20210405作业:
- 回归问题: 用随机梯度下降法实现,数据用data.csv。
- 分类问题: 用梯度下降实现逻辑回归,可以用批量梯度也可以用随机梯度实现。数据采用西瓜数据3.0α.csv。
1. SGD (Stochastic gradient descent)
# 导包
import numpy as np
import pandas as pd
import matplotlib.pyplot as plt
# 导文件
data = pd.DataFrame(pd.read_csv('数据集/data.csv'))
data

sgd:
- np.random.randn()取随机数组初始化w(符合正态分布),代替[0,0],在后续学习过程中更加合理 吴恩达机器学习——随机初始化(random initialization)
- W记录前一次j循环的结果,_W为当前j循环内时时更新的wj的储存数组,待所有wj全部更新完成后,用_W更新W。当前正在梯度更新的wj记入_W
- 每次进入i循环,初始化cost代价函数,最小二乘法计算代价 最小二乘法本质和原理(least sqaure method)。当前代价与上一代价pre_cost相减,直到逼近其最小值,即小于某一域值时,跳出i循环,返回W
- 和BGD很像,SGD交换i循环内,j和k循环的先后(当然,其后range也要同步替换)。
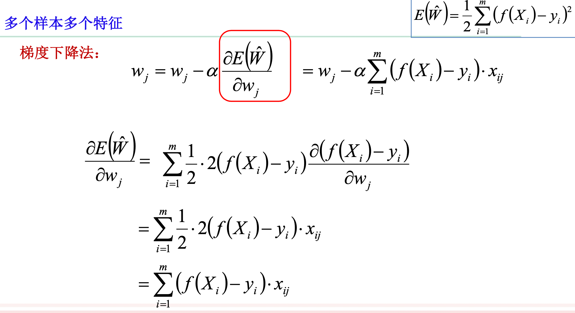
 BGD通过遍历所有点,依次更新wj;而SGD遍历一点,更新全部wj,再遍历下一点…所以,SGD可能在未遍历完所有点的情况下,找到符合设定域值的一组W,速度更快,但准确性有所下降
- 梯度下降就是一种根据代价函数的导数斜率去不断更改系数W,从而达到使导数接近于0,也就是代价函数达到极值点的一种算法





def sgd(x,y,alpha,n):"""sgd函数,求w:param x: 数据集的x属性list:param y: 数据集的y标签list:param alpha: 梯度下降学习率:param n: 循环次数:return: w随机梯度下降所求系数list"""# ww = np.random.randn(2)_w = np.empty(2, dtype=float)_w = w# 数据集样本数m,属性数dm = x.shape[0]d = w.shape[0]# 代价pre_cost = 0for i in range(n):for k in range(m):for j in range(d):_w[j] = _w[j]-alpha*(w[0]*x[k][0]+w[1]*x[k][1]-y[k])*x[k][j]for j in range(d):w[j] = _w[j]cost = 0for k in range(m):cost += (w[0]*x[k][0]+w[1]*x[k][1]-y[k])**2cost = cost/mif abs(cost-pre_cost)<0.001:break;pre_cost=costreturn w
注:
- pandas的.values以array形式返回制定column的取值
# 构造x列表
x_list = []
x_arr = data['x'].values
for i in range(x_arr.shape[0]):temp = [1,x_arr[i]]x_list.append(temp)
x_list = np.array(x_list)
x_list

# 构造y列表
y_list = np.array(data['y'].values)
y_list

# 计算w
w = sgd(x_list,y_list,alpha=0.00000005,n=10000)
w

注:
- np.linspace(start, stop, num, endpoint=True, retstep=False, dtype=None):
 在指定的start和stop,返回固定间隔num的数据
- plt.scatter(X[], Y[]):“撒点”
# 绘图
x = np.linspace(400,900,100)
y = w[1]*x + w[0]
plt.title('Graph of SGD')
plt.plot(x,y,color='green')
plt.scatter(data['x'].values, data['y'].values)
plt.grid()
plt.xlabel('x')
plt.ylabel('y')
plt.show()

2. LR (Logistic Regression)
# 导数据,并简单查看一下,发现没有表头,所以加上表头x1,x2和y
xg_data = pd.DataFrame(pd.read_csv('数据集/西瓜数据3.0α.csv', header=None, names=['x1', 'x2', 'y']))
xg_data.head(5)

sigmoid:
- S形曲线,g(z)=1/(1+exp(-z)),表示落在某值的概率
- z是np.mat类型的,那么需要用np.exp而不是math.exp()
- Sigmoid曲线的’中点’,也就是g(z)=0.5那点,表示概率是50%,将正反例分隔开,
 令z=0,即WX+b=0,可求得决策边界(- Decision Boundary),
 plot_x2 = -w[0]/w[2]-(w[1]/w[2])plot_x1
Sigmoid函数概念
 机器学习中 Sigmoid 函数的物理含义
LR:
- 这里求W采用BGD矩阵法
- 这里的代价函数cost本质上是通过极大似然估计得出的,在上文课件里有具体步骤
极大似然估计原理(Maximum Likelihood Estimate)



def sigmoid(z):return 1/(1+np.exp(-z))def LR(x, y, alpha, n):"""计算逻辑回归的w:param x: 样本属性:param y: 样本标签:param alpha: 学习率:param n: 循环次数:return: sigmoid曲线的变量w"""# 样本数mm = x.shape[0]w = np.mat(np.random.randn(x.shape[1],1))pre_cost = 0for i in range(n):f = sigmoid(x*w)w = w + alpha*x.T*(y-f)cost = (y.T*np.log(f)+(1-y).T*np.log(1-f))/mif abs(pre_cost-cost)<0.0001:breakpre_cost = costreturn w
注:
- zip将两list合并成tuple列表,从而构造X矩阵。
 这里因为zip在python新版本中返回的是地址,而要显示得用- list()转换成列表。
 当然也可以用- [:,:]来切片,都可以啦
- np.insert(arr,obj,values,axis=None):arr原matrix,
 obj插入位置,values插入新矩阵值,axis若不设置,则会降维
- np.reshape()中,后参数[x,y]指定重塑成x行y列的ndarray,
 若x或y为-1,则表明在满足另一维度的情况下,自动调整当前维度元素个数
- (matrix).getA()返回matrix的数组,因为matplotlib作图时,需要array而不是matrix型数据
- 作图时,用到了布尔去筛选所需样本点
# 获取样本属性X的矩阵
x = list(zip(list(xg_data['x1']), list(xg_data['x2'])))
x = np.mat(x)
one_mat = np.ones(x.shape[0])
x = np.insert(x, 0,values=one_mat, axis=1)
x

# 获取样本标签Y的矩阵
y = np.mat(np.reshape(np.asarray(xg_data['y']), [-1,1]))
y

# 求w
w = LR(x, y, alpha=0.5, n=100000)
w = w.getA()
w

# 结果展示
bl_mat = xg_data['y']==1
plt.scatter(xg_data['x1'][bl_mat], xg_data['x2'][bl_mat], c='green', label='Positive')
plt.scatter(xg_data['x1'][bl_mat!=True], xg_data['x2'][bl_mat!=True], c='red', label='Negative')
plt.xlabel('x1')
plt.ylabel('x2')
plot_x1 = np.linspace(0.1, 0.8, 100)
plot_x2 = -w[0][0]/w[2][0]-(w[1][0]/w[2][0])*plot_x1
plt.plot(plot_x1, plot_x2, color='blue', label='Decision Boundary')
plt.grid()
plt.legend()
plt.show()
