1. 题目
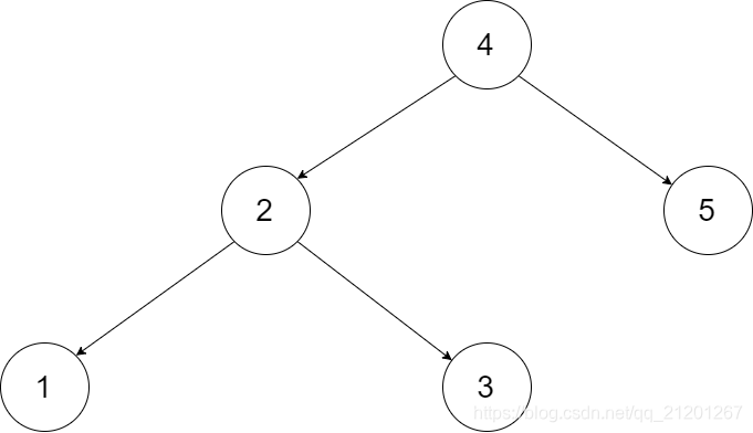
输入一棵二叉搜索树,将该二叉搜索树转换成一个排序的循环双向链表。要求不能创建任何新的节点,只能调整树中节点指针的指向。


特别地,我们希望可以就地完成转换操作。当转化完成以后,树中节点的左指针需要指向前驱,树中节点的右指针需要指向后继。还需要返回链表中的第一个节点的指针。
2. 解题
- 中序遍历
- 循环解法
循环写法总结如下:

class Solution {
public:Node* treeToDoublyList(Node* root) {if(!root)return NULL;bool foundHead = false;Node* head, *prev = NULL;stack<Node*> s;while(root || !s.empty()){while(root){s.push(root);root = root->left;}if(!foundHead){head = s.top();foundHead = true;}root = s.top()->right;if(prev)prev->right = s.top(); s.top()->left = prev;prev = s.top();s.pop();}head->left = prev;//prev存的是最后一个prev->right = head;return head;}
};
-递归解法
class Solution {Node *head = NULL, *prev = NULL, *tail = NULL;
public:Node* treeToDoublyList(Node* root) {if(!root)return NULL;inorder(root);head->left = tail;tail->right = head;return head;}void inorder(Node* root){if(!root)return;inorder(root->left);if(!prev)head = root;elseprev->right = root;root->left = prev;prev = root;tail = root;inorder(root->right);}
};
