浅入深出被人看扁的逻辑回归!

好像在各种机器学习入门教程中,逻辑回归模型(Logistic/Logit Regression)经常被拿来作为入门的机器学习模型,比如我家的Andrew Ng就是这样做的。

看起来,逻辑回归模型实在太简单,甚至容易被认为是一个拍脑袋想出的naïve的模型。今天,小夕就非要把它当做宝贝好好夸一夸,哼哼哼...

 

流水账一样的看似没毛病而且简单易懂的讲法是这样的:

浅入

怎么将n维向量X=[x1,x2,...,xn]映射成一个点y呢?很容易想到就是将向量X与另一个向量做内积啦。这个向量我们称为参数θ,即θ=[θ1, θ2 ,..., θn]。所以做内积就是X*θ’【即行向量X乘以(行向量θ的转置)】得到一个数。

 

但是如果X=[0, 0, 0, ..., 0]时,输出y应等于1,那怎么办呢?这时X*θ’肯定也是0 呀。。。所以为了解决这个问题,要再加个常数b,所以现在是X*θ’+b。我们为了看起来好看简洁,在X的最开头加个1,把b扔到θ的最开头,所以就成了新版的X*θ’,当然此时X=[1,X], θ=[b,θ]

 

好像还不行,因为这时的值域是(-∞,+∞)呀,可是我们要得到的是0或者1,模型给我输出一个100000是怎么回事。。。所以要把值域限制一下啦,将值域正负无穷改为(0, 1),怎么改呢?出现了下面这个sigmoid函数:

 

 

在这个函数的限制下,哪怕输入为正无穷,输出也不会大于1,同样输入为负无穷,输出也不会为小于-1。所以现在模型成了:

sigmoid(X*θ’)。

 

这时,我们只需要认为当模型输出值大于0.5时,就认为是逻辑1;当输出值小于0.5时,就认为是逻辑0。预测函数(假设函数)完成!即htheta(X)= sigmoid(X*θ’),有了这个函数,我们就可以给样本贴类别标签啦。

 

好咯,然后还差什么?当然是训练模型用的损失函数/代价函数/目标函数啦。损失函数是什么呢?

 

 

诶?看起来很不错呀,仔细一看也能模模糊糊的看明白,反正当类别预测值与实际类别完全对起来的时候,J(θ)确实等于0的。

 

所以最后要干嘛呢?当然是得到我们的迭代公式然后梯度下降法啦。一求导就得到了下面的公式

 

 

然后坐等J(θ)收敛,从而得到最优模型参数θ了...

 

上面的讲解看起来没毛病呀~难道每一步真的都是这么恰好的信手拈来的吗?

前方超高能预警!

深出

 

慢慢来~从回归开始讲起啦。

 

回归的含义在高中就学过了,不过可能被老师解释的比较naïve(都忘了老师怎么讲的了。。。)。一个抽象而准确的描述是“回归即为两个或多个随机变量之间的相关关系建立数学模型”。设想一下,如果我们仅考虑两个随机变量,并且将其中一个随机变量看作机器学习的输入,也就是特征向量X,将另一个随机变量看作机器学习的输出,也就是类别预测y。那么...回归的意思是...

 

用一个数学模型直接描绘出X到y的映射关系!

 

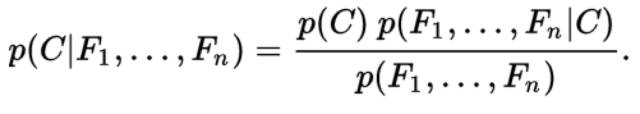
如果还不懂的话,想一想我们之前的朴素贝叶斯模型是怎么用X训练模型求y的?是不是用贝叶斯定理呀~也就是下面这样:

 

 

等式左边就是随机变量y,而等式右边并不是直接用X表示的,而是用其他东西间接描述y。

 

所以!回归就是要直接用X描绘出y!是直接!

 

当随机变量X与随机变量y呈线性关系时,如果我们要用回归模型来描述这两个随机变量的关系,那么这里的回归模型是什么样子的呢?相信机智的你肯定想到啦,这里就是高中就学过的线性回归模型:y=aX+b。

 

那么当随机变量X与随机变量y呈。。。逻辑关系时呢?(逻辑不就是0/1嘛),也就是说当随机变量X取某值时,随机变量Y为某一个逻辑值(0或1),那么这里的回归模型是什么样子的呢?相信机智的你肯定想到啦,这里就是大学都没学过的逻辑回归模型:?????=?????

 

hhhh,小夕太调皮是不是不太好吖~

 

其实我们仔细想一下,逻辑回归模型是难以像线性回归一样直接写出类似于y=aX+b这么简洁的形式的,因为y的取值为离散的,只有0和1,所以要怎么表示呢?当然是用模型分别表示y取0的概率和y取1的概率了。也就是用模型表示出P(y=1|X)和P(y=0|X)。

 

其实为某种形式的回归建立数学模型并不是一件容易的事情,经过先烈的曲折探索,得出了一个神奇的公式,称为logit公式:

 

 

诶?看似简洁,然而有什么用呢?里面既没有X也没有y呀。。。

 

先等等,还记得深度学习中经常加在神经网络的顶层来求后验概率P(y=j|X)的softmax函数吗?对就是下面这个熟悉的函数:

 

 

对于我们的二分类问题来说,有P(y=0|X)+P(y=1|X)=1,那么如果我们令logit公式中的Q=P(y=0|X)呢?然后P(y=0|X)用softmax函数表示呢?是不是突然被下面推导的过程和结果惊呆了!!!:

 

 

而xTΔw的值不就是反映感知机模型的输出嘛!(即xTΔw>0则预测类别为正,xTΔw<0则预测类别为负)

 

我们再把xTΔw整理的好看一点,变成更正常的形式:w·x+b。然后就可以得到下面的结论!!!:

 

 

这就是我们前面苦苦寻找的逻辑回归模型!看,随机变量X与随机变量Y的关系竟然直接纳入了一个模型下面!也就是说后验概率直接用随机变量X表示了出来!而不是像贝叶斯定理一样间接表示后验概率。

 

有了上面直接表示的后验概率,于是建立似然函数,通过极大似然估计来确定模型的参数。因此设:

 

 

似然函数就表示为

 

对数似然函数即:

 

 

也就是本文的“浅入”环节的损失函数啦,原来是正儿八经的一步步推出来的!剩下的就交给梯度下降法优化出模型参数吧!

 

好咯,小夕只能帮你把逻辑回归模型挖的这么深啦,据说有更深的理解的,然而小夕已经驾驭不了了T_T。

本文来自互联网用户投稿,该文观点仅代表作者本人,不代表本站立场。本站仅提供信息存储空间服务,不拥有所有权,不承担相关法律责任。如若转载,请注明出处:http://www.mzph.cn/news/481249.shtml

如若内容造成侵权/违法违规/事实不符,请联系多彩编程网进行投诉反馈email:809451989@qq.com,一经查实,立即删除!

相关文章

全球Web3技术产业生态发展报告(2022年)

来源&#xff1a;中国信息通信研究院编辑&#xff1a;蒲蒲Web3不只是互联网应用层的简单创新&#xff0c;可能会带来互联网体系架构整体性演进和系统性升级。党中央、国务院高度关注下一代互联网创新发展&#xff0c;在关键核心技术突破、新型基础设施建设、融合创新应用赋能等…

算法工程师笔试 -剑指offer-习题详细解答

说明 主要编程语言为 C/C涉及字符串的问题可能会使用 Python题目编号以原书为准&#xff0c;如“面试题 3&#xff1a;数组中重复的数字” 因为题目不多&#xff0c;所以就不做分类了 所有代码均通过 OJ 测试 在线 OJ 地址&#xff1a;剑指Offer_编程题 - 牛客网 Reference 《…

深入深出Sigmoid与Softmax的血缘关系

缘起逻辑回归逻辑回归模型是用于二类分类的机器学习模型&#xff08;不要说逻辑回归可以做多类分类啊喂&#xff0c;那是二类分类器的组合策略问题&#xff0c;而与逻辑回归分类器本身的构造没有半毛钱关系啊&#xff09;。我们知道&#xff0c;在逻辑回归中&#xff0c;用于预…

科学家使用机器学习获得前所未有的小分子视图

编辑 | 绿萝数以千计的不同小分子&#xff08;称为代谢物&#xff09;在整个人体中传输能量和传递细胞信息。由于它们非常小&#xff0c;因此很难在血液样本分析中将代谢物彼此区分开来——但识别这些分子对于了解运动、营养、饮酒和代谢紊乱如何影响健康非常重要。尽管在过去十…

【错误纠正】关于文章《绕开数学,讲讲信息论》

感谢细心的读者【秋水】的提醒&#xff0c;在文章《绕开数学&#xff0c;讲讲信息论》中&#xff0c;对互信息的表述有误。错误原文如下&#xff1a;互信息也是说两个事件/随机变量之间的事儿。X与Y的互信息就是X的自信息&#xff08;熵&#xff09;减去【已知X的情况下&#x…

五大常用算法总结(穷举法, 贪婪算法,动态规划算法,分治算法,分支限界算法)

版权声明&#xff1a;本文为博主原创文章&#xff0c;未经博主允许不得转载。 https://blog.csdn.net/changyuanchn/article/details/51476281 </div><link rel"stylesheet" href"https://csdnimg.cn/release/phoenix/template/css/ck_htmledit…

【Brain】脑洞从何而来?加州大学最新研究:有创造力的人神经连接会「抄近道」...

来源&#xff1a;量子位为什么有的人更富创造力&#xff1f;总能想到别人不会想到的东西&#xff0c;做别人想不到做的事&#xff1f;最近&#xff0c;这个问题的答案被找到了&#xff1a;有创造力的人&#xff0c;大脑里的神经活动会“抄近道”。加州大学洛杉矶分校的研究人员…

一位老师,一位领导,一个让全体学生考上目标学校的故事

今天&#xff0c;小夕给大家讲一个故事... 从前&#xff0c;有座山...​ 山里&#xff0c;有座学校... 学校里&#xff0c;有一位老师&#xff0c;一位领导&#xff0c;还有五只可爱的小仙(学)女(生)。 这5个学生的名字是&#xff1a;小兔&#xff0c;小青&#xff0c;小路&…

小冰李笛:ChatGPT在向“让你认为它有知识”的方向发展 | MEET 2023

来源&#xff1a;量子位衡宇 整理自 MEET2023ChatGPT技惊四座&#xff0c;甚至不少人认为它已经能“取代搜索引擎”。然而就在MEET2023智能未来大会上&#xff0c;却出现了这样一种迥然相异的观点&#xff1a;未来5年里&#xff0c;大家想要获取知识&#xff0c;最好的方法还是…

特征工程到底是什么?2019百度实习生招聘试题之一

https://www.zhihu.com/question/29316149/answer/110159647

从前,有只小仙女叫...

从前&#xff0c;有只小仙女叫小音✧٩(ˊωˋ*)و✧这一篇真的不是小夕萌的技术文啦(&#xffe3;∇&#xffe3;)今天小夕给大家推送一点好玩的东西~毕竟高中老师说过&#xff0c;不能只学不玩嘛(&#xffe3;∇&#xffe3;)虽然小夕以萌著称\(//∇//)\&#xff0c;但是在da…

DeepMind新研究:AI也懂合纵连横

摘要人类文明的成功&#xff0c;植根于我们通过沟通和制定共同计划进行合作的能力。人工智能主体面临着与人类类似的问题。最近&#xff0c;人工智能公司 DeepMind 展示了AI如何利用沟通在桌游“强权外交”中更好地合作。研究发现&#xff0c;沟通主体容易受到背叛协议者的负面…

从逻辑回归到神经网络

回顾小夕在文章《逻辑回归》中详细讲解了逻辑回归模型&#xff0c;又在《Sigmoid与Softmax》中详细讲解了Sigmoid的实际意义&#xff08;代表二类分类问题中&#xff0c;其中一个类别的后验概率&#xff09;。至此&#xff0c;我们已经比较透彻的理解了逻辑回归模型假设函数(也…

华为2019年校招(20届实习)机考题python版解答与思路(2019-3-13软件题)

试题为今天考试时记下&#xff0c;记于此仅做学习分享。侵删。 答案思路仅供参考&#xff0c;肯定有更优的办法&#xff01;第三题没解出来&#xff0c;欢迎大家评论提点&#xff01; 第一题&#xff1a; 这道题对输入做切分&#xff08;调用split()方法&#xff09;后&#xf…

语言模型生成了自然界不存在的蛋白质,图灵奖得主LeCun:蛋白质编程来了

来源&#xff1a;药学前沿进展Meta&#xff1a;设计蛋白质这件事&#xff0c;语言模型就能干。用机器学习去研究蛋白质结构预测&#xff0c;吸引了众多科技大厂、科研机构的目光纷纷投入其中&#xff0c;这期间&#xff0c;他们也产出了重要成果。如在 2021 年 《Science》的十…

神经网络中的偏置项b到底是什么?

前言很多人不明白为什么要在神经网络、逻辑回归中要在样本X的最前面加一个1&#xff0c;使得 X[x1,x2,…,xn] 变成 X[1,x1,x2,…,xn] 。因此可能会犯各种错误&#xff0c;比如漏了这个1&#xff0c;或者错误的将这个1加到WX的结果上&#xff0c;导致模型出各种bug甚至无法收敛。…

【重版】朴素贝叶斯与拣鱼的故事

重版公告由于小夕之后要讲的好几篇文章要基于这一篇的知识&#xff0c;但是以前写的的这篇文章对朴素贝叶斯的讨论不够深入&#xff0c;又不值得再额外写一篇朴素贝叶斯啦&#xff0c;因此本文重版了以前的文章《朴素贝叶斯》。与旧版相比&#xff0c;新版对基础知识的讲解进行…

2022,这些国之重器让人眼前一亮!

来源&#xff1a;新华社2022即将收官这一年我们有许多难忘的回忆回顾&#xff0c;是为了更好出发我们将这一年各领域走过的壮阔征程制作成了精美的系列海报第一期让我们来看看那些让人眼前一亮的国之重器它们——上天入海&#xff01;乘风破浪&#xff01;贯通聚能&#xff01;…

“猜心思”的Hard模式:问答系统在智能法律场景的实践与优化

http://www.zhuanzhi.ai/document/a6d4c42cdd38abe83aa71e744c0e8e89