C语言实现树,你一定看得懂

之前写了好多篇文章关于数据结构的,既然讲到了数据结构,那么就必须要说一下树,树这个数据结构使用范围非常广,应用前景广阔。

关联文章:

五分钟搞懂什么是红黑树(全程图解)

Linux 内核红黑树分析

这篇文章主要是讲解最简单的一个树的构成,并用代码实现。

声明节点结构体

/*树节点*/
typedef struct node{
int data;
struct node * left; /*节点左边的树枝*/
struct node * right;/*节点右边的树枝*/
}Node;

data 是这个节点的数据,left是这个节点指向左边节点的指针,right 是指向右边节点的指针。

声明根节点结构体

/*树根*/
typedef struct tree{
Node * root;
}Tree;

根节点也是一个节点,只不过这个节点代表了这棵树,这个节点存在,就代表这棵树没有死。

定义一个根节点

	Tree tree;
tree.root = NULL;/*创建一个空树*/

像节点插入一个数据

我们现在模拟一下,插入一个数据 5

/*插入函数 向一个树里面插入数据*/
void insert(Tree* tree, int value)
{
/*创建一个节点*/
Node* node=(Node*)malloc(sizeof(Node));
node->data = value;
node->left = NULL;
node->right = NULL;

/*判断树是不是空树*/
if (tree->root == NULL)
{
tree->root = node;
}
//.......
}

我们会先判断 这个树是不是空的,如果是空的,就把这树根指向这个 node 节点。

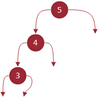
我们再插入一个数据 4

因为 4 小于 5,所以我们需要把 4插入到 5 的左边节点去。

insert(&tree, temp);

所以就变成这样

我们再插入一个数据 3

因为 3 小于 4,那我们就再插入到4的left节点。

如果我们再插入一个 5呢?

大于等于 当前节点的,都进入right节点,所以,插入 5 会变成这样。

遍历一棵树

遍历一棵树的方法有很多,前序遍历,中序遍历,后序遍历,我这里就不说了,无非就是递归判断节点是否为空,我这里使用的是中序遍历。

/*
遍历一整颗树
中序遍历:先左后根再右
*/
void traverse(Node* node)
{
if(node != NULL)
{
traverse(node->left);
printf("%d ",node->data);
traverse(node->right);
}
}

traverse(node->left); 递归扫描所有的左子树节点 traverse(node->right); 递归扫描所有的右子树节点

销毁一棵树

既然我们是通过 malloc 来创建一棵树的,那么使用完后,肯定需要释放内存,要不然内存就会一直消耗占用。

/*销毁一棵树*/
void distory_tree(Node* node)
{

if(node != NULL)
{
distory_tree(node->left);
distory_tree(node->right);
printf("free node:%d\n",node->data);
free(node);
node = NULL;
}
}

使用递归很爽啊,一直使用一直爽啊。哈哈,那就一直使用递归好了。

完整代码

#include "stdio.h"
#include "stdlib.h"

/*树节点*/
typedef struct node{
int data;
struct node * left; /*节点左边的树枝*/
struct node * right;/*节点右边的树枝*/
}Node;

/*树根*/
typedef struct tree{
Node * root;
}Tree;

/*插入函数 向一个树里面插入数据*/
void insert(Tree* tree, int value)
{
/*创建一个节点*/
Node* node=(Node*)malloc(sizeof(Node));
node->data = value;
node->left = NULL;
node->right = NULL;

/*判断树是不是空树*/
if (tree->root == NULL)
{
tree->root = node;
}
else /*不是空树*/
{
Node* temp = tree->root;/*从树根开始*/
while (temp != NULL)
{
if(value < temp->data)/*小于就进左儿子*/
{
if(temp->left == NULL)
{
temp->left = node;
return;
}
else /*继续判断*/
{
temp = temp->left;
}
}
else /*否则进右儿子*/
{

if(temp->right == NULL)
{
temp->right = node;
return;
}
else /*继续判断*/
{
temp = temp->right;
}
}
}
}
}

/*
遍历一整颗树
中序遍历:先左后根再右
*/
void traverse(Node* node)
{
if(node != NULL)
{
traverse(node->left);
printf("%d ",node->data);
traverse(node->right);
}
}

/*销毁一棵树*/
void distory_tree(Node* node)
{

if(node != NULL)
{
distory_tree(node->left);
distory_tree(node->right);
printf("free node:%d\n",node->data);
free(node);
node = NULL;
}
}

/*主函数*/
int main()
{
int i = 0;
Tree tree;
tree.root = NULL;/*创建一个空树*/
int n;
printf("input total num:\n");
/*输入n个数并创建这个树*/
scanf("%d",&n);
for(i = 0; i < n; i++)
{
int temp;
scanf("%d",&temp);
insert(&tree, temp);
}
/*遍历整个树*/
traverse(tree.root);

/*销毁一棵树*/
distory_tree(tree.root);
return 0;
}

总结

数据结构里的树是一个难点和重点,变化也非常多,我们安卓系统里面的跨进程间通信,使用的binder,底层就是有使用到红黑树,大家如果通过这个小例子知道树这个概念,以后遇到就不至于一愣一愣的。

好吧,就说这么多,文章有问题的,欢迎批评指正,我们要在批评与指正中成长,觉得不错的,感谢转发和再看。

共勉~

—————END—————

扫码或长按关注
回复「 加群 」进入技术群聊

本文来自互联网用户投稿,该文观点仅代表作者本人,不代表本站立场。本站仅提供信息存储空间服务,不拥有所有权,不承担相关法律责任。如若转载,请注明出处:http://www.mzph.cn/news/468189.shtml

如若内容造成侵权/违法违规/事实不符,请联系多彩编程网进行投诉反馈email:809451989@qq.com,一经查实,立即删除!

相关文章

程序员开发windows linux,好程序员不用windows作开发环境

好程序员不用windows作为开发环境&#xff0c;今天我想就这个点吐槽一下。最近因为工作关系&#xff0c;需要在windows机器上工作一段时间&#xff0c;作为一个用了多年windows&#xff0c;然后切换到ubuntu作为工作环境两年时间&#xff0c;然后切换到mac大概3年多时间只到最近…

else应输入一个语句是什么意思_Python基础知识储备,关于if-else使用性能的一点感悟...

前面给大家介绍的if-if分支结构是只要条件满足就会执行&#xff1b;而if-else的语句结构是前面的条件成立执行什么操作&#xff0c;则下面的分支结构就不会被执行&#xff0c;若前面的条件不成立(否则)做什么。以下通过三个案例给大家演示if-else语句的使用方法&#xff1a;Pyt…

你应该拥有的无名剑

想了很久的名字&#xff0c;刹那间我不知道怎么给文章起名字了&#xff0c;一个响亮的名字远比正文来得精彩&#xff0c;既然题目比文章精彩&#xff0c;那么就会喧宾夺主&#xff0c;所以我们看很多古诗词的名字起名《无题》&#xff0c;也可以理解为某个时段&#xff0c;肚子…

你真的知道敏捷和迭代吗?

在这敏捷开发横行的时代中&#xff0c;人人都在谈敏捷&#xff0c;人人都在谈迭代&#xff0c;似乎大家好像都尝到了敏捷带来的甜头&#xff0c;记得有一次跟朋友吃饭&#xff0c;说他们现在的项目用敏捷开发&#xff0c;每个迭代都能看到不断完善的产品&#xff0c;非常有成就…

n1运行linux,斐讯N1折腾记:运行 Linux 及优化

此教程同样适用于斐讯 P1咳咳咳&#xff0c;上篇教程教大家给斐讯 N1 降级并且刷了官改系统&#xff0c;可以当作一个电视盒子和下载机来使用。有些小伙伴可能不想把它当作电视盒子&#xff0c;就想把它当作 NAS 或者是服务器&#xff0c;但是总不能拿 Android 玩吧&#xff0c…

谈优势成长

以下文章来自我的一个同事&#xff0c;希望他的感悟能够帮助到一些人&#xff0c;大家共勉~工作忙碌的时候总是不能抽中空闲来读书&#xff0c;利用上周坐飞机的2个小时时间&#xff0c;不能看手机&#xff0c;不刷微信&#xff0c;我一口气读了一本好书《优势成长》。这不是一…

@cacheable 设置过期时间_缓存面试三连击——聊聊Redis过期策略?内存淘汰机制?再手写一个LRU 吧!...

大家好&#xff0c;今天我和大家想聊一聊有关redis的过期策略的话题。听到这里你也许会觉得&#xff1a;“我去&#xff0c;我只是个日常搬砖的&#xff0c;这种偏底层的知识点&#xff0c;我需要care吗&#xff1f;”话虽如此&#xff0c;但是兄die,如果你连标题上问题都不知道…

linux终端贪吃蛇,分享|nSnake: 在Linux的终端上玩经典的贪食蛇游戏

你知道20世纪末的那些古老的诺基亚手机上最棒的东西是什么吗&#xff1f; 贪食蛇! 我以前在这个看似无聊但却让人上瘾的游戏上花费了大把的时间。在古老的诺基亚手机被智能手机取代的同时&#xff0c;贪食蛇也被另外的无聊但却令人上瘾的游戏取代了&#xff0c;比如说&#xff…

vue 组件之间数据传递(七)

1、props:父组件 -->传值到子组件 app.vue是父组件 &#xff0c;其它组件是子组件&#xff0c;把父组件值传递给子组件需要使用 >props 在父组件&#xff08;App.vue&#xff09;定义一个属性&#xff08;变量&#xff09;sexVal 男 把该值传递给 子组件(B.vue)&#x…

人在旅途之桂林

先说下这篇文章是多图的所以看文章的同学最好在wifi环境下之前有发文章说我们学院建院十周年所以&#xff0c;哈哈哈&#xff0c;就有机会回桂林嗨皮了出发的时候车子没电了&#xff0c;叫了保险过来搭电搞了一段时间&#xff0c;不过不影响我们顺利到达桂林第一时间先吃碗米粉…

python pyecharts 折线图_python数据大屏pyecharts库2020.8.31

数据大屏V0.1-2020.8.31前言千辛万苦&#xff0c;找到了python能实现数据大屏库pyecharts。1、https://gallery.pyecharts.org/#/Page/page_simple_layout2、主要是3个类&#xff0c;Grid&#xff1a;并行多图&#xff0c;Page&#xff1a;顺序多图&#xff0c;Tab&#xff1a;…

linux文件管理器添加项目,LXQt 0.14 发布,文件管理器添加拆分视图

LXQt团队已经发布了他们的轻量级Qt5支持的Linux桌面环境的0.14.0版本。LXQt 0.14为PCManFM-Qt文件管理器添加了一个拆分视图&#xff0c;其桌面图标角色现在支持计算机/网络/垃圾箱图标&#xff0c;通过libfm-qt改进更有效地处理挂载&#xff0c;LXImage-Qt现在可以处理图像EXI…

计算机基础系列一:计算机硬件

一.计算机硬件/操作系统/软件/网络1.1软件的最终目的是控制硬件 1.2程序就是写的代码 就是为了更好的控制硬件 但是需要先控制 CPU 硬盘等硬件1.3学习python语言的目的是为了写软件 python的单词就是关键词 模仿就是多练习熟练度1.4 cpu主要关键功能就是…

这两天,我们还没毕业

这两天在桂林&#xff0c;见了很多几年没见面的同学&#xff0c;从毕业后到现在&#xff0c;应该是人数最多的一次聚会了&#xff0c;如果用两个字来形容这次聚会&#xff0c;那应该是 「满足」两字。满足于多年没有见面的老同学&#xff0c;从天南聊到地北&#xff0c;从球场聊…

python parser count_8个超实用的Python脚本,收藏备用

脚本写的好&#xff0c;下班下得早!程序员的日常工作除了编写程序代码&#xff0c;还不可避免地需要处理相关的测试和验证工作。例如&#xff0c;访问某个网站一直不通&#xff0c;需要确定此地址是否可访问&#xff0c;服务器返回什么&#xff0c;进而确定问题在于什么。完成这…

linux强制使用windows命名,如何强制Windows重命名带有特殊字符的文件?

在Windows 7中&#xff1a;在管理员模式下运行cmd.exe。cd进入带有文件名的目录。运行&#xff1a;chkdsk / V / f [我的错误文件在OS驱动器之外的其他驱动器上&#xff0c;因此它可以卸除它。如果是OS驱动器&#xff0c;则可能必须在启动时执行此步骤。等待(可能必须重新启动)…

2.Cannot find config.m4.

PHP扩展路径在&#xff1a;PHP源码包下的ext目录下&#xff1b;这个目录下有很多自带的扩展源码&#xff0c;缺少什么扩展只需要进入这个扩展目录下&#xff0c;再运行Phpize即可&#xff1b;转载于:https://www.cnblogs.com/52-hz/p/7155348.html

LCD 设备驱动框架分析及核心结构

Linux 下很多东西都是和结构体相关&#xff0c;举个例子&#xff0c;时钟大家都知道吧&#xff0c;Linux 下对应时钟的东西就有好几个结构体&#xff0c;所以你要是想明白Linux 下那些东西&#xff0c;对结构体要有所了解&#xff0c;LCD 是基础的驱动设备&#xff0c;里面涉及…

kafka 启动_Kafka管理工具Kafka Manager

Kafka作为分布式消息系统以其轻量级、可扩展、高通吐等特点而得到广泛应用&#xff0c;最近在项目中用Kafka作为中间件进行数据交互。为了监控Kafka的运行情况&#xff0c;在网上找了个开源的Kafka监控工具Kafka-manager对Kafka集群监控。为什么选用Kafka-manager而不是KafkaOf…

linux 简单脚本fi报错,shell脚本报错:[: =: unary operator expected

shell脚本报错&#xff1a;"[: : unary operator expected"在匹配字符串相等时&#xff0c;我用了类似这样的语句&#xff1a;if [ $STATUS "OK" ]; thenecho "OK"fi在运行时出现了 [: : unary operator expected 的错误&#xff0c;就一直找不…