一.平方损失(MSE)
Loss函数:

![]()
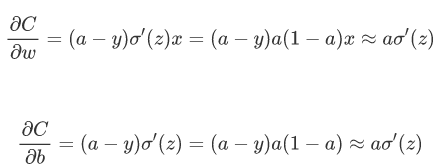
梯度:

由于x,y是已知的,故可以忽略掉
梯度更新:

sigmoid函数:

可以看出 导数在z取大部分值,都是很小的,这样会使梯度更新慢.
y为1或0是,当a=1,w的梯度为0,a=0,w的梯度为0,故就能看出梯度更新慢.
二.交叉熵损失(Cross-entropy)
梯度更新比较图

可看出逻辑回归比MSE慢.

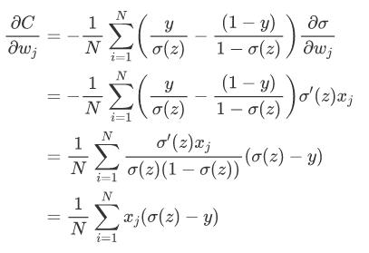
Loss函数:

简写形式:

![]()
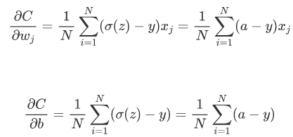
梯度更新:

由于没有导数那一项,导致梯度更新不再慢.

![]()
参考:
交叉熵损失
Loss函数:

![]()
梯度:

由于x,y是已知的,故可以忽略掉
梯度更新:

sigmoid函数:

可以看出 导数在z取大部分值,都是很小的,这样会使梯度更新慢.
y为1或0是,当a=1,w的梯度为0,a=0,w的梯度为0,故就能看出梯度更新慢.
梯度更新比较图

可看出逻辑回归比MSE慢.

Loss函数:

简写形式:

![]()
梯度更新:

由于没有导数那一项,导致梯度更新不再慢.

![]()
参考:
交叉熵损失
本文来自互联网用户投稿,该文观点仅代表作者本人,不代表本站立场。本站仅提供信息存储空间服务,不拥有所有权,不承担相关法律责任。如若转载,请注明出处:http://www.mzph.cn/news/493053.shtml
如若内容造成侵权/违法违规/事实不符,请联系多彩编程网进行投诉反馈email:809451989@qq.com,一经查实,立即删除!