文章目录
- 深度学习之卷积神经网络
- 链式反向梯度
- 链式法则的计算
- 神经网络中链式法则
- 实例
- 二、卷积神经网络-卷积层
- (一)什么是卷积层
- (二)有什么组成
- 受什么影响,有何特点
- 卷积网络正向传播
- 反向传播
- 卷积和神经网络功能层
深度学习之卷积神经网络
链式反向梯度
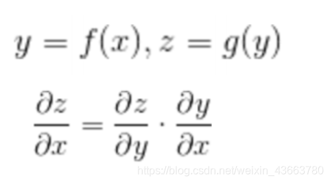
链式法则的计算

神经网络中链式法则


实例
















二、卷积神经网络-卷积层
(一)什么是卷积层

(二)有什么组成


受什么影响,有何特点





卷积网络正向传播

https://www.cnblogs.com/wj-1314/p/9754072.html
反向传播

https://www.cnblogs.com/pinard/p/6494810.html
卷积和神经网络功能层










