红黑树插入时的自平衡
红黑树实质上是一棵自平衡的二叉查找树,引入带颜色的节点也是为了方便在进行插入或删除操作时,如果破坏了二叉查找树的平衡性能通过一系列变换保持平衡。
红黑树的性质
- 每个节点要么是红色,要么是黑色
- 根节点必须是黑色
- 两个红色节点不能相连
- 从根节点出发到达任意叶子节点经过的黑色节点个数相同
红黑树的数据结构
红黑树实质上是一颗二叉查找树,左子树的值小于根节点的值,右子树的值大于根节点的值。

public class RedBlackTree {private static int BLACK = 1;private static final int RED = 0;private static Node root;private static class Node {private int color = RED;private int data;private Node left;private Node right;private Node parent;Node(int data) {this.data = data;}}
}
红黑树的插入
插入的节点默认是红色的(要不然全是黑色节点它也满足红黑树的定义,不过就没意义了);
由于红黑树是一颗二叉查找树,所以它的插入可以使用递归(先不考虑破坏红黑树的结构)
/*** 通过递归往红黑树中插入一个新节点* @param root 要插入的树的根节点* @param data 新节点的值*/private void insert(Node root, int data) {if(root.data > data) {if(root.left == null) {Node node = new Node(data);root.left = node;node.parent = root;} else {insert(root.left, data);}}else {if(root.right == null) {Node node = new Node(data);root.right = node;node.parent = root;} else {insert(root.right, data);}}}
调整结构
新插入节点后,可能破坏红黑树的定义,虽然红黑树的定义有四条,前两条都是确定了的,不会因为新添加节点而被破坏,只需要关注第三条就可以了(满足前三条第四条就会自然满足)
/*** 判断插入新节点后红黑树结构是否需要变化* 根据红黑树的定义,两个红色节点不能连接* @param root 插入的新节点* @return 返回true表示插入新节点后破坏了红黑树的结构,* 需要通过旋转变色来纠正,否则不需要修改。*/private boolean checkStruct(Node root) {return root.color == RED && root.parent.color == RED;}
所以只要新插入的节点的父节点是红色,就需要调整结构。调整结构的办法有三种:
1. 变色
就是把红色变为黑色,黑色变为红色
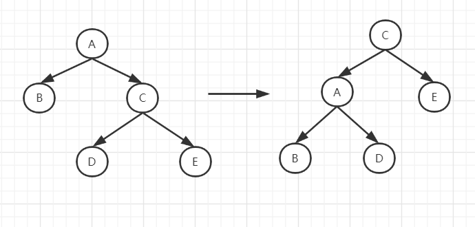
2. 左旋

以节点C为轴左旋的步骤:
- 将C的父节点A沉下来,C升上去作为新的父节点
- 将原来C的左子树挂到A的右子树上
- 其他不变

/*** 左旋* - 旋转前的右子节点变成旋转后的父节点* - 旋转前的父节点(轴)变为旋转后父节点的左子节点* - 旋转前轴的右子节点的右子节点旋转后变为轴的右子节点* - 旋转前右子节点的左子树变成旋转后左子节点的右子树* - 其他不变* @param node 以该节点为轴旋转*/private static void leftSpin(Node node) {Node nextFather = node.right;nextFather.parent = node.parent;node.right = node.right.left;nextFather.left = node;connectParent(node, nextFather);}
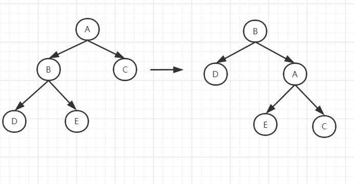
3. 右旋
右旋和左旋正好相反

以B为轴右旋的步骤:
- 将B的父节点A沉下来,B升上去作为新的父节点
- 将原来B的右子树接到新的A的左子树的位置

/*** 将变换后的树和它上面的节点连接* @param node 变换前的轴* @param nextFather 变换后的子树*/private static void connectParent(Node node, Node nextFather) {// 如果变换的是根节点,就把root赋值成变换后的节点if(node.parent != null) {if(node.parent.data > node.data) {node.parent.left = nextFather;} else {node.parent.right = nextFather;}} else {RedBlackTree.root = nextFather;}node.parent = nextFather;} /*** 右旋* - 旋转前的左子节点变成旋转后的父节点* - 旋转前左子节点的右子树变成旋转后右子节点的左子树* @param node 旋转轴。*/private static void rightSpin(Node node) {Node nextFather = node.left;nextFather.parent = node.parent;node.left = node.left.right;nextFather.right = node;connectParent(node, nextFather);}
根据新插入节点位置的不同情况,节点调整有五种不同的方案:
1. 父节点和叔叔节点均为红色
如果新插入节点的父节点和叔叔节点都是红色,只需要将父节点和叔叔节点变为黑色,祖父节点变为红色即可。

如果祖父节点是根节点,祖父节点保持黑色。
ONLY_CHANGE_COLOR {/*** 适用于:* - 父节点和叔叔节点都为红色的情况;* 具体方法:* - 把父节点和叔叔节点的颜色变为黑色,* - 爷爷节点的颜色变为红色* - 如果爷爷节点为根节点,爷爷节点颜色恢复黑色* @param node 当前新修改的节点*/@Overridepublic void way(Node node) {node.parent.parent.left.color = BLACK;node.parent.parent.right.color = BLACK;if(node.parent.parent.parent != null){node.parent.parent.color = RED;}}},
2. 叔叔节点不存在或为黑色,父节点位于祖父节点的左子树

2.1 当前节点位于左子树
调整办法:
- 将父节点设置为黑色
- 经祖父节点设置为红色
- 对祖父节点进行右旋

RIGHT_SPIN_CHANGE_COLOR {/*** 适用于:* - 无叔叔节点或叔叔节点为黑色* - 父节点位于祖父节点的左子树* - 新节点位于父节点左子树的情况* 具体方法:* - 将当前节点的父节点设置为黑色* - 将当前节点的祖父节点设置为红色* - 对祖父节点进行右旋* @param node 当前节点*/@Overridepublic void way(Node node) {node.parent.color = BLACK;node.parent.parent.color = RED;Solution.rightSpin(node.parent.parent);}},
2.2 当前节点位于右子树
如果当前节点位于右子树,需要先对它的父节点进行左旋得到2.1的情况,再按2.1进行变换

LEFT_SPIN_WITH_RIGHT_SPIN {/*** 适用于:* - 无叔叔节点或叔叔节点为黑色* - 父节点位于祖父节点的左子树* - 新节点位于父节点右子树的情况* 具体方法:* - 对当前节点的父节点进行左旋* - 执行 RIGHT_SPIN_CHANGE_COLOR* @param node 当前节点*/@Overridepublic void way(Node node) {Solution.leftSpin(node.parent);RIGHT_SPIN_CHANGE_COLOR.way(node.left);}},
3.叔叔节点不存在或为黑色,父节点在祖父节点的右子树
与上面的情况正好相反

3.1 当前节点位于父节点的右子树上
调整步骤:
- 将父节点变为黑色
- 将祖父节点变为红色
- 对祖父节点左旋
![[外链图片转存失败,源站可能有防盗链机制,建议将图片保存下来直接上传(img-GtHma7PH-1586137087069)(image/红黑树/image-20200406091144198.png)]](https://img-blog.csdnimg.cn/20200406093844789.png?x-oss-process=image/watermark,type_ZmFuZ3poZW5naGVpdGk,shadow_10,text_aHR0cHM6Ly9ibG9nLmNzZG4ubmV0L3pqYnlvdWdo,size_16,color_FFFFFF,t_70#pic_center)
LEFT_SPIN_CHANGE_COLOR {/*** 适用于:* - 无叔叔节点或叔叔节点为黑色* - 父节点位于祖父节点的右子树* - 新节点位于父节点右子树的情况* 具体方法:* - 将当前节点的父节点设置为黑色* - 将当前节点的祖父节点设置为红色* - 对祖父节点进行左旋* @param node 当前节点*/@Overridepublic void way(Node node) {node.parent.color = BLACK;node.parent.parent.color = RED;Solution.leftSpin(node.parent.parent);}},
3.2 当前节点位于左子树
调整步骤:
- 对当前节点的父节点进行右旋
- 执行3.1的步骤

RIGHT_SPIN_LEFT_SPIN {/*** 适用于:* - 无叔叔节点或叔叔节点为黑色* - 父节点位于祖父节点的右子树* - 新节点位于父节点左子树的情况* 具体方法:* - 对当前节点的父节点进行右旋* - 执行 LEFT_SPIN_CHANGE_COLOR* @param node 当前节点*/@Overridepublic void way(Node node) {Solution.rightSpin(node.parent);LEFT_SPIN_CHANGE_COLOR.way(node.right);}},
完整代码
package Note.cistern;public class RedBlackTree {private static int BLACK = 1;private static final int RED = 0;private static Node root;private static class Node {private int color = RED;private int data;private Node left;private Node right;private Node parent;Node(int data) {this.data = data;}@Overridepublic String toString() {return "Node{" +"data=" + data +", color=" + color +", left=" + left +", right=" + right +'}';}}interface SolutionInterface {void way(Node node);}enum Solution implements SolutionInterface{ONLY_CHANGE_COLOR {/*** 适用于:* - 父节点和叔叔节点都为红色的情况;* 具体方法:* - 把父节点和叔叔节点的颜色变为黑色,* - 爷爷节点的颜色变为红色* - 如果爷爷节点为根节点,爷爷节点颜色恢复黑色* @param node 当前新修改的节点*/@Overridepublic void way(Node node) {node.parent.parent.left.color = BLACK;node.parent.parent.right.color = BLACK;if(node.parent.parent.parent != null){node.parent.parent.color = RED;}}},RIGHT_SPIN_LEFT_SPIN {/*** 适用于:* - 无叔叔节点或叔叔节点为黑色* - 父节点位于祖父节点的右子树* - 新节点位于父节点左子树的情况* 具体方法:* - 对当前节点的父节点进行右旋* - 执行 LEFT_SPIN_CHANGE_COLOR* @param node 当前节点*/@Overridepublic void way(Node node) {Solution.rightSpin(node.parent);LEFT_SPIN_CHANGE_COLOR.way(node.right);}},LEFT_SPIN_CHANGE_COLOR {/*** 适用于:* - 无叔叔节点或叔叔节点为黑色* - 父节点位于祖父节点的右子树* - 新节点位于父节点右子树的情况* 具体方法:* - 将当前节点的父节点设置为黑色* - 将当前节点的祖父节点设置为红色* - 对祖父节点进行左旋* @param node 当前节点*/@Overridepublic void way(Node node) {node.parent.color = BLACK;node.parent.parent.color = RED;Solution.leftSpin(node.parent.parent);}},LEFT_SPIN_WITH_RIGHT_SPIN {/*** 适用于:* - 无叔叔节点或叔叔节点为黑色* - 父节点位于祖父节点的左子树* - 新节点位于父节点右子树的情况* 具体方法:* - 对当前节点的父节点进行左旋* - 执行 RIGHT_SPIN_CHANGE_COLOR* @param node 当前节点*/@Overridepublic void way(Node node) {Solution.leftSpin(node.parent);RIGHT_SPIN_CHANGE_COLOR.way(node.left);}},RIGHT_SPIN_CHANGE_COLOR {/*** 适用于:* - 无叔叔节点或叔叔节点为黑色* - 父节点位于祖父节点的左子树* - 新节点位于父节点左子树的情况* 具体方法:* - 将当前节点的父节点设置为黑色* - 将当前节点的祖父节点设置为红色* - 对祖父节点进行右旋* @param node 当前节点*/@Overridepublic void way(Node node) {node.parent.color = BLACK;node.parent.parent.color = RED;Solution.rightSpin(node.parent.parent);}},PASS {/*** 异常情况* @param node 当前节点*/@Overridepublic void way(Node node) {}};/*** 左旋* - 旋转前的右子节点变成旋转后的父节点* - 旋转前的父节点(轴)变为旋转后父节点的左子节点* - 旋转前轴的右子节点的右子节点旋转后变为轴的右子节点* - 旋转前右子节点的左子树变成旋转后左子节点的右子树* - 其他不变* @param node 以该节点为轴旋转*/private static void leftSpin(Node node) {Node nextFather = node.right;nextFather.parent = node.parent;node.right = node.right.left;nextFather.left = node;connectParent(node, nextFather);}/*** 将变换后的树和它上面的节点连接* @param node 变换前的轴* @param nextFather 变换后的子树*/private static void connectParent(Node node, Node nextFather) {// 如果变换的是根节点,就把root赋值成变换后的节点if(node.parent != null) {if(node.parent.data > node.data) {node.parent.left = nextFather;} else {node.parent.right = nextFather;}} else {RedBlackTree.root = nextFather;}node.parent = nextFather;}/*** 右旋* - 旋转前的左子节点变成旋转后的父节点* - 旋转前左子节点的右子树变成旋转后右子节点的左子树* @param node 旋转轴。*/private static void rightSpin(Node node) {Node nextFather = node.left;nextFather.parent = node.parent;node.left = node.left.right;nextFather.right = node;connectParent(node, nextFather);}}public RedBlackTree(int rootData){root = new Node(rootData);root.color = BLACK;}/*** 通过一个整形数组快速构建红黑树* @param data 要创建树的元素*/public RedBlackTree(int [] data) {assert data.length >= 1: "data的长度至少为1";root = new Node(data[0]);root.color = BLACK;for (int i = 1; i < data.length; i++) {this.append(data[i]);}}/*** 判断插入新节点后红黑树结构是否需要变化* 根据红黑树的定义,两个红色节点不能连接* @param root 插入的新节点* @return 返回true表示插入新节点后破坏了红黑树的结构,* 需要通过旋转变色来纠正,否则不需要修改。*/private boolean checkStruct(Node root) {return root.color == RED && root.parent.color == RED;}/*** 确定该以哪种方式变换当前树,使之满足红黑树的条件* @param node 当前新加入的,使红黑树结构错误的节点* @return 返回解决办法*/private Solution determineSolution(Node node) {int fatherColor = node.parent.color;int uncleColor;// 如果父亲是爷爷的右子树if(node.parent.data > node.parent.parent.data){uncleColor = node.parent.parent.left == null? BLACK: node.parent.parent.left.color;if(fatherColor == RED && uncleColor == BLACK){if(node.data < node.parent.data){return Solution.RIGHT_SPIN_LEFT_SPIN;} else {return Solution.LEFT_SPIN_CHANGE_COLOR;}}} else {uncleColor = node.parent.parent.right == null? BLACK: node.parent.parent.right.color;if(fatherColor == RED && uncleColor == BLACK){// 插入的节点是父节点的左子节点if(node.data < node.parent.data){return Solution.RIGHT_SPIN_CHANGE_COLOR;} else {return Solution.LEFT_SPIN_WITH_RIGHT_SPIN;}}}// 如果父节点和叔叔节点都是红色if(fatherColor == RED && uncleColor == RED){return Solution.ONLY_CHANGE_COLOR;}return Solution.PASS;}private void changeTree(Node node) {Solution solution = determineSolution(node);solution.way(node);if(node.parent != null && node.parent.parent != null && checkStruct(node.parent.parent)) {changeTree(node.parent.parent);}}/*** 通过递归往红黑树中插入一个新节点* @param root 要插入的树的根节点* @param data 新节点的值*/private void insert(Node root, int data) {if(root.data > data) {if(root.left == null) {Node node = new Node(data);root.left = node;node.parent = root;if(checkStruct(node)) {changeTree(node);}} else {insert(root.left, data);}}else {if(root.right == null) {Node node = new Node(data);root.right = node;node.parent = root;if(checkStruct(node)) {changeTree(node);}} else {insert(root.right, data);}}}public Node append(int data) {insert(root, data);return root;}public Node append(int[] data) {for (int datum : data) {append(datum);}return root;}public Node getRoot(){return root;}public static void main(String[] args) {int[] data = {16, 8, 11, 13, 15, 17, 22, 25, 27};RedBlackTree redBlackTree = new RedBlackTree(data);System.out.println(redBlackTree.getRoot());}}