1. 题目
给定一个从1 到 n 排序的整数列表。
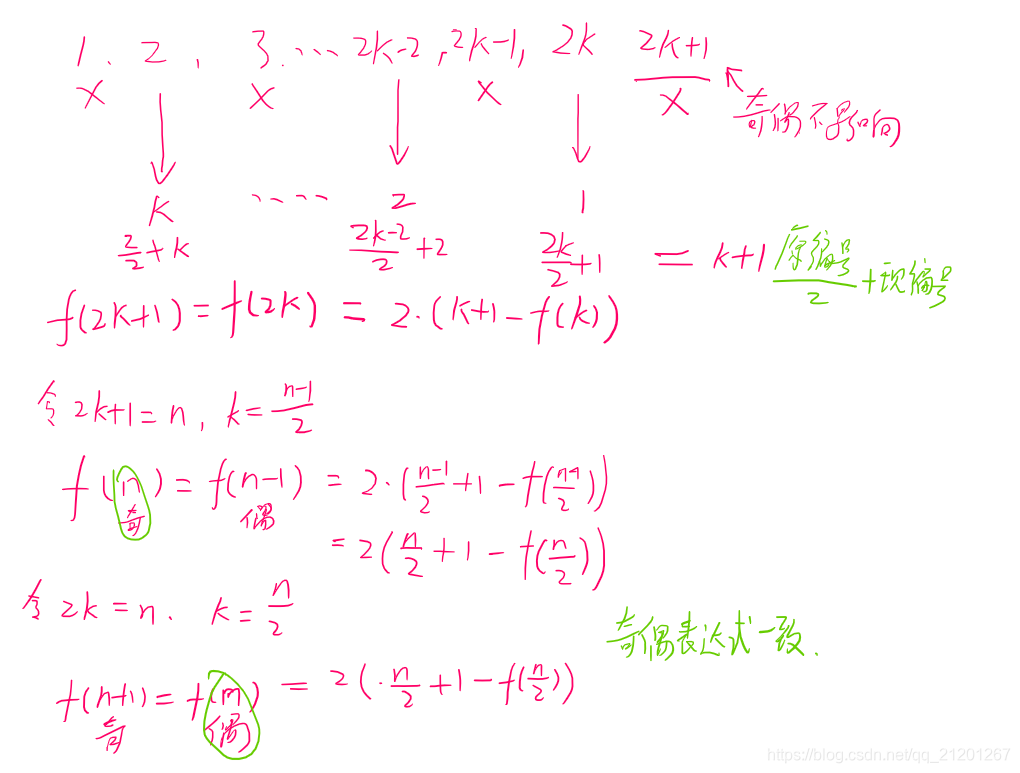
首先,从左到右,从第一个数字开始,每隔一个数字进行删除,直到列表的末尾。
第二步,在剩下的数字中,从右到左,从倒数第一个数字开始,每隔一个数字进行删除,直到列表开头。
我们不断重复这两步,从左到右和从右到左交替进行,直到只剩下一个数字。
返回长度为 n 的列表中,最后剩下的数字。
示例:
输入:
n = 9,
1 2 3 4 5 6 7 8 9
2 4 6 8
2 6
6输出:
6
来源:力扣(LeetCode) 链接:https://leetcode-cn.com/problems/elimination-game
著作权归领扣网络所有。商业转载请联系官方授权,非商业转载请注明出处。
2. 解题
类似题目:剑指Offer - 面试题62. 圆圈中最后剩下的数字(约瑟夫环 递推公式)

参考题解
class Solution {
public:int lastRemaining(int n) {if(n == 1)return 1;return 2*(n/2)+2 - 2*lastRemaining(n/2);}
};
8 ms 6.1 MB