上篇已讲解了电池单体产热特性及电池模型相关理论,相较之下等效电路模型无需对电池内部的电化学反应有着深入的分析,是通过电路来描述电池的开路电压、内阻等,以实现对电池外特性的表征。本篇将继续讨论此问题,用Matlab和Amesim模型搭建并进行参数识别,简单阐述如何通过starccm+进行模型搭建。
Matlab电池模型参数辨识
本文对二阶RC等效电路模型进行参数辨识。一般来说HPPC测试数据是主要的输入文件,在之前写的《实现电池管理所必要的电池测试数据有哪些》也有提到。文中特别指出普通的测试方法(即FreedomCAR的标准测试方法)所提供的数据对于进行等效电路模型参数辨识而言是不够充分的。普通测试方法指定的脉冲测试SOC点是从90%开始至10%结束,中间间隔10%,共9个点;而对于电池而言0%~10%和90%~100%恰巧就是极化最为显著的区间,一旦缺失了该部分的数据模型精度将受到比较大的影响。因此我将HPPC测试增加了8个测试点:0%、2.5%、5%、7.5%、92.5%、95%、97.5%、100%。
测试全程的数据如下图:
数据分解有了上面的整体测试数据,接下来需要针对每一个SOC点上的脉冲功率测试曲线进行分析。
①10S放电脉冲(U1-U4区间):当电池受到了10秒的放电脉冲,由于极化现象的产生电池电压会迅速从U1下降至U2,并且可以认为这部分压降主要是欧姆极化的作用。U2至U3部分可以认为是在持续放电期间电化学极化和浓差极化共同产生的压降。当放电电流消失,电池电压从U3迅速回弹至U4,同样可以认为是由于欧姆极化的消失。
②40S搁置(U4-U5区间):这一区间可以被认为是零输入响应,可以通过这一段曲线拟合二阶RC参数,稍后具体展开。
③10S充电脉冲(U5-U8区间):与放电同理。根据计算会发现电池在同一SOC状态下,放电方向和充电方向的欧姆内阻和RC参数是有一定差异的,从提高模型精度的角度看可以分别求出充放电方向的参数,再在应用时根据实际电流情况进行参数切换。
④40S搁置(U8-U9区间):与放电同理。
二阶RC等效电路模型参数识别

直流内阻R0
放电方向的直流内阻即可以是:

考虑到测试存在误差,R0的取值为两者的平均值。充电方向的直流内阻计算也是同理。
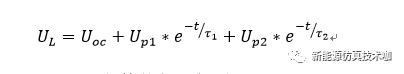
Up1、Up2及RC时间常数
U4-U5区间40秒的搁置,可以用零输入响应的公式进行拟合:

通过MATLAB Curve Fitting Tool很快就得以得到Uoc、U0p1、U0p2、时间常数1和时间常数2。

对测试得出的OCV与等效电路模型拟合的OCV进行比较如下图:

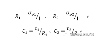
根据U3时刻C1和C2上的电流和电压即可求出R1和R2,再通过时间常数求出C1和C2。

最后可以计算得到在不同SOC状态下的等效电路参数表。但这仅仅是电池在BOL@25℃时刻的状态。
基于Matlab的Simscape模块,建立电池单体二阶RC模型和产热模型如下,该模型基于25℃、不同SOC状态数据建立,并未考虑充放电过程中温升对产热的影响。根据不同的循环工况所对应的电流输入即可计算出电池单体产热。
Amesim电池模型参数辨识接下来讲解一下Amesim中电池模型及参数标定。Amesim中ESS库中包含通用电池模型、标定电池模型、安全控制单元(SCU),在通用电池模型中子模型包含简单模型、准静态模型和动态模型。

动态模型等效电路
动态模型等效电路模型如下图所示,开路电压OCV与(SOC,T)有关,欧姆内阻Ro与(SOC,I,T)有关。扩散现象在具有5个RC单元的等效电路中表示出来,扩散内阻Ro同样与(SOC,I,T)有关。通过下面等效电路模型,等效电路参数进行辨识,能准确反映电池充放电及产热特性。

电池参数辨识
如前文所述,OCV、欧姆内阻和扩散过程是通过数表来描述的。这些参数可以通过电池参数辨识工具来获得。通过Battery Identification Assistant(电池辨识助手),根据试验数据,实施动态电池模型所必需的不同电气参数的辨识过程。Battery Identification Assistant的主界面可辨识电池模组ESSBATPTO01/ 02/03和电池单体ESSBATCTO01 / 02/03子模型的所有动态电池模型参数。

Battery Identification Assistant有三个模式:设置、辨识、预/后处理。接下来讲一下使用BatteryIdentification Assistant参数辨识。辨识和仿真的整体过程如下:

讲一下辨识参数过程,上面已经讲解了动态模型等效电路,参数辨识包括OCV辨识、欧姆内阻辨识(Rc and Rd)、扩散效应辨识(dtc and dssr)。首先将试验数据导入Battery Identification Assistant,电池辨识助手会自动辨识试验数据,进入主界面,如下图所示。当电池助手界面打开时,加载数据后,将显示设置模式(1)。在此模式下,将显示电池参数以及电流和SOC设置(2)。可以定义识别范围,在这种情况下,它包括整个数据时间集(3)。为了减少仿真时间,可以将验证范围减小到仅包括一个中间充放电循环(4)。

第二种模式用于实际辨识模型参数(1)。首先为OCV的辨识(2),速度较快;其次为欧姆电阻的辨别,速度较慢,因为将为充电和放电电阻辨识更多的值。扩散识别是一个优化过程,因此辨识扩散时间常数和稳态电阻也可能很慢。

参数辨识完成后,在Pre/post模式下,可以将辨识参数结果导出Excel格式,关闭Battery Identification Assistant,辨识出的参数及其他模型参数将被复制到电池子模型(1)。

完成模型参数辨识后,输入此工况电流,运行计算,如下图所示,可以得出此工况下电池单体(模组)的功率。同时,辨识后的电池模型可以用于电池热管理系统、电池SOC估算、整车热管理系统的搭建。

最后简单谈一下,CFD等效电路建模仿真(以starccm+为例),分为简单电路模型和RC电路模型。简单(内阻)电路模型可在starccm+中通过函数定义建立模型,而RC等效电路模型需借助电池软件BDS建模,本篇就不展开细说,有需要了解starccm+可阅读全文。
感谢阅读
报名培训,参与/赞助技术交流会,申请加入热设计平台顾问团、加入微信群等事宜,扫码添加热设计网客服微信。
