近日QQ群更新的部分内容如下高中11大类86个易错点全梳理(185页Word)恒成立涉及10大类40小类题型梳理(100页Word)高中数学10大专题100个考点配例题全梳理2020高考真题分类汇编理科(14讲Word)2019年江苏高考数学题根系列(50份Word)2020届江苏高三上期中期末分类汇编(12讲Word)2020年江苏高考数学命题规律大揭秘(35讲Word)2020版江苏高考一轮课时跟踪检测(12套word)2020版江苏高考数学名师一轮复习(60练Word)2020年江苏省高考数学规律揭秘(35讲Word)2020届广东高三上试题分类汇编(12讲Word)2019年天津高考数学题根系列(40份Word)2019北京二模分类汇编文科(12讲Word)2019北京二模分类汇编理科(10讲Word)2020北京市高三各区一模分类汇编(14讲Word)2019年上海16区高三一模试卷(16区Word)2020年上海16区高三一模试卷(16区Word)2020年上海市高考二模标答版2019年浙江高考数学题根系列(44份Word)2020浙江省高考二轮专题复习与增分策略正弦定理和余弦定理必考点梳理(精编Word)高中椭圆章节必考点梳理(精编Word)高中双曲线章节必考点梳理(精编Word)高中抛物线章节必考点梳理(精编Word)数列涉及的21个必考点梳理(精编Word)导数章节涉及的19个必考点全梳理(精编Word)三角函数与解三角形最值问题全梳理(精编Word)抛物线中最值问题全梳理(精编Word)立体几何中最值问题全梳理(精编Word)数列中最值问题全梳理(精编Word)平面向量中最值问题全梳理(精编Word)不等式中最值问题全梳理(精编Word)基本初等函数中的最值问题全梳理(精编Word)直线与圆中最值问题全梳理(精编Word)解几+立几+导数+排列组合二项式+概率+选择填空题解题策略重难点突破:最值问题全梳理(8讲Word)高考必备活用16个二级结论高中数学破题36个大招极化恒等式在数量积中的应用重难点突破 高中生快速解题必会的18个解题模板圆锥曲线最值问题的的7种必考题型高考数学100个高频考点高考数学4大思想涉及的20种高频考点全梳理如需小学数学资料,请点击本文最下方
戳“阅读原文”,更有料!

向量数量积相关的最值问题的常见处理方法
湖南永州,唐佳
浙江省平阳中学,洪一平
湖北省阳新县高级中学,邹生书
向量集数与形于一身,是数形结合的良好载体。解决向量与数量积相关的最值问题或取值范围问题,常见的处理方法主要有:
1.几何法,即转化几何图形运用几何性质求解。如:三角形中线长公式,矩形大法,还有湖南永州唐佳老师提出的平行四边形大法(实际上是三角形中线长公式的另一种表现形式),两点之间线段最短等;2。坐标法,通过建立直角坐标系,运用向量的坐标运算转化为代数问题来处理;3.向量方法。即运用向量数量积的定义、数量积不等式、向量极化恒等式等有关向量知识解决问题;4.综合运用多种数学知识和方法解决问题。下面结合几个典型题目进行方法解读。方法一:运用矩形大法求解


方法二:矩形大法之推广——平行四边形大法


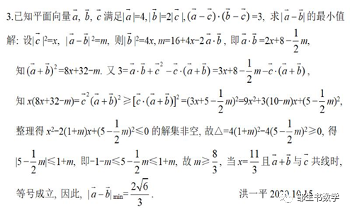
解法2:洪一平老师的向量不等式+判别式解法

方法三:用向量数量积的定义求解

解法1:向量方法 用向量数量积的定义求解

解法2:坐标法 用向量数量积的坐标运算求解

方法四:用几何法或向量不等式求解

洪一平老师的几何法与向量不等式解法如下:


方法五:用向量数量积的坐标运算求解

解法1:坐标法

解法2:用向量的极化恒等式求解

方法六:用向量的极化恒等式求解


解:运用向量数量积的运算或极化恒等式求解
如图,取MN中点G,连接CG.

文章来源:邹生书数学,作者:邹生书;如存图片/音视频/作者/来源等使用或标注有误,请随时联系微信ABC-shuxue处理。
最后,邀您进下方公号学习

戳“阅读原文”,更有料!