超几何分布:
在总数为N、不合格品率为p的一批产品中随机抽取n个样品,且样品中r个不合格品的概率为

则称x服从超几何分布。 当N很大时,上式计算相当烦琐,此时可以用二项分布或泊松分布来近似。
二项分布:
二项分布又称为Bernoulli(伯努利)分布。设试验只有两种结果,例如“失败”或“成功”等。两种相反的结果用A、B表示,且记P{A}=p, P{B}=1-p=q(0<p<1), 若将试验独立地重复n次,则称这样的独立试验为n重Bernoulli试验,简称Bernoulli试验。

泊松分布:
泊松分布是二项式分布的特殊情况,当实验次数足够大时

则称随机变量X服从泊松分布,λ(λ>0)为泊松分布的参数。泊松分布的均值和方差分别为E[X]= λ D[X]= λ。
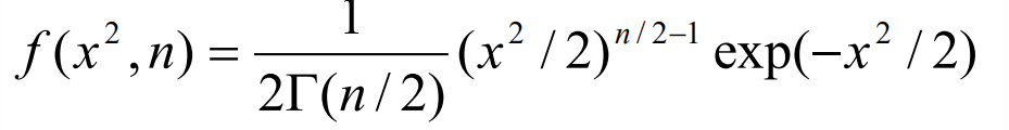
χ2分布(卡方分布)
设有n个相互独立的随机变量X1、X2、…、Xn,它们都服从标准正态分布N(0,1)。若

则 χ 2 服从自由度为 n 的χ2分布,记为χ2~χ2(n)。χ2分布的概率密度函数为

χ2分布的数学期望和方差分别为E[χ2 ]=n 和D[χ2 ]=2n。
分位数

卡方分布的运用:
1,指数分布函数的参数区间估计
为了求得指数分布参数λ(失效率)的区间估计,即为求得两个统计量λL和λU,使得

其中α为置信水平,1-α为置信度,[λL,λU]为置信区间。
估计方案:参与试验的产品总数为N,定数失效产品数目为n,失效产品没有更换。总的试验时间为Tn=t1+t2+…+t n+(N-n)t n ,其中ti为第i个产品失效的时间。显然,2λTn~χ2(2n)根据卡方分布表找出分位数χ2α/2和χ21 -α/2。使得

因此,失效率的区间估计为

2,正态分布函数的方差区间估计。

t分布
若总体X~N(0,1),Y~χ2(n),且X与Y相互独立,则称统计量t=X/
用t分布求数学期望(均值)区间估计。见
十楹棈:《概率论与数理统计》——大致回顾zhuanlan.zhihu.com