钟南山院士团队与腾讯AI Lab日前披露了利用AI预测COVID-19患者病情发展至危重概率的研究成果,可分别预测5天、10天和30天内病情危重的概率,有助合理地为病人进行早期分诊。这项研究已在2020年7月15日发布于国际顶级期刊《Nature》子刊《Nature Communications》。
这项名为《深度学习在新冠肺炎危重患者早期分诊中的应用》的研究,是钟南山院士团队与腾讯公司共同成立的大数据及人工智能联合实验室的成果之一,第一作者分别是广州呼吸健康研究院院长助理梁文华博士,以及腾讯AI Lab医疗中心首席科学家姚建华博士,钟南山院士、广州呼吸健康研究院院长何建行、腾讯AI Lab医疗中心负责人黄俊洲均为共同作者。
大数据及人工智能联合实验室副主任、腾讯医疗副总裁吴文达医生指出,当前新冠肺炎疫情在全球持续蔓延,高效抗疫、降低患者死亡风险,仍是取得抗疫胜利的关键,希望大数据、人工智能等新技术,以及腾讯海量的用户触达能力,腾讯云安全、快速部署的能力,能够在抗疫常态化中发挥作用,更有效地防控流行病疫情。

此项研究基于人工智能深度学习所建立的生存模型,对COVID-19患者入院时的10项临床特征进行分析,可以帮助预测患者发展至危重病情的风险,如在患者住院期间持续采用此模型进行分析,预测结果会更加准确,有助于监测患者住院期间的风险趋势。依据此模型开发出的预测工具“COVID-19患者重症早期分诊系统”已经在线公开于https://aihealthcare.tencent.com/COVID19-Triage_en.html,临床医护工作人员也可以访问微信小程序获得这一工具。
医护人员只需输入患者的临床特征,重症早期分诊系统就可以返回患者在5、10和30天内病情发展至危重的概率,进而对患者进行早期分诊,对于COVID-19疾病的管理具有极高的临床和经济价值。
同时,这项研究成果也通过Github向全球开源,以支持全球抗击新冠疫情,Github开源项目查询链接为https://github.com/cojocchen/covid19_critically_ill。
临床研究显示,轻度的COVID-19患者通常是自限性的,即疾病在发生发展到一定程度后,靠机体调节能够控制病情发展并逐渐恢复痊愈。但6.5%的患者有突然进展为严重疾病的趋势,这些重症病例不但需要大量的医疗护理资源,其死亡率也高达49%。因此患者突然恶化为重症是抗疫工作中主要关注的问题,尽早识别有重病风险的患者并早期进行干预,对于患者预后的改善至关重要。同时早期识别不同风险的患者进行有效分类,也有利于医疗资源的高效合理分配,确保最有重症风险的患者尽快得到最合适的医疗及护理,这种能力在疫情大规模爆发时更是至关重要。
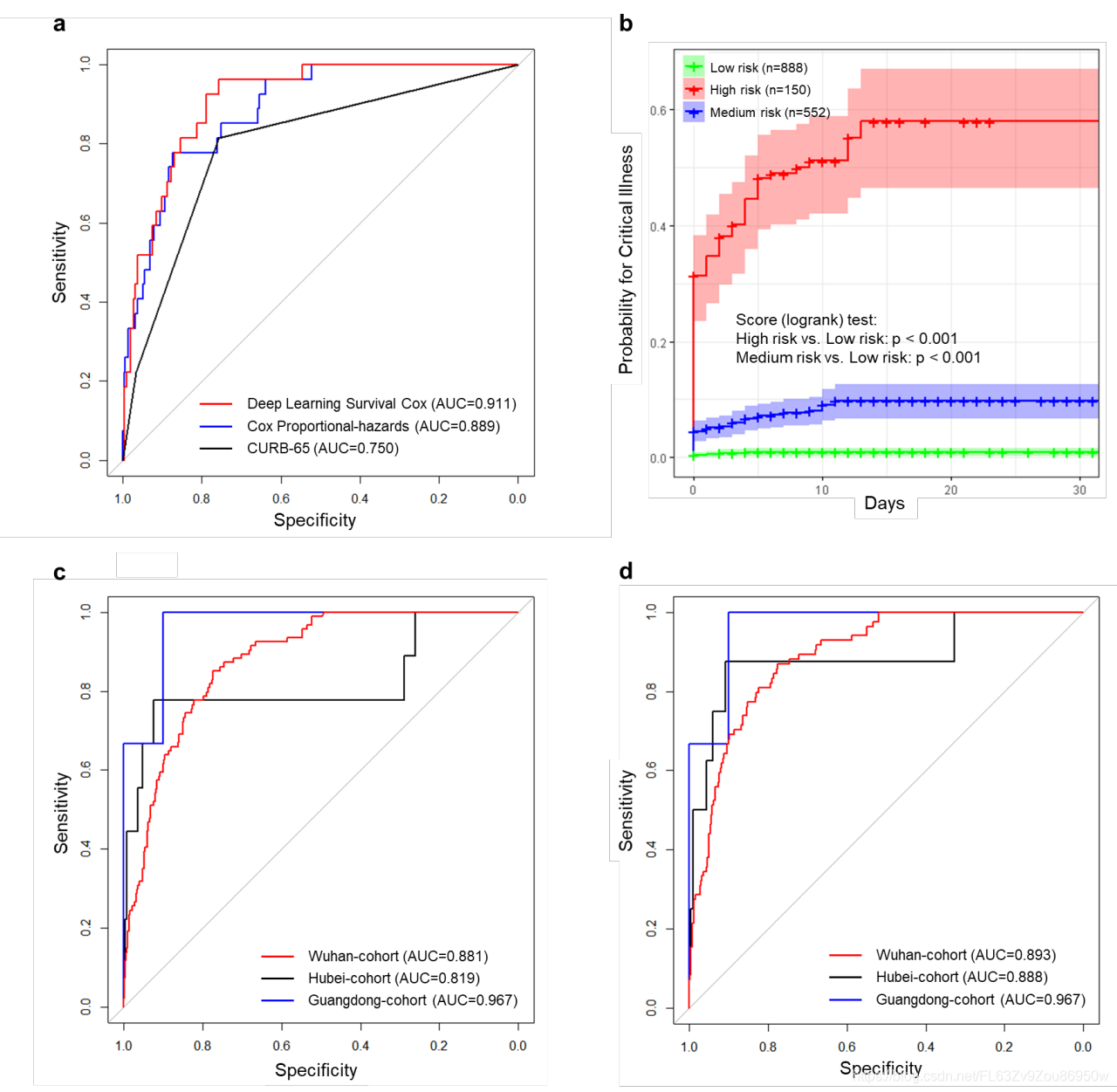
然而,准确预测患者进展至重症的风险并非易事。研究团队发现,临床中与此相关的患者特征多达74个,这使采用传统方法建立准确的预测模型难以实现。但大数据与人工智能的发展将不可能变为可能,大数据及人工智能联合实验室团队以腾讯AI Lab技术为核心,通过机器学习选择变量算法,确定了十个患者特征指标,包括X线影像异常、年龄、呼吸困难、慢性阻塞性肺病、合并症数量、癌症病史、中性粒细胞/淋巴细胞比、乳酸脱氢酶、直接胆红素和肌酸激酶,以来自575个医疗中心的1590名COVID-19患者病例进行模型训练,进而开发出深度学习生存Cox模型。这个模型可以根据COVID-19患者入院时的临床特征,预测病情发展至危重病的风险。
研究团队还对深度学习生存Cox模型的一致性进行了验证,评估模型预测结果精准度的一致性指数(C指数)为0.894,较未进行深度学习的经典Cox模型的0.876有所提升,更显著高于CURB-6模型的0.75。
为测试模型的普适性,研究团队还对不同地理区域和不同卫生资源水平的三个独立队列进行了模型测试,三个患者队列涵盖武汉940例、湖北省武汉市以外地区380例,以及疫情期间未出现健康资源枯竭的广东73例,外部测试病例均与模型训练病例范围不重叠。三个独立队列测试中,C指数展现的重症模型预测与实际发生一致性分别为0.878、0.769和0.967,排除10个临床特征参数缺失超过3个以上患者后的队列测试模型预测与实际发生一致性分别为0.890、0.852和0.967,显示深度学习生存Cox模型的准确预测具有普适性。

这个AI预测系统较传统预测模型还有其他的优势,包括应用当中自动填补缺失数据而进行预测,以应对不同地区和医院的实际情况,以及可以随着应用数据的增加而不断进化,准确性可以进一步提高。
今年2月27日,钟南山院士团队与腾讯公司宣布达成合作,共同成立大数据及人工智能联合实验室,携手持续抗击新冠肺炎疫情,将以大数据及人工智能攻坚流行病、呼吸疾病和胸部疾病的筛查和防控预警。