PyTorch框架学习十四——学习率调整策略
- 一、_LRScheduler类
- 二、六种常见的学习率调整策略
- 1.StepLR
- 2.MultiStepLR
- 3.ExponentialLR
- 4.CosineAnnealingLR
- 5.ReduceLRonPlateau
- 6.LambdaLR
在上次笔记优化器的内容中介绍了学习率的概念,但是在整个训练过程中学习率并不是一直不变的,一般学习率是要先设置的大一些,然后在训练过程中慢慢减小。这次笔记就简单介绍一下PyTorch中学习率调整策略。
一、_LRScheduler类
是各种具体学习率调整策略方法函数所要继承的基类。
主要属性:
- optimizer:关联的优化器
- last_epoch:记录epoch数
- base_lrs:记录初始学习率
主要方法:
- step():更新下一个epoch的学习率。
- get_lr():虚函数,计算下一个epoch的学习率。
二、六种常见的学习率调整策略
1.StepLR
功能:等间隔调整学习率。
torch.optim.lr_scheduler.StepLR(optimizer, step_size, gamma=0.1, last_epoch=-1)
参数如下:

- step_size:调整间隔数,学习率衰减的周期。
- gamma:调整系数,默认为0.1。
调整方式:lr = lr * gamma
举个栗子:
# 导入模块、设定超参数、给定权重数据
import torch
import torch.optim as optim
import numpy as np
import matplotlib.pyplot as plt
torch.manual_seed(1)LR = 0.1
iteration = 10
max_epoch = 200weights = torch.randn((1), requires_grad=True)
target = torch.zeros((1))optimizer = optim.SGD([weights], lr=LR, momentum=0.9)# StepLR,每隔50轮下降一次学习率
scheduler_lr = optim.lr_scheduler.StepLR(optimizer, step_size=50, gamma=0.1) # 设置学习率下降策略lr_list, epoch_list = list(), list()
for epoch in range(max_epoch):# 获取当前lr,新版本用 get_last_lr()函数,旧版本用get_lr()函数,具体看UserWarninglr_list.append(scheduler_lr.get_last_lr())epoch_list.append(epoch)for i in range(iteration):loss = torch.pow((weights - target), 2)loss.backward()optimizer.step()optimizer.zero_grad()scheduler_lr.step()plt.plot(epoch_list, lr_list, label="Step LR Scheduler")
plt.xlabel("Epoch")
plt.ylabel("Learning rate")
plt.legend()
plt.show()
绘制出的结果如图所示:

从图中可见每隔50轮学习率下降为原来的0.1倍。
2.MultiStepLR
功能:按照给定间隔调整学习率。
torch.optim.lr_scheduler.MultiStepLR(optimizer, milestones, gamma=0.1, last_epoch=-1)
参数如下:

- milestones:(列表)设定调整时刻数,必须是递增的。
- gamma:调整系数。
调整方式:lr = lr * gamma
举个栗子:
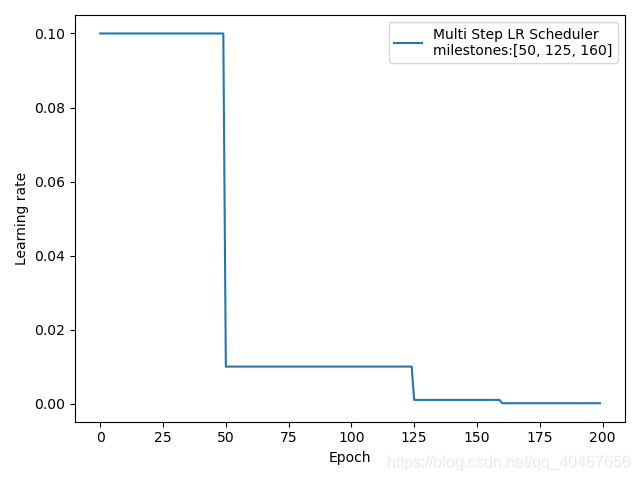
milestones = [50, 125, 160]
scheduler_lr = optim.lr_scheduler.MultiStepLR(optimizer, milestones=milestones, gamma=0.1)lr_list, epoch_list = list(), list()
for epoch in range(max_epoch):lr_list.append(scheduler_lr.get_last_lr())epoch_list.append(epoch)for i in range(iteration):loss = torch.pow((weights - target), 2)loss.backward()optimizer.step()optimizer.zero_grad()scheduler_lr.step()plt.plot(epoch_list, lr_list, label="Multi Step LR Scheduler\nmilestones:{}".format(milestones))
plt.xlabel("Epoch")
plt.ylabel("Learning rate")
plt.legend()
plt.show()
结果如下图所示:

从图中可见,在我们设定的位置:50/125/160轮时学习率下降为原来的0.1倍。
3.ExponentialLR
功能:按指数衰减调整lr。
torch.optim.lr_scheduler.ExponentialLR(optimizer, gamma, last_epoch=-1)
参数需要关注的只有一个:
- gamma:指数的底。
调整策略:lr = lr * gamma ^ epoch
举个栗子:
gamma = 0.95
scheduler_lr = optim.lr_scheduler.ExponentialLR(optimizer, gamma=gamma)lr_list, epoch_list = list(), list()
for epoch in range(max_epoch):lr_list.append(scheduler_lr.get_last_lr())epoch_list.append(epoch)for i in range(iteration):loss = torch.pow((weights - target), 2)loss.backward()optimizer.step()optimizer.zero_grad()scheduler_lr.step()plt.plot(epoch_list, lr_list, label="Exponential LR Scheduler\ngamma:{}".format(gamma))
plt.xlabel("Epoch")
plt.ylabel("Learning rate")
plt.legend()
plt.show()
学习率变化结果如下图所示:

4.CosineAnnealingLR
功能:余弦周期调整lr。
torch.optim.lr_scheduler.CosineAnnealingLR(optimizer, T_max, eta_min=0, last_epoch=-1)
参数如下所示:

- T_max:下降周期,注意不是cos的周期,是cos周期的一半。
- eta_min:学习率下限,默认为0。
调整方式:

t_max = 50
scheduler_lr = optim.lr_scheduler.CosineAnnealingLR(optimizer, T_max=t_max, eta_min=0.)lr_list, epoch_list = list(), list()
for epoch in range(max_epoch):lr_list.append(scheduler_lr.get_last_lr())epoch_list.append(epoch)for i in range(iteration):loss = torch.pow((weights - target), 2)loss.backward()optimizer.step()optimizer.zero_grad()scheduler_lr.step()plt.plot(epoch_list, lr_list, label="CosineAnnealingLR Scheduler\nT_max:{}".format(t_max))
plt.xlabel("Epoch")
plt.ylabel("Learning rate")
plt.legend()
plt.show()
学习率变化曲线如下图所示:

T_max设置为50,所以0-50下降,50-100上升,以此类推。
5.ReduceLRonPlateau
功能:监控指标,当指标不再变化则调整。
torch.optim.lr_scheduler.ReduceLROnPlateau(optimizer, mode='min', factor=0.1, patience=10, verbose=False, threshold=0.0001, threshold_mode='rel', cooldown=0, min_lr=0, eps=1e-08)
参数如下所示:

- mode:min/max两种模式。
- factor:调整系数。
- patience:“耐心”,接收几次不变化。
- cooldown:“冷却时间”,停止监控一段时间。
- verbose:是否打印日志。
- min_lr:学习率下限。
- eps:学习率衰减最小值。
举个栗子:
loss_value = 0.5
accuray = 0.9factor = 0.1
mode = "min"
patience = 10
cooldown = 10
min_lr = 1e-4
verbose = Truescheduler_lr = optim.lr_scheduler.ReduceLROnPlateau(optimizer, factor=factor, mode=mode, patience=patience,cooldown=cooldown, min_lr=min_lr, verbose=verbose)for epoch in range(max_epoch):for i in range(iteration):# train(...)optimizer.step()optimizer.zero_grad()# if epoch == 5:# loss_value = 0.4scheduler_lr.step(loss_value)
结果如下所示:
Epoch 12: reducing learning rate of group 0 to 1.0000e-02.
Epoch 33: reducing learning rate of group 0 to 1.0000e-03.
Epoch 54: reducing learning rate of group 0 to 1.0000e-04.
6.LambdaLR
功能:自定义调整策略。
torch.optim.lr_scheduler.LambdaLR(optimizer, lr_lambda, last_epoch=-1)
参数主要就一个:
lr_lambda:函数或list。
举个例子:
lr_init = 0.1weights_1 = torch.randn((6, 3, 5, 5))
weights_2 = torch.ones((5, 5))optimizer = optim.SGD([{'params': [weights_1]},{'params': [weights_2]}], lr=lr_init)lambda1 = lambda epoch: 0.1 ** (epoch // 20)
lambda2 = lambda epoch: 0.95 ** epochscheduler = torch.optim.lr_scheduler.LambdaLR(optimizer, lr_lambda=[lambda1, lambda2])lr_list, epoch_list = list(), list()
for epoch in range(max_epoch):for i in range(iteration):# train(...)optimizer.step()optimizer.zero_grad()scheduler.step()lr_list.append(scheduler.get_lr())epoch_list.append(epoch)print('epoch:{:5d}, lr:{}'.format(epoch, scheduler.get_lr()))plt.plot(epoch_list, [i[0] for i in lr_list], label="lambda 1")
plt.plot(epoch_list, [i[1] for i in lr_list], label="lambda 2")
plt.xlabel("Epoch")
plt.ylabel("Learning Rate")
plt.title("LambdaLR")
plt.legend()
plt.show()
结果如下图所示,一个是每隔20轮学习率下降为0.1倍,一个是指数衰减,底为0.95:
