1. 题目
你的任务是计算 ab 对 1337 取模,a 是一个正整数,b 是一个非常大的正整数且会以数组形式给出。
示例 1:
输入: a = 2, b = [3]
输出: 8示例 2:
输入: a = 2, b = [1,0]
输出: 1024
来源:力扣(LeetCode) 链接:https://leetcode-cn.com/problems/super-pow
著作权归领扣网络所有。商业转载请联系官方授权,非商业转载请注明出处。
2. 解题
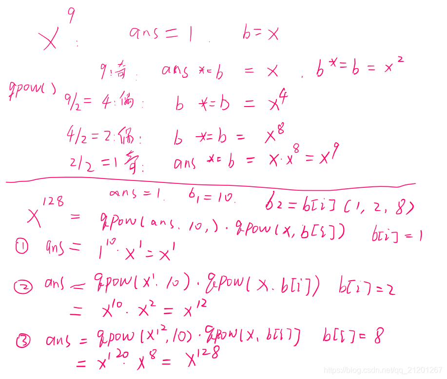
类似题目:LeetCode 50. Pow(x, n)(二分查找)

class Solution {
public:int superPow(int a, vector<int>& b) {int ans = 1, i;for(i = 0; i < b.size(); ++i)ans = (qpow(ans,10,1337)%1337)*(qpow(a, b[i], 1337)%1337);return ans%1337;}int qpow(int x, int p, int c){int ans = 1;while(p){if((p&1)==1)ans = (ans%c)*(x%c);x = (x%c)*(x%c);p >>= 1;}return ans%c;}
};
24 ms 11.2 MB