「递归算法」看这一篇就够了|多图

前言

递归是一种非常重要的算法思想,无论你是前端开发,还是后端开发,都需要掌握它。在日常工作中,统计文件夹大小,解析xml文件等等,都需要用到递归算法。它太基础太重要了,这也是为什么面试的时候,面试官经常让我们手写递归算法。本文呢,将跟大家一起学习递归算法~

  • 什么是递归?

  • 递归的特点

  • 递归与栈的关系

  • 递归应用场景

  • 递归解题思路

  • leetcode案例分析

  • 递归可能存在的问题以及解决方案

什么是递归?

递归,在计算机科学中是指一种通过重复将问题分解为同类的子问题而解决问题的方法。简单来说,递归表现为函数调用函数本身。在知乎看到一个比喻递归的例子,个人觉得非常形象,大家看一下:

递归最恰当的比喻,就是查词典。我们使用的词典,本身就是递归,为了解释一个词,需要使用更多的词。当你查一个词,发现这个词的解释中某个词仍然不懂,于是你开始查这第二个词,可惜,第二个词里仍然有不懂的词,于是查第三个词,这样查下去,直到有一个词的解释是你完全能看懂的,那么递归走到了尽头,然后你开始后退,逐个明白之前查过的每一个词,最终,你明白了最开始那个词的意思。

来试试水,看一个递归的代码例子吧,如下:

public int sum(int n) {if (n <= 1) {return 1;} return sum(n - 1) + n; 
}

递归的特点

实际上,递归有两个显著的特征,终止条件和自身调用:

  • 自身调用:原问题可以分解为子问题,子问题和原问题的求解方法是一致的,即都是调用自身的同一个函数。

  • 终止条件:递归必须有一个终止的条件,即不能无限循环地调用本身。

结合以上demo代码例子,看下递归的特点:

递归与栈的关系

其实,递归的过程,可以理解为出入栈的过程的,这个比喻呢,只是为了方便读者朋友更好理解递归哈。以上代码例子计算sum(n=3)的出入栈图如下:

为了更容易理解一些,我们来看一下 函数sum(n=5)的递归执行过程,如下:

  • 计算sum(5)时,先sum(5)入栈,然后原问题sum(5)拆分为子问题sum(4),再入栈,直到终止条件sum(n=1)=1,就开始出栈。

  • sum(1)出栈后,sum(2)开始出栈,接着sum(3)。

  • 最后呢,sum(1)就是后进先出,sum(5)是先进后出,因此递归过程可以理解为栈出入过程啦~

递归的经典应用场景

哪些问题我们可以考虑使用递归来解决呢?即递归的应用场景一般有哪些呢?

  • 阶乘问题

  • 二叉树深度

  • 汉诺塔问题

  • 斐波那契数列

  • 快速排序、归并排序(分治算法体现递归)

  • 遍历文件,解析xml文件

递归解题思路

解决递归问题一般就三步曲,分别是:

  • 第一步,定义函数功能

  • 第二步,寻找递归终止条件

  • 第二步,递推函数的等价关系式

这个递归解题三板斧理解起来有点抽象,我们拿阶乘递归例子来喵喵吧~

1.定义函数功能

定义函数功能,就是说,你这个函数是干嘛的,做什么事情,换句话说,你要知道递归原问题是什么呀?比如你需要解决阶乘问题,定义的函数功能就是n的阶乘,如下:

//n的阶乘(n为大于0的自然数)
int factorial (int n){}

2.寻找递归终止条件

递归的一个典型特征就是必须有一个终止的条件,即不能无限循环地调用本身。所以,用递归思路去解决问题的时候,就需要寻找递归终止条件是什么。比如阶乘问题,当n=1的时候,不用再往下递归了,可以跳出循环啦,n=1就可以作为递归的终止条件,如下:

//n的阶乘(n为大于0的自然数)
int factorial (int n){if(n==1){return 1;}
}

3.递推函数的等价关系式

递归的「本义」,就是原问题可以拆为同类且更容易解决的子问题,即「原问题和子问题都可以用同一个函数关系表示。递推函数的等价关系式,这个步骤就等价于寻找原问题与子问题的关系,如何用一个公式把这个函数表达清楚」。阶乘的公式就可以表示为 f(n) = n * f(n-1), 因此,阶乘的递归程序代码就可以写成这样,如下:

int factorial (int n){if(n==1){return 1;}return n * factorial(n-1);
}

「注意啦」,不是所有递推函数的等价关系都像阶乘这么简单,一下子就能推导出来。需要我们多接触,多积累,多思考,多练习递归题目滴~

leetcode案例分析

来分析一道leetcode递归的经典题目吧~

原题链接在这里哈:https://leetcode-cn.com/problems/invert-binary-tree/

「题目:」 翻转一棵二叉树。

输入:

     4/   \2     7/ \   / \
1   3 6   9

输出:

     4/   \7     2/ \   / \
9   6 3   1

我们按照以上递归解题的三板斧来:

「1. 定义函数功能」

函数功能(即这个递归原问题是),给出一颗树,然后翻转它,所以,函数可以定义为:

//翻转一颗二叉树
public TreeNode invertTree(TreeNode root) {
}/*** Definition for a binary tree node.* public class TreeNode {*     int val;*     TreeNode left;*     TreeNode right;*     TreeNode(int x) { val = x; }* }*/

「2.寻找递归终止条件」

这棵树什么时候不用翻转呢?当然是当前节点为null或者当前节点为叶子节点的时候啦。因此,加上终止条件就是:

//翻转一颗二叉树
public TreeNode invertTree(TreeNode root) {if(root==null || (root.left ==null && root.right ==null)){return root;}
}

「3. 递推函数的等价关系式」

原问题之你要翻转一颗树,是不是可以拆分为子问题,分别翻转它的左子树和右子树?子问题之翻转它的左子树,是不是又可以拆分为,翻转它左子树的左子树以及它左子树的右子树?然后一直翻转到叶子节点为止。嗯,看图理解一下咯~

首先,你要翻转根节点为4的树,就需要「翻转它的左子树(根节点为2)和右子树(根节点为7)」。这就是递归的「递」的过程啦

然后呢,根节点为2的树,不是叶子节点,你需要继续「翻转它的左子树(根节点为1)和右子树(根节点为3)」。因为节点1和3都是「叶子节点」了,所以就返回啦。这也是递归的「递」的过程~

同理,根节点为7的树,也不是叶子节点,你需要翻转「它的左子树(根节点为6)和右子树(根节点为9)」。因为节点6和9都是叶子节点了,所以也返回啦。

左子树(根节点为2)和右子树(根节点为7)都被翻转完后,这几个步骤就「归来」,即递归的归过程,翻转树的任务就完成了~

显然,「递推关系式」就是:

invertTree(root)= invertTree(root.left) + invertTree(root.right);

于是,很容易可以得出以下代码:

//翻转一颗二叉树
public TreeNode invertTree(TreeNode root) {if(root==null || (root.left ==null && root.right ==null){return root;}//翻转左子树TreeNode left = invertTree(root.left);//翻转右子树TreeNode right= invertTree(root.right);
}

这里代码有个地方需要注意,翻转完一棵树的左右子树,还要交换它左右子树的引用位置。

 root.left = right;root.right = left;

因此,leetcode这个递归经典题目的「终极解决代码」如下:

class Solution {public TreeNode invertTree(TreeNode root) {if(root==null || (root.left ==null && root.right ==null)){return root;}//翻转左子树TreeNode left = invertTree(root.left);//翻转右子树TreeNode right= invertTree(root.right);//左右子树交换位置~root.left = right;root.right = left;return root;}
}

拿终极解决代码去leetcode提交一下,通过啦~

递归存在的问题

  • 递归调用层级太多,导致栈溢出问题

  • 递归重复计算,导致效率低下

栈溢出问题

  • 每一次函数调用在内存栈中分配空间,而每个进程的栈容量是有限的。

  • 当递归调用的层级太多时,就会超出栈的容量,从而导致调用栈溢出。

  • 其实,我们在前面小节也讨论了,递归过程类似于出栈入栈,如果递归次数过多,栈的深度就需要越深,最后栈容量真的不够咯

「代码例子如下:」

/*** 递归栈溢出测试*/
public class RecursionTest {public static void main(String[] args) {sum(50000);}private static int sum(int n) {if (n <= 1) {return 1;}return sum(n - 1) + n;}
}

「运行结果:」

Exception in thread "main" java.lang.StackOverflowErrorat recursion.RecursionTest.sum(RecursionTest.java:13)

怎么解决这个栈溢出问题?首先需要「优化一下你的递归」,真的需要递归调用这么多次嘛?如果真的需要,先稍微「调大JVM的栈空间内存」,如果还是不行,那就需要弃用递归,「优化为其他方案」咯~

重复计算,导致程序效率低下

我们再来看一道经典的青蛙跳阶问题:一只青蛙一次可以跳上1级台阶,也可以跳上2级台阶。求该青蛙跳上一个 n 级的台阶总共有多少种跳法。

绝大多数读者朋友,很容易就想到以下递归代码去解决:

class Solution {public int numWays(int n) {if (n == 0){return 1;}if(n <= 2){return n;}return numWays(n-1) + numWays(n-2);}
}

但是呢,去leetcode提交一下,就有问题啦,超出时间限制了

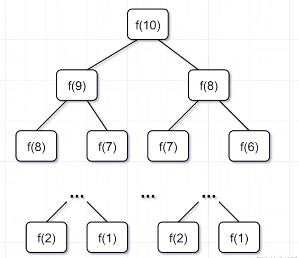
为什么超时了呢?递归耗时在哪里呢?先画出「递归树」看看:

  • 要计算原问题 f(10),就需要先计算出子问题 f(9) 和 f(8)

  • 然后要计算 f(9),又要先算出子问题 f(8) 和 f(7),以此类推。

  • 一直到 f(2) 和 f(1),递归树才终止。

我们先来看看这个递归的时间复杂度吧,「递归时间复杂度 = 解决一个子问题时间*子问题个数」

  • 一个子问题时间 =  f(n-1)+f(n-2),也就是一个加法的操作,所以复杂度是 「O(1)」

  • 问题个数 = 递归树节点的总数,递归树的总结点 = 2^n-1,所以是复杂度「O(2^n)」

因此,青蛙跳阶,递归解法的时间复杂度 = O(1) * O(2^n) =  O(2^n),就是指数级别的,爆炸增长的,「如果n比较大的话,超时很正常的了」

回过头来,你仔细观察这颗递归树,你会发现存在「大量重复计算」,比如f(8)被计算了两次,f(7)被重复计算了3次...所以这个递归算法低效的原因,就是存在大量的重复计算!

「那么,怎么解决这个问题呢?」

既然存在大量重复计算,那么我们可以先把计算好的答案存下来,即造一个备忘录,等到下次需要的话,先去「备忘录」查一下,如果有,就直接取就好了,备忘录没有才再计算,那就可以省去重新重复计算的耗时啦!这就是「带备忘录的解法」

我们来看一下「带备忘录的递归解法」吧~

一般使用一个数组或者一个哈希map充当这个「备忘录」

假设f(10)求解加上「备忘录」,我们再来画一下递归树:

「第一步」,f(10)= f(9) + f(8),f(9) 和f(8)都需要计算出来,然后再加到备忘录中,如下:

「第二步,」  f(9) = f(8)+ f(7),f(8)= f(7)+ f(6), 因为 f(8) 已经在备忘录中啦,所以可以省掉,f(7),f(6)都需要计算出来,加到备忘录中~

「第三步,」 f(8) = f(7)+ f(6),发现f(8),f(7),f(6)全部都在备忘录上了,所以都可以剪掉。

所以呢,用了备忘录递归算法,递归树变成光秃秃的树干咯,如下:

带「备忘录」的递归算法,子问题个数=树节点数=n,解决一个子问题还是O(1),所以「带「备忘录」的递归算法的时间复杂度是O(n)」。接下来呢,我们用带「备忘录」的递归算法去撸代码,解决这个青蛙跳阶问题的超时问题咯~,代码如下:

public class Solution {//使用哈希map,充当备忘录的作用Map<Integer, Integer> tempMap = new HashMap();public int numWays(int n) {// n = 0 也算1种if (n == 0) {return 1;}if (n <= 2) {return n;}//先判断有没计算过,即看看备忘录有没有if (tempMap.containsKey(n)) {//备忘录有,即计算过,直接返回return tempMap.get(n);} else {// 备忘录没有,即没有计算过,执行递归计算,并且把结果保存到备忘录map中,对1000000007取余(这个是leetcode题目规定的)tempMap.put(n, (numWays(n - 1) + numWays(n - 2)) % 1000000007);return tempMap.get(n);}}
}

去leetcode提交一下,如图,稳了:

还有没有其他方案解决这个问题呢?只有「带备忘录的递归解法」?其实吧,还可以用「动态规划」去解决

动态规划算法思想怎么解题呢?我们下期继续~ 谢谢阅读~

参考与感谢

  • [一文学会递归解题] (https://mp.weixin.qq.com/s/Hew44D8rdXb3pf8mZGk67w)

  • [动态规划详解] (https://mp.weixin.qq.com/s/1V3aHVonWBEXlNUvK3S28w)


往期推荐

算法图解:如何用两个栈实现一个队列?


真不错,图解Java中的5大队列!


一文详解「队列」,手撸队列的3种方法!


关注我,每天陪你进步一点点!

本文来自互联网用户投稿,该文观点仅代表作者本人,不代表本站立场。本站仅提供信息存储空间服务,不拥有所有权,不承担相关法律责任。如若转载,请注明出处:http://www.mzph.cn/news/545739.shtml

如若内容造成侵权/违法违规/事实不符,请联系多彩编程网进行投诉反馈email:809451989@qq.com,一经查实,立即删除!

相关文章

数组tostring方法_数组toString()方法以及JavaScript中的示例

数组tostring方法JavaScript toString()方法 (JavaScript toString() method) toString() method is used to convert an array to the string. It is called with the array name and returns the string containing array elements with comma separated. toString()方法用于…

JAVA解析JSON数据

在网页中想后台传递多个数据时&#xff0c;有时数据还是多个动态列表&#xff0c;数据很复杂时&#xff0c;JavaScript程序员喜欢把他们作为json串进行处理&#xff0c;后台收到后需要对json字符串进行解析&#xff0c;幸好有JSON-lib&#xff0c;这个Java类包用于把bean,map和…

为什么把端口号改为80之后,访问的时候就可以不写端口号

一个关于tomcat的问题为什么把端口号改为80之后&#xff0c;访问的时候就可以不写端口号因为80端口是许多web服务器的默认端口&#xff0c;比如iis和apache&#xff0c;所有为了方便,浏览器在不知道请求端口的情况下默认会访问服务器的80端口百度知道这样的话就可以恶作剧了打开…

linux——服务器与客户端实现聊天功能

先联想一下聊天的场景&#xff0c;假设甲和乙在聊天&#xff0c;他们每个人都能够发送给对方一句话甚至多句话&#xff0c;也能接收到对方发来的一句或多句话&#xff0c;也就是说&#xff0c;甲在发送一句话给乙的时候&#xff0c;同时也能接收到乙发来的信息&#xff0c;而且…

有关链表的小技巧,我都给你总结好了

链表链表是数据结构里一个很基础但是又很爱考的线性结构&#xff0c;链表的操作相对来说比较简单&#xff0c;但是非常适合考察面试者写代码的能力&#xff0c;以及对 corner case 的处理&#xff0c;还有指针的应用很容易引起 NPE (null pointer exception)。综合以上原因&…

long类型20位示例_Java Long类numberOfTrailingZeros()方法及示例

long类型20位示例长类numberOfTrailingZeros()方法 (Long class numberOfTrailingZeros() method) numberOfTrailingZeros() method is available in java.lang package. 在java.lang包中提供了numberOfTrailingZeros()方法 。 numberOfTrailingZeros() method is used to retu…

ActiveReports 9实战教程(1): 手把手搭建环境Visual Studio 2013 社区版

ActiveReports 9刚刚发布3天&#xff0c;微软就发布了 Visual Studio Community 2013 开发环境。Visual Studio Community 2013 提供完整功能的 IDE &#xff0c;可开发 Windows、Android 和 iOS 应用。支持&#xff1a;C, Python, HTML5, JavaScript, 和 C#,VB, F# 语言的开发…

第 1-1 课:Java 程序是如何执行的?

了解任何一门语言的精髓都是先俯览其全貌&#xff0c;从宏观的视角把握全局&#xff0c;然后再深入每个知识点逐个击破&#xff0c;这样就可以深入而快速的掌握一项技能。同样学习 Java 也是如此&#xff0c;本节就让我们先从整体来看一下 Java 中的精髓。 Java 介绍 Java 诞…

linux——两个客户端之间实现聊天(TCP、单线程)

两个客户端实现聊天功能&#xff0c;那么服务器作转发信息的作用&#xff0c;客户端A先将信息发送到服务器&#xff0c;在由服务器将信息发送到客户端B&#xff0c;客户端B也是一样。客户端与服务器都应该有两个执行流&#xff0c;服务器的一个执行流不断的接收客户端A的信息并…

Java ClassLoader getSystemClassLoader()方法与示例

ClassLoader类getSystemClassLoader()方法 (ClassLoader Class getSystemClassLoader() method) getSystemClassLoader() method is available in java.lang package. getSystemClassLoader()方法在java.lang包中可用。 getSystemClassLoader() method is used to find the Sys…

zabbix邮件通知,短信通知配置详解

一、使用邮件发送报警1、前提条件是zabbix我们已经安装完成2、在官网我们下载msmtp的文件http://sourceforge.net/projects/msmtp/files/msmtp/1.4.32/msmtp-1.4.32.tar.bz2/download tar xf msmtp-1.4.32.tar.bz2 cd msmtp-1.4.32 ./configure--prefix/usr/local/msmtp make m…

关于怎么获取jsp的web站点的目录问题

发布了自己的web站点之后&#xff0c;想要访问站点文件夹下的某个文本文件&#xff0c;但是却不知道怎么找到文件根目录&#xff0c;一直尝试总是找不到文件……好不容易在网上翻了堆代码找到两句我现在急用的……so//根目录路径的获取System.out.println(request.getSession()…

开篇词:如何轻松获得 Offer

你好,我是王磊,某上市公司技术研发经理,前奇虎 360 员工,有着 10 余年的编程工作经验,目前主要负责新员工技术面试和构建企业技术架构的相关事宜。随着面试过的人数增加,我发现面试者们暴露出了技术方面的很多问题,为了让更多面试者少走一些弯路,也为了让企业能招到合适…

Java类类getGenericSuperclass()方法及示例

类类getGenericSuperclass()方法 (Class class getGenericSuperclass() method) getGenericSuperclass() method is available in java.lang package. getGenericSuperclass()方法在java.lang包中可用。 getGenericSuperclass() method is used to return the Type denoting th…

linux——客户端服务器文件传输

实现文件传输并不难&#xff0c;只需用fopen、fread、fwrite、fclose这几个函数对文件操作即可。文本文件就不说了&#xff0c;我们就已下图为例。 我们先来看看这个图片文件里装的是什么&#xff0c;我们以notpad打开这个图片&#xff0c;结果如下&#xff0c;是一堆乱码。 …

Android第二十五期 - 猜歌小游戏

代码已经整理好了&#xff0c;如下效果图&#xff1a;地址&#xff1a;http://yunpan.cn/cArkdixh5NbpQ 提取码 9300转载于:https://blog.51cto.com/liangxiao/1579433

第 1-2 课:你不知道的基础数据类型和包装类 + 面试题

基本数据类型 Java 基础数据按类型可以分为四大类&#xff1a;布尔型、整数型、浮点型、字符型&#xff0c;这四大类包含 8 种基础数据类型。 布尔型&#xff1a;boolean整数型&#xff1a;byte、short、int、long浮点型&#xff1a;float、double字符型&#xff1a;char 八种…

TomCat JDK环境变量

TomCat安装之前要安装JDK&#xff0c;安装完之后添加环境变量&#xff1b;变量名&#xff1a;Java_Home 变量值&#xff1a; D:\jdk 1.6 变量名&#xff1a;Classpath 变量值&#xff1a; D:\jdk 1.6\jre\lib\rt.jar;.; 变量名&#xff1a;Path 变量值&#xff1a; D:\jdk 1.6\…

网络编程C/S模型怎样才能实现真正的聊天功能

学完socket编成后&#xff0c;就迫不及待地写一个简单的聊天程序&#xff0c;好在同学面前装装逼&#xff0c;毕竟外行看热闹。然而在自己的电脑上运行是毫无差错&#xff0c;发送接收都没有问题&#xff0c;然而将客户端的exe文件打包后发送给其他电脑上运行时程序死在了conne…

c++重载++运算符_C ++运算符重载| 查找输出程序| 套装3

c重载运算符Program 1: 程序1&#xff1a; #include <iostream>using namespace std;class Test {public:int A;Test(){A 0;}Test(int a){A a;}void print(){cout << A << " ";}};Test operator*(Test T1, Test T2){Test temp;temp.A T1.A * T…