吴恩达《机器学习》学习笔记十四——应用机器学习的建议实现一个机器学习模型的改进
- 一、任务介绍
- 二、代码实现
- 1.准备数据
- 2.代价函数
- 3.梯度计算
- 4.带有正则化的代价函数和梯度计算
- 5.拟合数据
- 6.创建多项式特征
- 7.准备多项式回归数据
- 8.绘制学习曲线
- 𝜆=0
- 𝜆=1
- 𝜆=100
- 9.找到最佳的 𝜆
前几次笔记介绍了具体实现一个机器学习模型的时候应该如何操作,首先是快速实现一个较为简单的模型,然后通过绘制学习曲线去判断目前的模型存在什么问题,分析应该如何改进,这次笔记就将实现这一整个过程。
数据集:https://pan.baidu.com/s/1Er82YunOOmyTJIW-0H40mQ
提取码:41rj
一、任务介绍
这次笔记中我们将要实现正则化线性回归,并用它来研究带有方差-偏差性质的模型。首先使用正则化线性回归,通过水位(water_level)的改变来预测一个大坝的出水量(flow),然后通过绘制学习曲线来诊断学习算法存在的问题,分析是具有偏差还是具有方差,以及如何调节。
二、代码实现
1.准备数据
import numpy as np
import scipy.io as sio
import scipy.optimize as opt
import pandas as pd
import matplotlib.pyplot as plt
import seaborn as sns
def load_data():"""for ex5d['X'] shape = (12, 1)pandas has trouble taking this 2d ndarray to construct a dataframe, so I ravelthe results"""d = sio.loadmat('ex5data1.mat')return map(np.ravel, [d['X'], d['y'], d['Xval'], d['yval'], d['Xtest'], d['ytest']])
把训练集、验证集和测试集都读入了,然后观察一下他们的维度:
X, y, Xval, yval, Xtest, ytest = load_data()
print('X:', X.shape)
print('Xval:', Xval.shape)
print('Xtest:', Xtest.shape)

可以看到训练集、验证集和测试集分别有12、21、21个数据。
下面对训练数据可视化,对它有个直观的理解:
df = pd.DataFrame({'water_level':X, 'flow':y})sns.lmplot('water_level', 'flow', data=df, fit_reg=False, size=7)
plt.show()

最后是需要为三个数据集的X都插入偏置,这是线性回归假设函数的常数项,也是与参数theta0相乘的项,接着再观察一下维度:
X, Xval, Xtest = [np.insert(x.reshape(x.shape[0], 1), 0, np.ones(x.shape[0]), axis=1) for x in (X, Xval, Xtest)]
print('X:', X.shape)
print('Xval:', Xval.shape)
print('Xtest:', Xtest.shape)

2.代价函数
线性回归的代价函数如下图所示:

相应的代码实现如下所示:
def cost(theta, X, y):
# INPUT:参数值theta,数据X,标签y
# OUTPUT:当前参数值下代价函数
# TODO:根据参数和输入的数据计算代价函数# STEP1:获取样本个数m = X.shape[0]# STEP2:计算代价函数inner = X @ theta - ysquare_sum = inner.T @ innercost = square_sum / (2 * m)return cost
给一个初始参数计算的玩玩,注意参数theta的维度:
theta = np.ones(X.shape[1])
cost(theta, X, y)

3.梯度计算
线性回归的梯度计算公式如下所示:

代码实现如下所示:
def gradient(theta, X, y):
# INPUT:参数值theta,数据X,标签y
# OUTPUT:当前参数值下梯度
# TODO:根据参数和输入的数据计算梯度 # STEP1:获取样本个数m = X.shape[0]# STEP2:计算代价函数grad= (X.T @ (X @ theta - y))/mreturn grad
gradient(theta, X, y)

4.带有正则化的代价函数和梯度计算
带有正则化的梯度计算公式如下图所示:

def regularized_gradient(theta, X, y, l=1):
# INPUT:参数值theta,数据X,标签y
# OUTPUT:当前参数值下梯度
# TODO:根据参数和输入的数据计算梯度 # STEP1:获取样本个数m = X.shape[0]# STEP2:计算正则化梯度regularized_term = theta.copy() # same shape as thetaregularized_term[0] = 0 # don't regularize intercept thetaregularized_term = (l / m) * regularized_termreturn gradient(theta, X, y) + regularized_term
regularized_gradient(theta, X, y)

带有正则化的代价函数公式如下所示:

def regularized_cost(theta, X, y, l=1):m = X.shape[0]regularized_term = (l / (2 * m)) * np.power(theta[1:], 2).sum()return cost(theta, X, y) + regularized_term
5.拟合数据
def linear_regression_np(X, y, l=1):
# INPUT:数据X,标签y,正则化参数l
# OUTPUT:当前参数值下梯度
# TODO:根据参数和输入的数据计算梯度 # STEP1:初始化参数theta = np.ones(X.shape[1])# STEP2:调用优化算法拟合参数res = opt.minimize(fun=regularized_cost,x0=theta,args=(X, y, l),method='TNC',jac=regularized_gradient,options={'disp': True})return res
调用拟合数据的函数来优化参数:
theta = np.ones(X.shape[0])final_theta = linear_regression_np(X, y, l=0).get('x')print(final_theta)

这就是用训练数据拟合后的theta0和theta1,下面我们对这个参数组合得到的模型来进行可视化。
b = final_theta[0] # intercept
m = final_theta[1] # slopeplt.scatter(X[:,1], y, label="Training data")
plt.plot(X[:, 1], X[:, 1]*m + b, label="Prediction")
plt.legend(loc=2)
plt.show()

对训练数据都不能很好的拟合,显然是欠拟合的。但这个例子太明显了,有些情况可能观察这个图不能直接判断,所以最好还是绘制学习曲线,也就是用训练数据的子集去拟合模型,得到的参数同样用来计算验证集上的误差,随着训练数据逐渐增多,计算训练误差和验证集误差并绘制出相应的曲线:
1.使用训练集的子集来拟合模型
2.在计算训练代价和交叉验证代价时,没有用正则化
3.记住使用相同的训练集子集来计算训练代价
training_cost, cv_cost = [], []
# TODO:计算训练代价和交叉验证集代价
# STEP1:获取样本个数,遍历每个样本
m = X.shape[0]
for i in range(1, m+1):# STEP2:计算当前样本的代价res = linear_regression_np(X[:i, :], y[:i], l=0)tc = regularized_cost(res.x, X[:i, :], y[:i], l=0)cv = regularized_cost(res.x, Xval, yval, l=0)# STEP3:把计算结果存储至预先定义的数组training_cost, cv_cost中training_cost.append(tc)cv_cost.append(cv)
plt.plot(np.arange(1, m+1), training_cost, label='training cost')
plt.plot(np.arange(1, m+1), cv_cost, label='cv cost')
plt.legend(loc=1)
plt.show()

从这个图可以看出,训练集误差和验证集误差都是比较大的,这是一种欠拟合的情况。
6.创建多项式特征
因为模型欠拟合,所以不能使用简单的线性函数来拟合了,应该添加一些多项式特征来增加模型的复杂性。
def prepare_poly_data(*args, power):"""args: keep feeding in X, Xval, or Xtestwill return in the same order"""def prepare(x):# 特征映射df = poly_features(x, power=power)# 归一化处理ndarr = normalize_feature(df).as_matrix()# 添加偏置项return np.insert(ndarr, 0, np.ones(ndarr.shape[0]), axis=1)return [prepare(x) for x in args]
特征映射之前写过,这里不再赘述,直接上代码:
def poly_features(x, power, as_ndarray=False): #特征映射data = {'f{}'.format(i): np.power(x, i) for i in range(1, power + 1)}df = pd.DataFrame(data)return df.as_matrix() if as_ndarray else df
尝试一下上面的代码,构造一下次数最高为3的多项式特征:
X, y, Xval, yval, Xtest, ytest = load_data()
poly_features(X, power=3)

7.准备多项式回归数据
- 扩展特征到 8阶,或者你需要的阶数
- 使用 归一化 来合并x^n
- 不要忘记添加偏置项
def normalize_feature(df):"""Applies function along input axis(default 0) of DataFrame."""return df.apply(lambda column: (column - column.mean()) / column.std())
X_poly, Xval_poly, Xtest_poly= prepare_poly_data(X, Xval, Xtest, power=8)
X_poly[:3, :]

8.绘制学习曲线
𝜆=0
首先,没有使用正则化,所以 𝜆=0
def plot_learning_curve(X, y, Xval, yval, l=0):
# INPUT:训练数据集X,y,交叉验证集Xval,yval,正则化参数l
# OUTPUT:当前参数值下梯度
# TODO:根据参数和输入的数据计算梯度 # STEP1:初始化参数,获取样本个数,开始遍历training_cost, cv_cost = [], []m = X.shape[0]for i in range(1, m + 1):# STEP2:调用之前写好的拟合数据函数进行数据拟合res = linear_regression_np(X[:i, :], y[:i], l=l)# STEP3:计算样本代价tc = cost(res.x, X[:i, :], y[:i])cv = cost(res.x, Xval, yval)# STEP3:把计算结果存储至预先定义的数组training_cost, cv_cost中training_cost.append(tc)cv_cost.append(cv)plt.plot(np.arange(1, m + 1), training_cost, label='training cost')plt.plot(np.arange(1, m + 1), cv_cost, label='cv cost')plt.legend(loc=1)
plot_learning_curve(X_poly, y, Xval_poly, yval, l=0)
plt.show()

从这个学习曲线看,训练误差太低了,而验证集误差不算低,这是过拟合的情况(lamda=0,所以也没有任何抑制过拟合的作用,而多项式次数又比较高,过拟合很正常)。
𝜆=1
plot_learning_curve(X_poly, y, Xval_poly, yval, l=1)
plt.show()

训练误差稍有增加,验证误差也降得较低,算是比较好的情况。
𝜆=100
plot_learning_curve(X_poly, y, Xval_poly, yval, l=100)
plt.show()

正则化过多,变成了欠拟合情况。
9.找到最佳的 𝜆
l_candidate = [0, 0.001, 0.003, 0.01, 0.03, 0.1, 0.3, 1, 3, 10]
training_cost, cv_cost = [], []
for l in l_candidate:res = linear_regression_np(X_poly, y, l)tc = cost(res.x, X_poly, y)cv = cost(res.x, Xval_poly, yval)training_cost.append(tc)cv_cost.append(cv)
plt.plot(l_candidate, training_cost, label='training')
plt.plot(l_candidate, cv_cost, label='cross validation')
plt.legend(loc=2)plt.xlabel('lambda')plt.ylabel('cost')
plt.show()

找出最佳的 𝜆,即找出验证误差最小时对应的 𝜆:
# best cv I got from all those candidates
l_candidate[np.argmin(cv_cost)]

用测试集去计算这些𝜆情况下的测试误差,最终的目的是要测试误差小:
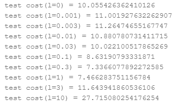
# use test data to compute the cost
for l in l_candidate:theta = linear_regression_np(X_poly, y, l).xprint('test cost(l={}) = {}'.format(l, cost(theta, Xtest_poly, ytest)))

调参后, 𝜆=0.3 是最优选择,这个时候测试代价最小,我们上述选择的𝜆=1时的测试误差很接近最优选择下的误差,所以上述的操作就是建立并改进一个模型的大致流程。