通过时间反向传播
介绍循环神经网络中梯度的计算和存储方法,即通过时间反向传播(back-propagation through time)。
- 正向传播和反向传播相互依赖。
- 正向传播在循环神经网络中比较直观,而通过时间反向传播其实是反向传播在循环神经网络中的具体应用。
- 我们需要将循环神经网络按时间步展开,从而得到模型变量和参数之间的依赖关系,并依据链式法则应用反向传播计算并存储梯度。
定义模型
考虑一个简单的无偏差项的循环神经网络,且激活函数为恒等映射(ϕ(x)=x\phi(x)=xϕ(x)=x)。设时间步 ttt 的输入为单样本 xt∈Rd\boldsymbol{x}_t \in \mathbb{R}^dxt∈Rd,标签为 yty_tyt,那么隐藏状态 ht∈Rh\boldsymbol{h}_t \in \mathbb{R}^hht∈Rh的计算表达式为
ht=Whxxt+Whhht−1,\boldsymbol{h}_t = \boldsymbol{W}_{hx} \boldsymbol{x}_t + \boldsymbol{W}_{hh} \boldsymbol{h}_{t-1}, ht=Whxxt+Whhht−1,
其中Whx∈Rh×d\boldsymbol{W}_{hx} \in \mathbb{R}^{h \times d}Whx∈Rh×d和Whh∈Rh×h\boldsymbol{W}_{hh} \in \mathbb{R}^{h \times h}Whh∈Rh×h是隐藏层权重参数。设输出层权重参数Wqh∈Rq×h\boldsymbol{W}_{qh} \in \mathbb{R}^{q \times h}Wqh∈Rq×h,时间步ttt的输出层变量ot∈Rq\boldsymbol{o}_t \in \mathbb{R}^qot∈Rq计算为
ot=Wqhht.\boldsymbol{o}_t = \boldsymbol{W}_{qh} \boldsymbol{h}_{t}. ot=Wqhht.
设时间步ttt的损失为ℓ(ot,yt)\ell(\boldsymbol{o}_t, y_t)ℓ(ot,yt)。时间步数为TTT的损失函数LLL定义为
L=1T∑t=1Tℓ(ot,yt).L = \frac{1}{T} \sum_{t=1}^T \ell (\boldsymbol{o}_t, y_t). L=T1t=1∑Tℓ(ot,yt).
将LLL称为有关给定时间步的数据样本的目标函数。
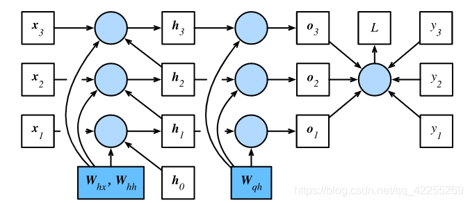
模型计算图
为了可视化循环神经网络中模型变量和参数在计算中的依赖关系,我们可以绘制模型计算图,像下图。例如,时间步3的隐藏状态h3\boldsymbol{h}_3h3的计算依赖模型参数Whx\boldsymbol{W}_{hx}Whx、Whh\boldsymbol{W}_{hh}Whh、上一时间步隐藏状态h2\boldsymbol{h}_2h2以及当前时间步输入x3\boldsymbol{x}_3x3。

表示了时间步数为3的循环神经网络模型计算中的依赖关系。
- 方框代表变量(无阴影)或参数(有阴影),圆圈代表运算符
方法
图中的模型的参数是 Whx\boldsymbol{W}_{hx}Whx, Whh\boldsymbol{W}_{hh}Whh 和 Wqh\boldsymbol{W}_{qh}Wqh。训练模型通常需要模型参数的梯度∂L/∂Whx\partial L/\partial \boldsymbol{W}_{hx}∂L/∂Whx、∂L/∂Whh\partial L/\partial \boldsymbol{W}_{hh}∂L/∂Whh和∂L/∂Wqh\partial L/\partial \boldsymbol{W}_{qh}∂L/∂Wqh。 图中的依赖关系,我们可以按照其中箭头所指的反方向依次计算并存储梯度。
- 首先,目标函数有关各时间步输出层变量的梯度∂L/∂ot∈Rq\partial L/\partial \boldsymbol{o}_t \in \mathbb{R}^q∂L/∂ot∈Rq很容易计算:
∂L∂ot=∂ℓ(ot,yt)T⋅∂ot.\frac{\partial L}{\partial \boldsymbol{o}_t} = \frac{\partial \ell (\boldsymbol{o}_t, y_t)}{T \cdot \partial \boldsymbol{o}_t}.∂ot∂L=T⋅∂ot∂ℓ(ot,yt).
- 之后,可以计算目标函数有关模型参数Wqh\boldsymbol{W}_{qh}Wqh的梯度∂L/∂Wqh∈Rq×h\partial L/\partial \boldsymbol{W}_{qh} \in \mathbb{R}^{q \times h}∂L/∂Wqh∈Rq×h。根据计算图,LLL通过o1,…,oT\boldsymbol{o}_1, \ldots, \boldsymbol{o}_To1,…,oT依赖Wqh\boldsymbol{W}_{qh}Wqh。依据链式法则,
∂L∂Wqh=∑t=1Tprod(∂L∂ot,∂ot∂Wqh)=∑t=1T∂L∂otht⊤.\frac{\partial L}{\partial \boldsymbol{W}_{qh}} = \sum_{t=1}^T \text{prod}\left(\frac{\partial L}{\partial \boldsymbol{o}_t}, \frac{\partial \boldsymbol{o}_t}{\partial \boldsymbol{W}_{qh}}\right) = \sum_{t=1}^T \frac{\partial L}{\partial \boldsymbol{o}_t} \boldsymbol{h}_t^\top. ∂Wqh∂L=t=1∑Tprod(∂ot∂L,∂Wqh∂ot)=t=1∑T∂ot∂Lht⊤.
- 其次,隐藏状态之间也存在依赖关系。 在计算图中,LLL只通过oT\boldsymbol{o}_ToT依赖最终时间步TTT的隐藏状态hT\boldsymbol{h}_ThT。因此,我们先计算目标函数有关最终时间步隐藏状态的梯度∂L/∂hT∈Rh\partial L/\partial \boldsymbol{h}_T \in \mathbb{R}^h∂L/∂hT∈Rh。依据链式法则,我们得到
∂L∂hT=prod(∂L∂oT,∂oT∂hT)=Wqh⊤∂L∂oT.\frac{\partial L}{\partial \boldsymbol{h}_T} = \text{prod}\left(\frac{\partial L}{\partial \boldsymbol{o}_T}, \frac{\partial \boldsymbol{o}_T}{\partial \boldsymbol{h}_T} \right) = \boldsymbol{W}_{qh}^\top \frac{\partial L}{\partial \boldsymbol{o}_T}. ∂hT∂L=prod(∂oT∂L,∂hT∂oT)=Wqh⊤∂oT∂L.
-
接下来对于时间步t<Tt < Tt<T, 在计算图中,LLL通过ht+1\boldsymbol{h}_{t+1}ht+1和ot\boldsymbol{o}_tot依赖ht\boldsymbol{h}_tht。依据链式法则, 目标函数有关时间步t<Tt < Tt<T的隐藏状态的梯度∂L/∂ht∈Rh\partial L/\partial \boldsymbol{h}_t \in \mathbb{R}^h∂L/∂ht∈Rh需要按照时间步从大到小依次计算:
∂L∂ht=prod(∂L∂ht+1,∂ht+1∂ht)+prod(∂L∂ot,∂ot∂ht)=Whh⊤∂L∂ht+1+Wqh⊤∂L∂ot\frac{\partial L}{\partial \boldsymbol{h}_t} = \text{prod} (\frac{\partial L}{\partial \boldsymbol{h}{t+1}}, \frac{\partial \boldsymbol{h}{t+1}}{\partial \boldsymbol{h}_t}) + \text{prod} (\frac{\partial L}{\partial \boldsymbol{o}_t}, \frac{\partial \boldsymbol{o}_t}{\partial \boldsymbol{h}_t} ) = \boldsymbol{W}_{hh}^\top \frac{\partial L}{\partial \boldsymbol{h}_{t+1}} + \boldsymbol{W}_{qh}^\top \frac{\partial L}{\partial \boldsymbol{o}_t} ∂ht∂L=prod(∂ht+1∂L,∂ht∂ht+1)+prod(∂ot∂L,∂ht∂ot)=Whh⊤∂ht+1∂L+Wqh⊤∂ot∂L -
将上面的递归公式展开,对任意时间步1≤t≤T1 \leq t \leq T1≤t≤T,我们可以得到目标函数有关隐藏状态梯度的通项公式
∂L∂ht=∑i=tT(Whh⊤)T−iWqh⊤∂L∂oT+t−i.\frac{\partial L}{\partial \boldsymbol{h}_t} = \sum_{i=t}^T {\left(\boldsymbol{W}_{hh}^\top\right)}^{T-i} \boldsymbol{W}_{qh}^\top \frac{\partial L}{\partial \boldsymbol{o}_{T+t-i}}. ∂ht∂L=i=t∑T(Whh⊤)T−iWqh⊤∂oT+t−i∂L.
由上式中的指数项可见,当时间步数 TTT 较大或者时间步 ttt 较小时,目标函数有关隐藏状态的梯度较容易出现衰减和爆炸。这也会影响其他包含∂L/∂ht\partial L / \partial \boldsymbol{h}_t∂L/∂ht项的梯度,例如隐藏层中模型参数的梯度∂L/∂Whx∈Rh×d\partial L / \partial \boldsymbol{W}_{hx} \in \mathbb{R}^{h \times d}∂L/∂Whx∈Rh×d和∂L/∂Whh∈Rh×h\partial L / \partial \boldsymbol{W}_{hh} \in \mathbb{R}^{h \times h}∂L/∂Whh∈Rh×h。 在图中,LLL通过h1,…,hT\boldsymbol{h}_1, \ldots, \boldsymbol{h}_Th1,…,hT依赖这些模型参数。 依据链式法则,有
∂L∂Whx=∑t=1Tprod(∂L∂ht,∂ht∂Whx)=∑t=1T∂L∂htxt⊤,∂L∂Whh=∑t=1Tprod(∂L∂ht,∂ht∂Whh)=∑t=1T∂L∂htht−1⊤.\begin{aligned} \frac{\partial L}{\partial \boldsymbol{W}_{hx}} &= \sum_{t=1}^T \text{prod}\left(\frac{\partial L}{\partial \boldsymbol{h}_t}, \frac{\partial \boldsymbol{h}_t}{\partial \boldsymbol{W}_{hx}}\right) = \sum_{t=1}^T \frac{\partial L}{\partial \boldsymbol{h}_t} \boldsymbol{x}_t^\top,\\ \ \frac{\partial L}{\partial \boldsymbol{W}_{hh}} &= \sum_{t=1}^T \text{prod}\left(\frac{\partial L}{\partial \boldsymbol{h}_t}, \frac{\partial \boldsymbol{h}_t}{\partial \boldsymbol{W}_{hh}}\right) = \sum_{t=1}^T \frac{\partial L}{\partial \boldsymbol{h}_t} \boldsymbol{h}_{t-1}^\top. \end{aligned} ∂Whx∂L ∂Whh∂L=t=1∑Tprod(∂ht∂L,∂Whx∂ht)=t=1∑T∂ht∂Lxt⊤,=t=1∑Tprod(∂ht∂L,∂Whh∂ht)=t=1∑T∂ht∂Lht−1⊤.
每次迭代中,我们在依次计算完以上各个梯度后,会将它们存储起来,从而避免重复计算。
- 例如,由于隐藏状态梯度∂L/∂ht\partial L/\partial \boldsymbol{h}_t∂L/∂ht被计算和存储,之后的模型参数梯度∂L/∂Whx\partial L/\partial \boldsymbol{W}_{hx}∂L/∂Whx和∂L/∂Whh\partial L/\partial \boldsymbol{W}_{hh}∂L/∂Whh的计算可以直接读取∂L/∂ht\partial L/\partial \boldsymbol{h}_t∂L/∂ht的值,而无须重复计算它们。
- 此外,反向传播中的梯度计算可能会依赖变量的当前值。它们正是通过正向传播计算出来的。 举例来说,参数梯度∂L/∂Whh\partial L/\partial \boldsymbol{W}_{hh}∂L/∂Whh的计算需要依赖隐藏状态在时间步t=0,…,T−1t = 0, \ldots, T-1t=0,…,T−1的当前值ht\boldsymbol{h}_tht(h0\boldsymbol{h}_0h0是初始化得到的)。这些值是通过从输入层到输出层的正向传播计算并存储得到的。