = 0.7tmp = np.sum(w*x) + bif tmp <= 0:return 0else:return 1if __name__ == '__main__':for xs in [(0, 0), (1, 0), (0, 1), (1, 1)]:y = NAND(xs[0], xs[1])print(str(xs) + " -> " + str(y))
输出结果:
(0, 0) -> 1
(1, 0) -> 1
(0, 1) -> 1
(1, 1) -> 0
由上面的例子我们可以看出,与、或、与非门是具有相同构造的感知机,区别只在于权重w和偏置b的值不同。
多层感知机
首先来看一下异或逻辑的真值表:
| 输入x1 | 输入x2 | 输出Y |
|---|---|---|
| 0 | 0 | 0 |
| 0 | 1 | 1 |
| 1 | 0 | 1 |
| 1 | 1 | 0 |
将他们标在平面坐标系中可发现,任何直线也不能把两类样本分开。

单层感知机的数学表示方法如下:

它的几何意义:w2x1+w2x2+b=0是一条直线,这条直线分割开两个空间,其中一个空间输出1,另一个空间输出0 。
也就是说通过单层感知机,无法把异或逻辑的两类样本分开。
单层感知机只能表示由一条直线分割的空间;非线性空间:曲线分割成的空间。
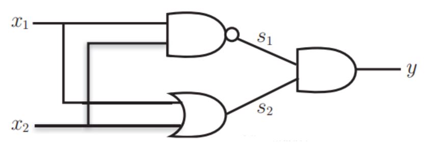
之前已经用单层感知机实现了与门、与非门、或门,那么实现异或门的话,可以把前面那几个门叠加起来。
x1,x2表示输入,s1表示与非门的输出,s2表示或门的输出,y表示与门的输出

通过观察x1、x2、y的值,发现,符合异或门的输出。
实现异或门的代码:
from and_gate import AND
from or_gate import OR
from nand_gate import NANDdef XOR(x1, x2):s1 = NAND(x1, x2)s2 = OR(x1, x2)y = AND(s1, s2)return yif __name__ == '__main__':for xs in [(0, 0), (1, 0), (0, 1), (1, 1)]:y = XOR(xs[0], xs[1])print(str(xs) + " -> " + str(y))
输出结果:
(0, 0) -> 0
(1, 0) -> 1
(0, 1) -> 1
(1, 1) -> 0
由上述可知,通过叠加层,感知机能进行更加灵活的表示。如果说通过组合与非门可实现计算机,那么通过组合感知机也可以表示计算机。
已有研究证明,2层感知机可以表示任意函数,但是不容易设计合适的权重和构造。通常用小模块叠加的方法来构造,就比如上面的先实现与门、或门、与非门,再叠加起来实现异或门。