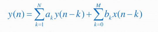
差分方程用于描述线性、时不变、因果滤波器
数字滤波器的差分方程表示为:

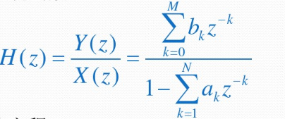
对应的系统函数/传递函数为:

a_k,b_k为滤波器系数
当a_k=0时,滤波器当前的输出仅依赖于输入,而不依赖过去的输出,称为非递归滤波器(FIR),M为非递归滤波器的阶数;
反之,滤波器当前的输出依赖于输入和过去的输出,称为递归滤波器(IIR),N为递归滤波器的阶数。
数字滤波器的特性通常用其频率响应函数
来描述,包括幅度特性
和相位特性
。
差分方程用于描述线性、时不变、因果滤波器
数字滤波器的差分方程表示为:

对应的系统函数/传递函数为:

a_k,b_k为滤波器系数
当a_k=0时,滤波器当前的输出仅依赖于输入,而不依赖过去的输出,称为非递归滤波器(FIR),M为非递归滤波器的阶数;
反之,滤波器当前的输出依赖于输入和过去的输出,称为递归滤波器(IIR),N为递归滤波器的阶数。
数字滤波器的特性通常用其频率响应函数
来描述,包括幅度特性
和相位特性
。
本文来自互联网用户投稿,该文观点仅代表作者本人,不代表本站立场。本站仅提供信息存储空间服务,不拥有所有权,不承担相关法律责任。如若转载,请注明出处:http://www.mzph.cn/news/490626.shtml
如若内容造成侵权/违法违规/事实不符,请联系多彩编程网进行投诉反馈email:809451989@qq.com,一经查实,立即删除!