1. 题目
公司里有 n 名员工,每个员工的 ID 都是独一无二的,编号从 0 到 n - 1。公司的总负责人通过 headID 进行标识。
在 manager 数组中,每个员工都有一个直属负责人,其中 manager[i] 是第 i 名员工的直属负责人。对于总负责人,manager[headID] = -1。题目保证从属关系可以用树结构显示。
公司总负责人想要向公司所有员工通告一条紧急消息。他将会首先通知他的直属下属们,然后由这些下属通知他们的下属,直到所有的员工都得知这条紧急消息。
第 i 名员工需要 informTime[i] 分钟来通知它的所有直属下属(也就是说在 informTime[i] 分钟后,他的所有直属下属都可以开始传播这一消息)。
返回通知所有员工这一紧急消息所需要的 分钟数 。
示例 1:
输入:n = 1, headID = 0, manager = [-1], informTime = [0]
输出:0
解释:公司总负责人是该公司的唯一一名员工。
示例 2:

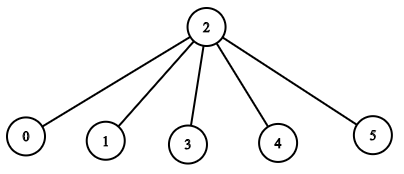
输入:n = 6, headID = 2, manager = [2,2,-1,2,2,2], informTime = [0,0,1,0,0,0]
输出:1
解释:id = 2 的员工是公司的总负责人,也是其他所有员工的直属负责人,
他需要 1 分钟来通知所有员工。
上图显示了公司员工的树结构。
示例 3:

输入:n = 7, headID = 6, manager = [1,2,3,4,5,6,-1],
informTime = [0,6,5,4,3,2,1]
输出:21
解释:总负责人 id = 6。他将在 1 分钟内通知 id = 5 的员工。
id = 5 的员工将在 2 分钟内通知 id = 4 的员工。
id = 4 的员工将在 3 分钟内通知 id = 3 的员工。
id = 3 的员工将在 4 分钟内通知 id = 2 的员工。
id = 2 的员工将在 5 分钟内通知 id = 1 的员工。
id = 1 的员工将在 6 分钟内通知 id = 0 的员工。
所需时间 = 1 + 2 + 3 + 4 + 5 + 6 = 21 。示例 4:
输入:n = 15, headID = 0, manager = [-1,0,0,1,1,2,2,3,3,4,4,5,5,6,6],
informTime = [1,1,1,1,1,1,1,0,0,0,0,0,0,0,0]
输出:3
解释:第一分钟总负责人通知员工 1 和 2 。
第二分钟他们将会通知员工 3, 4, 5 和 6 。
第三分钟他们将会通知剩下的员工。示例 5:
输入:n = 4, headID = 2, manager = [3,3,-1,2], informTime = [0,0,162,914]
输出:1076提示:
1 <= n <= 10^5
0 <= headID < n
manager.length == n
0 <= manager[i] < n
manager[headID] == -1
informTime.length == n
0 <= informTime[i] <= 1000
如果员工 i 没有下属,informTime[i] == 0 。
题目 保证 所有员工都可以收到通知。
来源:力扣(LeetCode)
链接:https://leetcode-cn.com/problems/time-needed-to-inform-all-employees
著作权归领扣网络所有。商业转载请联系官方授权,非商业转载请注明出处。
2. 解题
- 从叶子(时间等于0的开始往上找)
class Solution {
public:int numOfMinutes(int n, int headID, vector<int>& manager, vector<int>& informTime) {if(n == 1)return informTime[0];//1个人,直接返回他的时间int i, t = 0, tmax = 0, leader;for(i = 0; i < n; i++)//n个人{if(informTime[i] == 0)//底层员工{t = 0;leader = manager[i];//他的领导编号while(manager[leader] != -1)//领导的上级编号不为-1{t += informTime[leader];//时间累加leader = manager[leader];//往上找再上一级}t += informTime[leader];//最后一个领导if(t > tmax)tmax = t;//更新最大值}}return tmax;}
};
执行用时:488 ms
内存消耗:87.8 MB