文章目录
- 1.预备知识
- 1.1 二叉树定义
- 1.2 二叉树的构造
- 2.路径总和 II
- 2.1 题目描述
- 2.2 算法思路
- 2.3 C++实现
- 3.二叉树的最近公共祖先
- 3.1 题目描述
- 3.2 解题思路
- 3.3 C++实现
- 4.二叉树展开为链表
- 4.1 题目描述
- 4.2 思考
- 4.3 C++实现
- 4.4 解法二
- 4.5 C++实现
- 5.二叉树的右视图
- 5.1 预备知识
- 5.2 题目描述
- 5.3 解题思路
- 5.4 C++实现
- 6. 课程表
- 6.1 预备知识
- 6.1.1 什么是图?
- 6.1.2 图的表示
- 6.1.3 图的深度优先遍历
- 6.1.4 图的宽度优先遍历
- 6.2 题目描述
- 6.3 分析
- 6.4 C++代码实现
1.预备知识
1.1 二叉树定义

1.2 二叉树的构造


2.路径总和 II
2.1 题目描述
给你二叉树的根节点 root 和一个整数目标和 targetSum ,找出所有 从根节点到叶子节点 路径总和等于给定目标和的路径。
叶子节点 是指没有子节点的节点。
2.2 算法思路





2.3 C++实现
/*** Definition for a binary tree node.* struct TreeNode {* int val;* TreeNode *left;* TreeNode *right;* TreeNode() : val(0), left(nullptr), right(nullptr) {}* TreeNode(int x) : val(x), left(nullptr), right(nullptr) {}* TreeNode(int x, TreeNode *left, TreeNode *right) : val(x), left(left), right(right) {}* };*/
class Solution {
public:vector<vector<int>> pathSum(TreeNode* root, int targetSum) {vector<vector<int>> result;vector<int> path;int path_value=0;preorder(root,path_value,targetSum,path,result);return result;}
private:void preorder(TreeNode* Node,int &path_value,int sum,vector<int> &path,vector<vector<int>> &result){if(!Node){return;}path_value+=Node->val;path.push_back(Node->val);if(path_value==sum&&Node->left==nullptr&&Node->right==nullptr){result.push_back(path);}preorder(Node->left,path_value,sum,path,result);preorder(Node->right,path_value,sum,path,result);path_value-=Node->val;path.pop_back();}
};
3.二叉树的最近公共祖先
3.1 题目描述
给定一个二叉树, 找到该树中两个指定节点的最近公共祖先。
百度百科中最近公共祖先的定义为:“对于有根树 T 的两个节点 p、q,最近公共祖先表示为一个节点 x,满足 x 是 p、q 的祖先且 x 的深度尽可能大(一个节点也可以是它自己的祖先)。”
3.2 解题思路

3.3 C++实现
/*** Definition for a binary tree node.* struct TreeNode {* int val;* TreeNode *left;* TreeNode *right;* TreeNode(int x) : val(x), left(NULL), right(NULL) {}* };*/
class Solution {
public:TreeNode* lowestCommonAncestor(TreeNode* root, TreeNode* p, TreeNode* q) {vector<TreeNode*> path;vector<TreeNode*> node_p_path;vector<TreeNode*> node_q_path;int finish=0;preorder(root,p,path,node_p_path,finish);path.clear();finish=0;preorder(root,q,path,node_q_path,finish);int path_length=0;if(node_p_path.size()<node_q_path.size()){path_length=node_p_path.size();}else{path_length=node_q_path.size();}TreeNode* result=0;for(int i=0;i<path_length;i++){if(node_p_path[i]==node_q_path[i]){result=node_p_path[i];}}return result;}private:void preorder(TreeNode* Node,TreeNode* search,vector<TreeNode*>& path,vector<TreeNode*>& result,int finish){if(!Node||finish==1){return;}path.push_back(Node);if(Node==search){finish=1;result=path;}preorder(Node->left,search,path,result,finish);preorder(Node->right,search,path,result,finish);path.pop_back();}
};
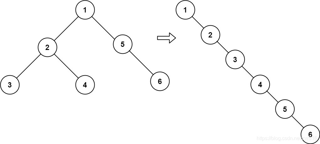
4.二叉树展开为链表
4.1 题目描述
给你二叉树的根结点 root ,请你将它展开为一个单链表:
展开后的单链表应该同样使用 TreeNode ,其中 right 子指针指向链表中下一个结点,而左子指针始终为 null 。
展开后的单链表应该与二叉树 先序遍历 顺序相同。

4.2 思考

4.3 C++实现
/*** Definition for a binary tree node.* struct TreeNode {* int val;* TreeNode *left;* TreeNode *right;* TreeNode() : val(0), left(nullptr), right(nullptr) {}* TreeNode(int x) : val(x), left(nullptr), right(nullptr) {}* TreeNode(int x, TreeNode *left, TreeNode *right) : val(x), left(left), right(right) {}* };*/
class Solution {
public:void flatten(TreeNode* root) {vector<TreeNode*> node_vec;preorder(root,node_vec);for(int i=1;i<node_vec.size();i++){node_vec[i-1]->left=nullptr;node_vec[i-1]->right=node_vec[i];}}
private:void preorder(TreeNode* Node,vector<TreeNode*> &node_vec){if(!Node){return;}node_vec.push_back(Node);preorder(Node->left,node_vec);preorder(Node->right,node_vec);}
};
4.4 解法二



4.5 C++实现
/*** Definition for a binary tree node.* struct TreeNode {* int val;* TreeNode *left;* TreeNode *right;* TreeNode() : val(0), left(nullptr), right(nullptr) {}* TreeNode(int x) : val(x), left(nullptr), right(nullptr) {}* TreeNode(int x, TreeNode *left, TreeNode *right) : val(x), left(left), right(right) {}* };*/
class Solution {
public:void flatten(TreeNode* root) {TreeNode* last=nullptr;preorder(root,last);}private:void preorder(TreeNode* Node,TreeNode* &last){if(!Node){return;}if(!Node->left&&!Node->right){last=Node;return;}TreeNode* left=Node->left;TreeNode* right=Node->right;TreeNode* left_last=nullptr;TreeNode* right_last=nullptr;if(left){preorder(left,left_last);Node->left=nullptr;Node->right=left;last=left_last;}if(right){preorder(right,right_last);if(left_last){left_last->right=right;}last=right_last;}}
};
5.二叉树的右视图
5.1 预备知识


#include <iostream>
#include<queue>
using namespace std;struct TreeNode {int val;TreeNode* left;TreeNode* right;TreeNode(int x):val(x),left(NULL),right(NULL){}
};
void BFS_print(TreeNode* root) {queue<TreeNode*> Q;Q.push(root);while (Q.size()) {TreeNode* node = Q.front();Q.pop();cout << node->val << endl;if (node->left) {Q.push(node->left);}if (node->right) {Q.push(node->right);}}
}
int main()
{TreeNode tree1(1);TreeNode tree2(11);TreeNode tree3(9);TreeNode tree4(3);TreeNode tree5(0);TreeNode tree6(2);TreeNode tree7(8);tree1.left = &tree2;tree1.right = &tree3;tree2.left = &tree4;tree2.right = &tree5;tree3.left = &tree6;tree3.right = &tree7;BFS_print(&tree1);return 0;
}
5.2 题目描述
给定一棵二叉树,想象自己站在它的右侧,按照从顶部到底部的顺序,返回从右侧所能看到的节点值。
5.3 解题思路

5.4 C++实现
/*** Definition for a binary tree node.* struct TreeNode {* int val;* TreeNode *left;* TreeNode *right;* TreeNode() : val(0), left(nullptr), right(nullptr) {}* TreeNode(int x) : val(x), left(nullptr), right(nullptr) {}* TreeNode(int x, TreeNode *left, TreeNode *right) : val(x), left(left), right(right) {}* };*/
class Solution {
public:vector<int> rightSideView(TreeNode* root) {vector<int> view;queue<pair<TreeNode*,int>> Q;if(root){Q.push(make_pair(root,0));}while(!Q.empty()){TreeNode *node=Q.front().first;int depth=Q.front().second;Q.pop();if(depth==view.size()){view.push_back(node->val);}else{view[depth]=node->val;}if(node->left){Q.push(make_pair(node->left,depth+1));}if(node->right){Q.push(make_pair(node->right,depth+1));}}return view;}
};
6. 课程表
6.1 预备知识
6.1.1 什么是图?

6.1.2 图的表示


6.1.3 图的深度优先遍历

6.1.4 图的宽度优先遍历

6.2 题目描述
你这个学期必须选修 numCourses 门课程,记为 0 到 numCourses - 1 。
在选修某些课程之前需要一些先修课程。 先修课程按数组 prerequisites 给出,其中 prerequisites[i] = [ai, bi] ,表示如果要学习课程 ai 则 必须 先学习课程 bi 。
例如,先修课程对 [0, 1] 表示:想要学习课程 0 ,你需要先完成课程 1 。
请你判断是否可能完成所有课程的学习?如果可以,返回 true ;否则,返回 false 。
6.3 分析




6.4 C++代码实现
struct GraphNode{int label;vector<GraphNode*> neighbors;GraphNode(int x):label(x){};
};
class Solution {
public:bool canFinish(int numCourses, vector<vector<int>>& prerequisites) {vector<GraphNode*> graph;vector<int> degree;for(int i=0;i<numCourses;i++){graph.push_back(new GraphNode(i));degree.push_back(0);}for(int i=0;i<prerequisites.size();i++){GraphNode* begin=graph[prerequisites[i][1]];GraphNode* end=graph[prerequisites[i][0]];begin->neighbors.push_back(end);degree[prerequisites[i][0]]++;}queue<GraphNode*> Q;for(int i=0;i<numCourses;i++){if(degree[i]==0){Q.push(graph[i]);}}while(!Q.empty()){GraphNode* node=Q.front();Q.pop();for(int i=0;i<node->neighbors.size();i++){degree[node->neighbors[i]->label]--;if(degree[node->neighbors[i]->label]==0){Q.push(node->neighbors[i]);}}}for(int i=0;i<numCourses;i++){delete graph[i];}for(int i=0;i<degree.size();i++){if(degree[i]){return false;}}return true;}
};