双极型三极管共集电极、共基极放大电路
- 本文介绍的定义
- 共集电极放大电路
- 共基极放大电路
 
本文介绍的定义
双极型三极管放大电路的接法、共集电极放大电路、射极跟随器、带负载能力、共基极放大电路、改善频率响应。
共集电极放大电路
接法:根据输入信号与输出信号公共端的不同,双极型三极管放大电路有三种接法(组态),共射、共集和共基。
共集电极放大电路如下图所示,输出信号从发射极引出,也称为射极输出器。这个共集电极和共射不一样的地方就是输出端是在发射极引出,这就导致动态分析时,Vcc那个引脚是相当于接地,但是此时可以用一个大小为βIb的恒流源来代替三极管。这个电流源是一个受控电流源,体现了基极电流ib对集电极电流ic的控制作用(Ib是个输入、Ie是个输出)。这样就明白下图b的等效电路了,图b其实是把图a上下颠倒了一下。这时候为什么是共集电极就知道了,因为集电极接了地。

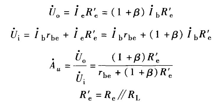
静态分析:静态分析里面和共射极放大电路相比其实就是多了个Re。

动态分析:
电流放大倍数:

电压放大倍数:电压放大倍数恒小于1、接近1,输入电压与输出电压同相,称为射极跟随器(电压跟随)。

输入电阻:不考虑Rb则为:可知输入电阻提高了

考虑Rb则为:

输出电阻:当Us=0且不考虑Re,可得等效电路:

由下面公式可知,射极输出器的输出电阻等于基极回路的总电阻除以1+β,因此输出电阻很低,带负载能力比较强。


综上所述,共集电极电路特点是电压跟随、输入电阻很高、输出电阻很低,常被用作多级放大电路的输入级,减小对被测电路的影响,提高测量的精度;作为输出级,如果输出端是一个变化的负载,为了在负载变化时保证放大电路的输出电压比较稳定,要求放大电路具有很低的输出电阻;作为隔离用的中间级,减小前后两级之间的相互影响,起隔离作用。
共基极放大电路
共基极放大电路:电路中发射极电源Vee使发射结正向偏置,集电极电源Vcc使集电结反向偏置,所以该电路可使三极管工作在放大区。为了减少直流电源的种类,实际电路中不使用发射极电源,而是将Vcc在电阻Rb1、Rb2上分压得到的结果接到基极,当旁路电容Cb足够大时,可认为Rb1两端电压基本稳定。

静态分析:静态基极电流很小,Rb1和Rb2分压回路电流可忽略。

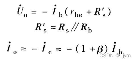
动态分析:微变等效电路如下图。

电流放大倍数:α小于1近似等于1,共基放大电路没有电流放大作用。

电压放大倍数:与共射电流电压放大倍数在数值上相等,但是没有负号,表示共基极放大电路的输出电压与输入电压相位一致,没有倒相作用。


输入电阻:共基接法的输入电阻比共射接法低,1/(1+β)倍。

输出电阻:比共射接法的输出电阻高,(1+β)倍。


综上所述,共基电路特点:具有低输入电阻,使晶体管结电容影响不显著,改善频率响应。这种接法常常用于宽频带放大器中。由于输出电阻高,共基电路还可作为恒流源。