文章目录
- 1. 比赛结果
- 2. 题目
- 1. LeetCode 5464. 换酒问题 easy
- 2. LeetCode 5465. 子树中标签相同的节点数 medium
- 3. LeetCode 5466. 最多的不重叠子字符串 medium
- 4. LeetCode 5467. 找到最接近目标值的函数值 hard
1. 比赛结果
第二题图的边给的不一定按顺序的,我按有序的做,错误一次,第三题好难跳过了,第四题暴力超时,贪心不对。继续加油!
全国排名: 434 / 5778,7.51%;全球排名:1138 / 15151,7.51%


2. 题目
1. LeetCode 5464. 换酒问题 easy
题目链接
小区便利店正在促销,用 numExchange 个空酒瓶可以兑换一瓶新酒。
你购入了 numBottles 瓶酒。
如果喝掉了酒瓶中的酒,那么酒瓶就会变成空的。
请你计算 最多 能喝到多少瓶酒。
示例 1:

输入:numBottles = 9, numExchange = 3
输出:13
解释:你可以用 3 个空酒瓶兑换 1 瓶酒。
所以最多能喝到 9 + 3 + 1 = 13 瓶酒。
示例 2:

输入:numBottles = 15, numExchange = 4
输出:19
解释:你可以用 4 个空酒瓶兑换 1 瓶酒。
所以最多能喝到 15 + 3 + 1 = 19 瓶酒。示例 3:
输入:numBottles = 5, numExchange = 5
输出:6示例 4:
输入:numBottles = 2, numExchange = 3
输出:2提示:
1 <= numBottles <= 100
2 <= numExchange <= 100
解题:
class Solution {
public:int numWaterBottles(int numBottles, int numExchange) {int sum = 0, empty = 0;//喝的酒、空瓶子while(numBottles || empty >= numExchange)//有的喝,或还可以换{sum += numBottles;//喝掉empty += numBottles;//空瓶子多了numBottles = empty/numExchange;//能换几瓶酒empty -= numBottles*numExchange;//还剩几个空瓶子}return sum;}
};
还看见了个超强的数学解法:
class Solution {
public:int numWaterBottles(int numBottles, int numExchange) {return (numBottles * numExchange-1)/(numExchange-1);}
};
2. LeetCode 5465. 子树中标签相同的节点数 medium
题目链接
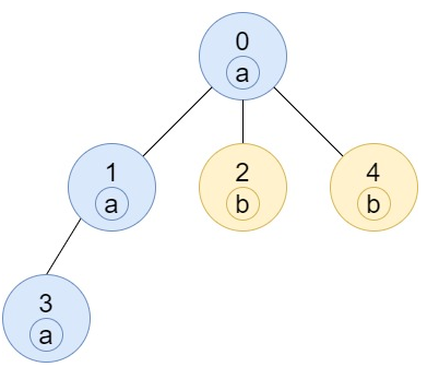
给你一棵树(即,一个连通的无环无向图),这棵树由编号从 0 到 n - 1 的 n 个节点组成,且恰好有 n - 1 条 edges 。
树的根节点为节点 0 ,树上的每一个节点都有一个标签,也就是字符串 labels 中的一个小写字符(编号为 i 的 节点的标签就是 labels[i] )
边数组 edges 以 edges[i] = [ai, bi] 的形式给出,该格式表示节点 ai 和 bi 之间存在一条边。
返回一个大小为 n 的数组,其中 ans[i] 表示第 i 个节点的子树中与节点 i 标签相同的节点数。
树 T 中的子树是由 T 中的某个节点及其所有后代节点组成的树。
示例 1:

输入:n = 7, edges = [[0,1],[0,2],[1,4],[1,5],[2,3],[2,6]],
labels = "abaedcd"
输出:[2,1,1,1,1,1,1]
解释:节点 0 的标签为 'a' ,以 'a' 为根节点的子树中,
节点 2 的标签也是 'a' ,因此答案为 2 。
注意树中的每个节点都是这棵子树的一部分。
节点 1 的标签为 'b' ,节点 1 的子树包含节点 1、4 和 5,
但是节点 4、5 的标签与节点 1 不同,故而答案为 1(即,该节点本身)。
示例 2:

输入:n = 4, edges = [[0,1],[1,2],[0,3]], labels = "bbbb"
输出:[4,2,1,1]
解释:节点 2 的子树中只有节点 2 ,所以答案为 1 。
节点 3 的子树中只有节点 3 ,所以答案为 1 。
节点 1 的子树中包含节点 1 和 2 ,标签都是 'b' ,因此答案为 2 。
节点 0 的子树中包含节点 0、1、2 和 3,标签都是 'b',因此答案为 4 。
示例 3:

输入:n = 5, edges = [[0,1],[0,2],[1,3],[0,4]],
labels = "aabab"
输出:[3,2,1,1,1]示例 4:
输入:n = 6, edges = [[0,1],[0,2],[1,3],[3,4],[4,5]],
labels = "cbabaa"
输出:[1,2,1,1,2,1]示例 5:
输入:n = 7, edges = [[0,1],[1,2],[2,3],[3,4],[4,5],[5,6]],
labels = "aaabaaa"
输出:[6,5,4,1,3,2,1]提示:
1 <= n <= 10^5
edges.length == n - 1
edges[i].length == 2
0 <= ai, bi < n
ai != bi
labels.length == n
labels 仅由小写英文字母组成
来源:力扣(LeetCode)
链接:https://leetcode-cn.com/problems/number-of-nodes-in-the-sub-tree-with-the-same-label
著作权归领扣网络所有。商业转载请联系官方授权,非商业转载请注明出处。
解题:
class Solution {unordered_map<int,unordered_set<int>> m;vector<int> ans;
public:vector<int> countSubTrees(int n, vector<vector<int>>& edges, string labels) {for(auto& e : edges){m[e[0]].insert(e[1]);m[e[1]].insert(e[0]);}ans.resize(n);vector<bool> vis(n,false);dfs(0,labels,vis);return ans;}vector<int> dfs(int root, string& labels,vector<bool> &vis){vector<int> count(26,0), temp;vis[root] = true;//访问过了for(auto it = m[root].begin(); it != m[root].end(); ++it){if(vis[*it])continue;temp = dfs(*it,labels,vis);for(int i = 0; i < 26; ++i)count[i] += temp[i];//把子树的字符计数更新到本节点}ans[root] = ++count[labels[root]-'a'];//加上自己的return count;//返回字符的计数}
};
1676 ms 286.7 MB
3. LeetCode 5466. 最多的不重叠子字符串 medium
题目链接
给你一个只包含小写字母的字符串 s ,你需要找到 s 中最多数目的非空子字符串,满足如下条件:
- 这些字符串之间互不重叠,也就是说对于任意两个子字符串
s[i..j] 和 s[k..l],要么j < k要么i > l。 - 如果一个子字符串包含字符
c,那么 s 中所有c字符都应该在这个子字符串中。
请你找到满足上述条件的最多子字符串数目。
如果有多个解法有相同的子字符串数目,请返回这些子字符串总长度最小的一个解。可以证明最小总长度解是唯一的。
请注意,你可以以 任意 顺序返回最优解的子字符串。
示例 1:
输入:s = "adefaddaccc"
输出:["e","f","ccc"]
解释:下面为所有满足第二个条件的子字符串:
["adefaddaccc""adefadda","ef","e","f","ccc",
]
如果我们选择第一个字符串,那么我们无法再选择其他任何字符串,所以答案为 1 。
如果我们选择 "adefadda" ,剩下子字符串中我们只可以选择 "ccc" ,
它是唯一不重叠的子字符串,所以答案为 2 。
同时我们可以发现,选择 "ef" 不是最优的,
因为它可以被拆分成 2 个子字符串。
所以最优解是选择 ["e","f","ccc"] ,答案为 3 。
不存在别的相同数目子字符串解。示例 2:
输入:s = "abbaccd"
输出:["d","bb","cc"]
解释:注意到解 ["d","abba","cc"] 答案也为 3 ,
但它不是最优解,因为它的总长度更长。提示:
1 <= s.length <= 10^5
s 只包含小写英文字母。
来源:力扣(LeetCode)
链接:https://leetcode-cn.com/problems/maximum-number-of-non-overlapping-substrings
著作权归领扣网络所有。商业转载请联系官方授权,非商业转载请注明出处。
解题:
待补
4. LeetCode 5467. 找到最接近目标值的函数值 hard
题目链接

Winston 构造了一个如上所示的函数 func 。
他有一个整数数组 arr 和一个整数 target ,他想找到让 |func(arr, l, r) - target| 最小的 l 和 r 。
请你返回 |func(arr, l, r) - target| 的最小值。
请注意, func 的输入参数 l 和 r 需要满足 0 <= l, r < arr.length 。
示例 1:
输入:arr = [9,12,3,7,15], target = 5
输出:2
解释:所有可能的 [l,r] 数对包括 [[0,0],[1,1],[2,2],[3,3],
[4,4],[0,1],[1,2],[2,3],[3,4],[0,2],[1,3],[2,4],[0,3],
[1,4],[0,4]],
Winston 得到的相应结果为 [9,12,3,7,15,8,0,3,7,0,0,3,0,0,0] 。
最接近 5 的值是 7 和 3,所以最小差值为 2 。示例 2:
输入:arr = [1000000,1000000,1000000], target = 1
输出:999999
解释:Winston 输入函数的所有可能 [l,r] 数对得到的函数值都为 1000000 ,
所以最小差值为 999999 。示例 3:
输入:arr = [1,2,4,8,16], target = 0
输出:0提示:
1 <= arr.length <= 10^5
1 <= arr[i] <= 10^6
0 <= target <= 10^7
来源:力扣(LeetCode)
链接:https://leetcode-cn.com/problems/find-a-value-of-a-mysterious-function-closest-to-target
著作权归领扣网络所有。商业转载请联系官方授权,非商业转载请注明出处。
解题:
- 比赛超时解 ,17 / 26 个通过测试用例,区间dp解法
class Solution {
public:int closestToTarget(vector<int>& arr, int t) {int minans = INT_MAX;int i, j, len, n = arr.size();vector<vector<int>> dp(n,vector<int>(n,0));for(i = 0; i < n; ++i){dp[i][i] = arr[i];minans = min(minans, abs(dp[i][i]-t));}for(len = 0; len < n; ++len){for(i = 0; i < n ; ++i){j = i+len;if(j >= n)break;if(dp[i][j]==0){minans = min(minans, t);break;}if(j+1 < n){dp[i][j+1] = dp[i][j]&arr[j+1];minans = min(minans, abs(dp[i][j+1]-t));}if(i-1 >= 0){dp[i-1][j] = dp[i][j]&arr[i-1];minans = min(minans, abs(dp[i-1][j]-t));}if(minans == 0)return 0;}}return minans;}
};
待更新正解。
我的CSDN博客地址 https://michael.blog.csdn.net/
长按或扫码关注我的公众号(Michael阿明),一起加油、一起学习进步!
