1. 题目
给你一棵有 n 个节点的无向树,节点编号为 0 到 n-1 ,它们中有一些节点有苹果。
通过树上的一条边,需要花费 1 秒钟。
你从 节点 0 出发,请你返回最少需要多少秒,可以收集到所有苹果,并回到节点 0 。
无向树的边由 edges 给出,其中 edges[i] = [fromi, toi] ,表示有一条边连接 from 和 toi 。
除此以外,还有一个布尔数组 hasApple ,其中 hasApple[i] = true 代表节点 i 有一个苹果,否则,节点 i 没有苹果。
示例 1:

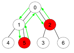
输入:n = 7, edges = [[0,1],[0,2],[1,4],[1,5],[2,3],[2,6]],
hasApple = [false,false,true,false,true,true,false]
输出:8
解释:上图展示了给定的树,其中红色节点表示有苹果。
一个能收集到所有苹果的最优方案由绿色箭头表示。
示例 2:

输入:n = 7, edges = [[0,1],[0,2],[1,4],[1,5],[2,3],[2,6]],
hasApple = [false,false,true,false,false,true,false]
输出:6
解释:上图展示了给定的树,其中红色节点表示有苹果。
一个能收集到所有苹果的最优方案由绿色箭头表示。示例 3:
输入:n = 7, edges = [[0,1],[0,2],[1,4],[1,5],[2,3],[2,6]],
hasApple = [false,false,false,false,false,false,false]
输出:0提示:
1 <= n <= 10^5
edges.length == n-1
edges[i].length == 2
0 <= fromi, toi <= n-1
fromi < toi
hasApple.length == n
来源:力扣(LeetCode)
链接:https://leetcode-cn.com/problems/minimum-time-to-collect-all-apples-in-a-tree
著作权归领扣网络所有。商业转载请联系官方授权,非商业转载请注明出处。
2. 解题
- 由题目条件可知向上走的路径只有1个分支,把反向的路径存在哈希map里
- 遍历hasApple数组,对有苹果的序号,进行dfs往上找,找到一条边,就在哈希表里删除一条
- 最后返回边的个数乘以2
class Solution {
public:int minTime(int n, vector<vector<int>>& edges, vector<bool>& hasApple) {unordered_map<int,int> up;//向上走的路径for(vector<int> & e : edges)up[e[1]] = e[0];int s = 0;for(int i = 0; i < hasApple.size(); ++i){if(hasApple[i])dfs(i, up, s);}return 2*s;}void dfs(int i, unordered_map<int,int>& up, int& s){if(up.count(i)){s++;int to = up[i];//上层节点up.erase(i);//删除边dfs(to,up,s);}}
};
360 ms 56.3 MB