
欢迎关注 “小白玩转Python”,发现更多 “有趣”
注意: 在这个 Github repo 中提供了1D、2D 和3D Fourier 卷积的完整方法。我还提供了 PyTorch 模块,可以方便地将傅里叶卷积添加到可训练模型中。链接如下:
https://github.com/fkodom/fft-conv-pytorch
卷积
卷积在数据分析中无处不在。几十年来,它们一直被用于信号和图像处理。最近,它们成为现代神经网络的重要组成部分。如果你处理数据的话,你可能会遇到错综复杂的问题。
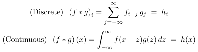
数学上,卷积表示为:

尽管离散卷积在计算应用程序中更为常见,但在本文的大部分内容中我将使用连续形式,因为使用连续变量来证明卷积定理(下面讨论)要容易得多。之后,我们将回到离散情况,并使用傅立叶变换在 PyTorch 中实现它。离散卷积可以看作是连续卷积的近似,其中连续函数离散在规则网格上。因此,我们不会为这个离散的案例重新证明卷积定理。
卷积定理
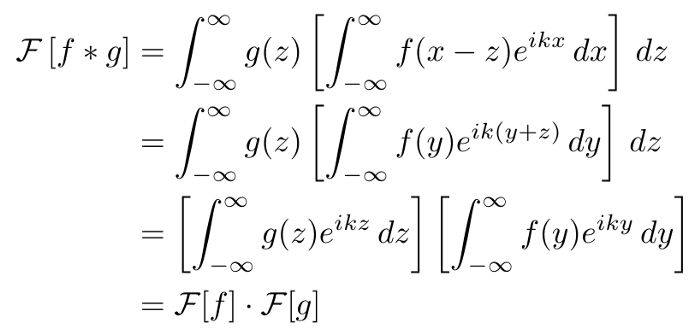
从数学上来说,卷积定理可以这样描述:

其中的连续傅里叶变换是(达到正常化常数) :

换句话说,位置空间中的卷积等价于频率空间中的直乘。这个想法是相当不直观的,但是对于连续的情况来说,证明卷积定理是惊人的容易。要做到这一点,首先要写出等式的左边。

现在切换积分的顺序,替换变量(x = y + z) ,并分离两个被积函数。

我们为什么要关心这一切?
因为快速傅里叶变换的算法复杂度低于卷积。直接卷积运算具有复杂度 O(n^2) ,因为在 f 中,我们传递 g 中的每个元素,所以可以在 O(nlogn)时间内计算出快速傅立叶变换。当输入数组很大时,它们比卷积要快得多。在这些情况下,我们可以使用卷积定理计算频率空间中的卷积,然后执行逆傅里叶变换回到位置空间。
当输入较小时(例如3x3卷积内核) ,直接卷积仍然更快。在机器学习应用程序中,使用小内核更为常见,因此像 PyTorch 和 Tensorflow 这样的深度学习库只提供直接卷积的实现。但是在现实世界中有很多使用大内核的用例,其中傅立叶卷积算法更有效。
PyTorch 实现
现在,我将演示如何在 PyTorch 中实现傅里叶卷积函数。它应该模仿 torch.nn.functional.convNd 的功能,并利用 fft,而不需要用户做任何额外的工作。因此,它应该接受三个 Tensors (signal、kernel 和可选 bias)和应用于输入的 padding。从概念上讲,这个函数的内部工作原理是:
def fft_conv( signal: Tensor, kernel: Tensor, bias: Tensor = None, padding: int = 0,) -> Tensor: # 1. Pad the input signal & kernel tensors # 2. Compute FFT for both signal & kernel # 3. Multiply the transformed Tensors together # 4. Compute inverse FFT # 5. Add bias and return让我们按照上面显示的操作顺序逐步构建 FFT 卷积。对于这个例子,我将构建一个一维傅里叶卷积,但是将其扩展到二维和三维卷积是很简单的。
1. 填充输入数组
我们需要确保 signal 和 kernel 在填充之后有相同的大小。应用初始填充 signal,然后调整 kernel 的填充以匹配。
# 1. Pad the input signal & kernel tensorssignal = f.pad(signal, [padding, padding])kernel_padding = [0, signal.size(-1) - kernel.size(-1)]padded_kernel = f.pad(kernel, kernel_padding)注意,我只在一边填充 kernel。我们希望原始内核位于填充数组的左侧,这样它就可以与 signal 数组的开始对齐。
2. 计算傅立叶变换
这非常简单,因为 n 维 fft 已经在 PyTorch 中实现了。我们简单地使用内置函数,并计算沿每个张量的最后一个维数的 FFT。
# 2. Perform fourier convolutionsignal_fr = rfftn(signal, dim=-1)kernel_fr = rfftn(padded_kernel, dim=-1)3. 变换张量相乘
令人惊讶的是,这是我们功能中最复杂的部分。这有两个原因。(1) PyTorch 卷积运行于多维张量上,因此我们的 signal 和 kernel 张量实际上是三维的。从 PyTorch 文档中的这个方程式,我们可以看到矩阵乘法是在前两个维度上运行的(不包括偏差项) :

我们将需要包括这个矩阵乘法,以及对转换后的维度的直接乘法。
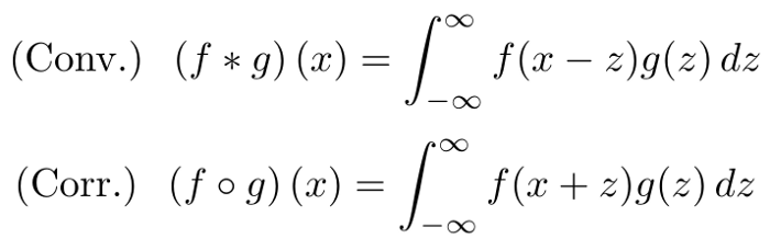
PyTorch 实际上实现了互相关/值方法而不是卷积方法。(TensorFlow 和其他深度学习库也是如此。)互相关与卷积密切相关,但有一个重要的标志变化:

与卷积相比,这有效地逆转了核的方向(g)。我们不是手动翻转内核,而是在傅里叶空间中利用内核的共轭复数来纠正这个问题。由于我们不需要创建一个全新的 Tensor,所以这样做的速度明显更快,内存效率也更高。(本文末尾的附录中简要说明了这种方法的工作原理。)
# 3. Multiply the transformed matricesdef complex_matmul(a: Tensor, b: Tensor) -> Tensor: """Multiplies two complex-valued tensors.""" # Scalar matrix multiplication of two tensors, over only the first two dimensions. # Dimensions 3 and higher will have the same shape after multiplication. scalar_matmul = partial(torch.einsum, "ab..., cb... -> ac...") # Compute the real and imaginary parts independently, then manually insert them # into the output Tensor. This is fairly hacky but necessary for PyTorch 1.7.0, # because Autograd is not enabled for complex matrix operations yet. Not exactly # idiomatic PyTorch code, but it should work for all future versions (>= 1.7.0). real = scalar_matmul(a.real, b.real) - scalar_matmul(a.imag, b.imag) imag = scalar_matmul(a.imag, b.real) + scalar_matmul(a.real, b.imag) c = torch.zeros(real.shape, dtype=torch.complex64) c.real, c.imag = real, imag return c# Conjugate the kernel for cross-correlationkernel_fr.imag *= -1output_fr = complex_matmul(signal_fr, kernel_fr)PyTorch 1.7改进了对复数的支持,但是在 autograd 中还不支持对复数张量的许多操作。现在,我们必须编写我们自己的复杂 matmul 方法作为一个补丁。虽然不是很理想,但是它确实有效,并且在未来的版本中不会出现问题。
4. 计算逆变换
使用 torch.irfftn 可以直接计算逆变换,然后裁剪出额外的数组填充。
# 4. Compute inverse FFT, and remove extra padded valuesoutput = irfftn(output_fr, dim=-1)output = output[:, :, :signal.size(-1) - kernel.size(-1) + 1]5. 添加偏执项并返回
添加偏差项也很容易。请记住,对于输出阵列中的每个通道,偏置项都有一个元素,并相应地调整其形状。
# 5. Optionally, add a bias term before returning.if bias is not None: output += bias.view(1, -1, 1)将上述代码整合在一起
为了完整起见,让我们将所有这些代码片段编译成一个内聚函数。
def fft_conv_1d( signal: Tensor, kernel: Tensor, bias: Tensor = None, padding: int = 0,) -> Tensor: """ Args: signal: (Tensor) Input tensor to be convolved with the kernel. kernel: (Tensor) Convolution kernel. bias: (Optional, Tensor) Bias tensor to add to the output. padding: (int) Number of zero samples to pad the input on the last dimension. Returns: (Tensor) Convolved tensor """ # 1. Pad the input signal & kernel tensors signal = f.pad(signal, [padding, padding]) kernel_padding = [0, signal.size(-1) - kernel.size(-1)] padded_kernel = f.pad(kernel, kernel_padding) # 2. Perform fourier convolution signal_fr = rfftn(signal, dim=-1) kernel_fr = rfftn(padded_kernel, dim=-1) # 3. Multiply the transformed matrices kernel_fr.imag *= -1 output_fr = complex_matmul(signal_fr, kernel_fr) # 4. Compute inverse FFT, and remove extra padded values output = irfftn(output_fr, dim=-1) output = output[:, :, :signal.size(-1) - kernel.size(-1) + 1] # 5. Optionally, add a bias term before returning. if bias is not None: output += bias.view(1, -1, 1) return output直接卷积测试
最后,我们将使用 torch.nn.functional.conv1d 来确认这在数值上等同于直接一维卷积。我们为所有输入构造随机张量,并测量输出值的相对差异。
import torchimport torch.nn.functional as ftorch.manual_seed(1234)kernel = torch.randn(2, 3, 1025)signal = torch.randn(3, 3, 4096)bias = torch.randn(2)y0 = f.conv1d(signal, kernel, bias=bias, padding=512)y1 = fft_conv_1d(signal, kernel, bias=bias, padding=512)abs_error = torch.abs(y0 - y1)print(f'\nAbs Error Mean: {abs_error.mean():.3E}')print(f'Abs Error Std Dev: {abs_error.std():.3E}')# Abs Error Mean: 1.272E-05考虑到我们使用的是32位精度,每个元素相差大约1e-5ー相当精确!让我们也执行一个快速的基准来测量每个方法的速度:
from timeit import timeitdirect_time = timeit( "f.conv1d(signal, kernel, bias=bias, padding=512)", globals=locals(), number=100) / 100fourier_time = timeit( "fft_conv_1d(signal, kernel, bias=bias, padding=512)", globals=locals(), number=100) / 100print(f"Direct time: {direct_time:.3E} s")print(f"Fourier time: {fourier_time:.3E} s")# Direct time: 1.523E-02 s# Fourier time: 1.149E-03 s测量的基准将随着您使用的机器而发生显著的变化。(我正在用一台非常旧的 Macbook Pro 进行测试。)对于1025的内核,傅里叶卷积似乎要快10倍以上。
总结
我希望这已经提供了一个彻底的介绍傅里叶卷积。我认为这是一个非常酷的技巧,在现实世界中有很多应用程序可以使用它。我也喜欢数学,所以看到编程和纯数学的结合是很有趣的。欢迎和鼓励所有的评论和建设性的批评,如果你喜欢这篇文章,请鼓掌!
附录:
卷积 vs. 互相关
在本文的前面,我们通过在傅里叶空间中取得内核的互相关共轭复数来实现。这实际上颠倒了 kernel 的方向,现在我想演示一下为什么会这样。首先,记住卷积和互相关的公式:

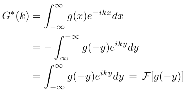
然后,让我们来看看 g(x) 的傅里叶变换:

注意,g(x)是实值的,所以它不受共轭复数变化的影响。然后,更改变量(y =-x)并简化表达式。

· END ·
HAPPY LIFE