牛客网 左程云老师的算法入门课
找二叉树的节点的后继节点
原则
- 如果节点有右子树,那么后继节点就是右子树的最左边的第一个节点
- 如果节点没有右子树,如果节点是父节点的右孩子,就继续往上找,直到找到一个父节点是沿途节点的父节点,且沿途节点是其的左孩子
题目要求
新的二叉树的类型如下
public class Node{public int value;public Node left;public Node right;public Node parent;public Node(int val){value = val;}
}- 比传统的二叉树节点相比,多了一个指向父节点的parent指针
- 头节点的parent指向空
- 只有一个二叉树节点的node,请实现返回node节点的后继函数。二叉树的中序遍历中,node的下一个节点叫做节点的后继节点。请编写程序实现此功能:
代码
package class05;public class Code08_SuccessorNode {public static class Node {public int value;public Node left;public Node right;public Node parent;public Node(int data) {this.value = data;}}public static Node getSuccessorNode(Node node) {if (node == null) {return node;}if (node.right != null) {return getLeftMost(node.right);} else { // 无右子树Node parent = node.parent;while (parent != null && parent.left != node) { // 当前节点是其父亲节点右孩子node = parent;parent = node.parent;}return parent;}}public static Node getLeftMost(Node node) {if (node == null) {return node;}while (node.left != null) {node = node.left;}return node;}public static void main(String[] args) {Node head = new Node(6);head.parent = null;head.left = new Node(3);head.left.parent = head;head.left.left = new Node(1);head.left.left.parent = head.left;head.left.left.right = new Node(2);head.left.left.right.parent = head.left.left;head.left.right = new Node(4);head.left.right.parent = head.left;head.left.right.right = new Node(5);head.left.right.right.parent = head.left.right;head.right = new Node(9);head.right.parent = head;head.right.left = new Node(8);head.right.left.parent = head.right;head.right.left.left = new Node(7);head.right.left.left.parent = head.right.left;head.right.right = new Node(10);head.right.right.parent = head.right;Node test = head.left.left;System.out.println(test.value + " next: " + getSuccessorNode(test).value);test = head.left.left.right;System.out.println(test.value + " next: " + getSuccessorNode(test).value);test = head.left;System.out.println(test.value + " next: " + getSuccessorNode(test).value);test = head.left.right;System.out.println(test.value + " next: " + getSuccessorNode(test).value);test = head.left.right.right;System.out.println(test.value + " next: " + getSuccessorNode(test).value);test = head;System.out.println(test.value + " next: " + getSuccessorNode(test).value);test = head.right.left.left;System.out.println(test.value + " next: " + getSuccessorNode(test).value);test = head.right.left;System.out.println(test.value + " next: " + getSuccessorNode(test).value);test = head.right;System.out.println(test.value + " next: " + getSuccessorNode(test).value);test = head.right.right; // 10's next is nullSystem.out.println(test.value + " next: " + getSuccessorNode(test));}}
二叉树的序列化/反序列化
- 使用#代表null
- 每输出一个数值,就输出一个_来隔离元素
- 由树形结构到字符串的过程叫做序列化,由字符串到树形结构的过程是反序列化

代码
package class05;import java.util.LinkedList;
import java.util.Queue;public class Code09_SerializeAndReconstructTree {public static class Node {public int value;public Node left;public Node right;public Node(int data) {this.value = data;}}// 以head为头的树,请序列化成字符串返回public static String serialByPre(Node head) {if (head == null) {return "#_";}String res = head.value + "_";res += serialByPre(head.left);res += serialByPre(head.right);return res;}public static Node reconByPreString(String preStr) {String[] values = preStr.split("_");Queue<String> queue = new LinkedList<String>();for (int i = 0; i != values.length; i++) {queue.add(values[i]);}return reconPreOrder(queue);}public static Node reconPreOrder(Queue<String> queue) {String value = queue.poll();if (value.equals("#")) {return null;}Node head = new Node(Integer.valueOf(value));head.left = reconPreOrder(queue);head.right = reconPreOrder(queue);return head;}public static String serialByLevel(Node head) {if (head == null) {return "#!";}String res = head.value + "_";Queue<Node> queue = new LinkedList<Node>();queue.add(head);while (!queue.isEmpty()) {head = queue.poll();if (head.left != null) {res += head.left.value + "_";queue.add(head.left);} else {res += "#_";}if (head.right != null) {res += head.right.value + "_";queue.add(head.right);} else {res += "#_";}}return res;}public static Node reconByLevelString(String levelStr) {String[] values = levelStr.split("_");int index = 0;Node head = generateNodeByString(values[index++]);Queue<Node> queue = new LinkedList<Node>();if (head != null) {queue.add(head);}Node node = null;while (!queue.isEmpty()) {node = queue.poll();node.left = generateNodeByString(values[index++]);node.right = generateNodeByString(values[index++]);if (node.left != null) {queue.add(node.left);}if (node.right != null) {queue.add(node.right);}}return head;}public static Node generateNodeByString(String val) {if (val.equals("#")) {return null;}return new Node(Integer.valueOf(val));}// for test -- print treepublic static void printTree(Node head) {System.out.println("Binary Tree:");printInOrder(head, 0, "H", 17);System.out.println();}public static void printInOrder(Node head, int height, String to, int len) {if (head == null) {return;}printInOrder(head.right, height + 1, "v", len);String val = to + head.value + to;int lenM = val.length();int lenL = (len - lenM) / 2;int lenR = len - lenM - lenL;val = getSpace(lenL) + val + getSpace(lenR);System.out.println(getSpace(height * len) + val);printInOrder(head.left, height + 1, "^", len);}public static String getSpace(int num) {String space = " ";StringBuffer buf = new StringBuffer("");for (int i = 0; i < num; i++) {buf.append(space);}return buf.toString();}public static void main(String[] args) {Node head = null;printTree(head);String pre = serialByPre(head);System.out.println("serialize tree by pre-order: " + pre);head = reconByPreString(pre);System.out.print("reconstruct tree by pre-order, ");printTree(head);String level = serialByLevel(head);System.out.println("serialize tree by level: " + level);head = reconByLevelString(level);System.out.print("reconstruct tree by level, ");printTree(head);System.out.println("====================================");head = new Node(1);printTree(head);pre = serialByPre(head);System.out.println("serialize tree by pre-order: " + pre);head = reconByPreString(pre);System.out.print("reconstruct tree by pre-order, ");printTree(head);level = serialByLevel(head);System.out.println("serialize tree by level: " + level);head = reconByLevelString(level);System.out.print("reconstruct tree by level, ");printTree(head);System.out.println("====================================");head = new Node(1);head.left = new Node(2);head.right = new Node(3);head.left.left = new Node(4);head.right.right = new Node(5);printTree(head);pre = serialByPre(head);System.out.println("serialize tree by pre-order: " + pre);head = reconByPreString(pre);System.out.print("reconstruct tree by pre-order, ");printTree(head);level = serialByLevel(head);System.out.println("serialize tree by level: " + level);head = reconByLevelString(level);System.out.print("reconstruct tree by level, ");printTree(head);System.out.println("====================================");head = new Node(100);head.left = new Node(21);head.left.left = new Node(37);head.right = new Node(-42);head.right.left = new Node(0);head.right.right = new Node(666);printTree(head);pre = serialByPre(head);System.out.println("serialize tree by pre-order: " + pre);head = reconByPreString(pre);System.out.print("reconstruct tree by pre-order, ");printTree(head);level = serialByLevel(head);System.out.println("serialize tree by level: " + level);head = reconByLevelString(level);System.out.print("reconstruct tree by level, ");printTree(head);System.out.println("====================================");}
}
如何判断一棵子树是不是另外一棵二叉树的子树
-  KMP算法
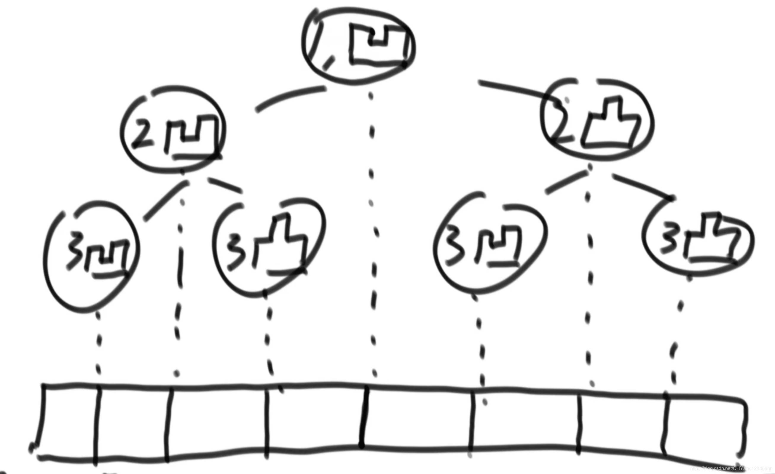
折纸问题
要求

参考

代码
package class05;public class Code10_PaperFolding {public static void printAllFolds(int N) {printProcess(1, N, true);}// 递归过程,来到了某一个节点,// i是节点的层数,N一共的层数,down == true  凹    down == false 凸public static void printProcess(int i, int N, boolean down) {if (i > N) {return;}printProcess(i + 1, N, true);System.out.println(down ? "凹 " : "凸 ");printProcess(i + 1, N, false);}public static void main(String[] args) {int N = 3;printAllFolds(N);}
}前缀树
- 存储在边上,不是节点
- 节点存放信息:pass创建节点的时候通过这个节点几次;end:当前节点是多少字符串的结尾
- 沿途节点的pass++;末尾节点的end++;
例子
加入节点
- 加入节点ab,使得沿途a之后节点p=3,沿途b之后节点p=2,e=1;
- 加入节点bcs,使得沿途bc之后节点++,使得s的p=2,e=2;
实现功能
- 可以查询abc加入的次数,看的是e的值
- 可以查询以ab作为前缀的次数,看的是p的值
删除节点
- 沿途节点的p值减1,被删除的节点的p减1,e减1;并且内存释放。

代码
package class07;import java.util.HashSet;public class Code01_TrieTree {public static class TrieNode {public int pass;public int end;// HashMap<Char, Node> nexts;// TreeMap<Char, Node> nexts;public TrieNode[] nexts;public TrieNode() {pass = 0;end = 0;// nexts[0] == null 没有走向‘a’的路// nexts[0] != null 有走向‘a’的路// ...// nexts[25] != null 有走向‘z’的路nexts = new TrieNode[26];}}public static class Trie {private TrieNode root;public Trie() {root = new TrieNode();}public void insert(String word) {if (word == null) {return;}char[] chs = word.toCharArray();TrieNode node = root;node.pass++;int index = 0;for (int i = 0; i < chs.length; i++) { // 从左往右遍历字符index = chs[i] - 'a'; // 由字符,对应成走向哪条路if (node.nexts[index] == null) {node.nexts[index] = new TrieNode();}node = node.nexts[index];node.pass++;}node.end++;}public void delete(String word) {if (search(word) != 0) { // 确定树中确实加入过word,才删除char[] chs = word.toCharArray();TrieNode node = root;node.pass--;int index = 0;for (int i = 0; i < chs.length; i++) {index = chs[i] - 'a';if (--node.nexts[index].pass == 0) {// java C++ 要遍历到底去析构node.nexts[index] = null;// ...return;}node = node.nexts[index];}node.end--;}}public void deleteCPP(String word) {if (search(word) != 0) { // 确定树中确实加入过word,才删除char[] chs = word.toCharArray();TrieNode node = root;node.pass--;int index = 0;TrieNode a = null;int deleteIndex = -1;HashSet<TrieNode> deleteSet = new HashSet<>();for (int i = 0; i < chs.length; i++) {index = chs[i] - 'a';if (--node.nexts[index].pass == 0) {a = a == null ? node : a;deleteIndex = deleteIndex == -1 ? index : deleteIndex;deleteSet.add(node.nexts[index]);}node = node.nexts[index];}node.end--;a.nexts[deleteIndex] = null;// deleteSet ... 析构}}// word这个单词之前加入过几次public int search(String word) {if (word == null) {return 0;}char[] chs = word.toCharArray();TrieNode node = root;int index = 0;for (int i = 0; i < chs.length; i++) {index = chs[i] - 'a';if (node.nexts[index] == null) {return 0;}node = node.nexts[index];}return node.end;}// 所有加入的字符串中,有几个是以pre这个字符串作为前缀的public int prefixNumber(String pre) {if (pre == null) {return 0;}char[] chs = pre.toCharArray();TrieNode node = root;int index = 0;for (int i = 0; i < chs.length; i++) {index = chs[i] - 'a';if (node.nexts[index] == null) {return 0;}node = node.nexts[index];}return node.pass;}}public static void main(String[] args) {Trie trie = new Trie();System.out.println(trie.search("zuo"));trie.insert("zuo");System.out.println(trie.search("zuo"));trie.delete("zuo");System.out.println(trie.search("zuo"));trie.insert("zuo");trie.insert("zuo");trie.delete("zuo");System.out.println(trie.search("zuo"));trie.delete("zuo");System.out.println(trie.search("zuo"));trie.insert("zuoa");trie.insert("zuoac");trie.insert("zuoab");trie.insert("zuoad");trie.delete("zuoa");System.out.println(trie.search("zuoa"));System.out.println(trie.prefixNumber("zuo"));}}

