
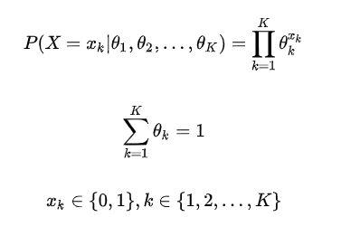
解释:
假设X有3种状态,分别为x_1,x_2,x_3,这三种状态的概率分别为0.1,0.7,0.2(分别对应θ_1,θ_2,θ_3)
例如现在要求x_2这种状态的概率,则x_1=0,x_2=1,x_3=0
代入公式:
θ_1^x_1=θ_1^0=1;
θ_2^x_2=θ_2=0.7;
θ_3^x_3=θ_3^0=1;
三者相乘=0.7

解释:
假设X有3种状态,分别为x_1,x_2,x_3,这三种状态的概率分别为0.1,0.7,0.2(分别对应θ_1,θ_2,θ_3)
例如现在要求x_2这种状态的概率,则x_1=0,x_2=1,x_3=0
代入公式:
θ_1^x_1=θ_1^0=1;
θ_2^x_2=θ_2=0.7;
θ_3^x_3=θ_3^0=1;
三者相乘=0.7
本文来自互联网用户投稿,该文观点仅代表作者本人,不代表本站立场。本站仅提供信息存储空间服务,不拥有所有权,不承担相关法律责任。如若转载,请注明出处:http://www.mzph.cn/news/490377.shtml
如若内容造成侵权/违法违规/事实不符,请联系多彩编程网进行投诉反馈email:809451989@qq.com,一经查实,立即删除!