
2.2.1 什么是神经网络
人工神经网络( Artificial Neural Network, 简写为ANN)也简称为神经网络(NN)。是一种模仿生物神经网络(动物的中枢神经系统,特别是大脑)结构和功能的 计算模型。经典的神经网络结构包含三个层次的神经网络。分别输入层,输出层以及隐藏层。

其中每层的圆圈代表一个神经元,隐藏层和输出层的神经元有输入的数据计算后输出,输入层的神经元只是输入。
-
神经网络的特点
- 1、每个连接都有个权值
- 2、同一层神经元之间没有连接
- 3、最后的输出结果对应的层也称之为全连接层
-
组成:
- 输入层:神经网络的第一层,原始的样本数据
- 输出层:神经网络的最后一层,最终的计算结果
- 隐藏层:其余的中间层都被称为隐藏层(hidden layer)
- 权重(weight):就是之前所说的参数,这里被称为一个神经节点的权重。
- 激活函数(activation function):激活函数是两层神经元之间的映射函数,是一种输出到输入的转换,一般是非线性的,而且是单调可微函数(因为优化方法是基于梯度的)。常见的激活函数有:sigmoid,tanh
那么为什么设计这样的结构呢?首先从一个最基础的结构说起,神经元。以前也称之为感知机。神经元就是要模拟人的神经元结构。

一个神经元通常具有多个树突,主要用来接受传入信息;而轴突只有一条,轴突尾端有许多轴突末梢可以给其他多个神经元传递信息。轴突末梢跟其他神经元的树突产生连接,从而传递信号。这个连接的位置在生物学上叫做“突触”。
要理解神经网络,先解释一种叫做感知机(perceptron)的人工神经元。感知机由科学家Frank Rosenblatt发明于1950至1960年代,他受到了来自Warren McCulloch 和Walter Pitts的更早工作的启发。
注:我们通常使用其它种类的人工神经元模型,主要使用的是一种叫做sigmoid神经元(sigmoid neuron)的神经元模型。
2.2.1.1 感知机(PLA: Perceptron Learning Algorithm))
感知机就是模拟这样的大脑神经网络处理数据的过程。感知机模型如下图:

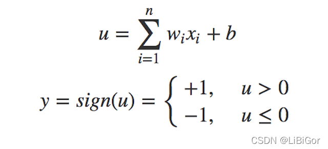
感知机是一种最基础的分类模型,前半部分类似于回归模型。感知机最基础是这样的函数,而逻辑回归用的sigmoid。这个感知机具有连接的权重和偏置

2.2.3 神经网络发展史

- 1、深度学习其实并不是新的事物,深度学习所需要的神经网络技术起源于20世纪50年代,那个时候叫做感知机。当时也通常使用单层感知机,尽管结构简单,但是能够解决相当复杂的问题。
- 2、后来感知机被证明存在严重的问题,因为只能学习线性可分函数,连简单的异或(XOR)等线性不可分问题都无能为力,1969年Marvin Minsky写了一本叫做《Perceptrons》的书,他提出了著名的两个观点:1.单层感知机没用,我们需要多层感知机来解决复杂问题 2.没有有效的训练算法。
- 3、1974年哈佛大学博士毕业生Paul J. Werbos首次提出反向传播算法应用在神经网络的可能,The Roots of Backpropagation: From Ordered Derivatives to Neural Networks and Political Forecasting,但并未得到学术界的重视。直到1986年BP算法才真正开始流行起来,主要是因为Rumelhart、Hinton、Williams合著的《Learning representations by back-propagating errors》
- 4、 虽然训练算法有了突破,但是还存在很多问题,比如以当时计算机的计算能力,训练一次神经网络耗时太久,不具备实际使用价值。同时还会存在过拟合以及梯度消失等问题。而90年代中期,由Vapnik等人发明的支持向量机(Support Vector Machines,SVM)算法诞生,它同样解决了线性不可分问题,但是对比神经网络有全方位优势:
- 1、高效,可以快速训练;
- 2、无需调参,没有梯度消失问题;
- 3、高效泛化,全局最优解,不存在过拟合问题,几乎全方位的碾压神经网络。
- 5、几乎在这10几年的时间,只有Hinton等几位学者在研究神经网络。直到2006年,提出了"深度置信网络"概念,有一个预训练的过程。使用微调技术作为反向传播和调优手段。减少了网络训练时间,并且提出了一个新的概念叫做"深度学习"
- 6、直到2012年,在ImageNet竞赛中,Hinton教授的团队,使用以卷积神经网络为基础的深度学习方案,他们训练的模型面对15万张测试图像时,预测的头五个类别的错误率只有 15.3%,而排名第二的日本团队,使用的SVM方法构建的模型,相应的错误率则高达 26.2%。从此一战成名!2012年后深度学习就成为主流。
2.2.4 总结
- 神经网络的定义
- 感知机与神经网络的联系
- 神经网络的发展历史