Markdown语法
- Markdown学习资料
- 【使用建议】
- 快捷键
- 目录
- 标题
- 文本样式
- 列表
- 链接
- 代码片
- 表格
- 注释 & 注脚
- 自定义列表
- LateX数字公式
- 插入甘耐图
- 插入UML图
- 插入Mermaid流程图
- 插入Flowchart流程图
Markdown学习资料
「中文文案排版指北」
「官方文档」 [科学上网]
【使用建议】
Markdown编辑器最右栏 选择相应模块 复制后直接在原来的基础上改

快捷键

目录
- Markdown 语法
- 展示效果
标题
- Markdown 语法
- 展示效果
文本样式
- Markdown 语法
- 展示效果
列表
- Markdown 语法
- 展示效果
链接
- Markdown 语法
- 展示效果
代码片
- Markdown 语法
- 展示效果
表格
- Markdown 语法
- 展示效果
注释 & 注脚
- Markdown 语法
- 展示效果
自定义列表
- Markdown 语法
- 展示效果
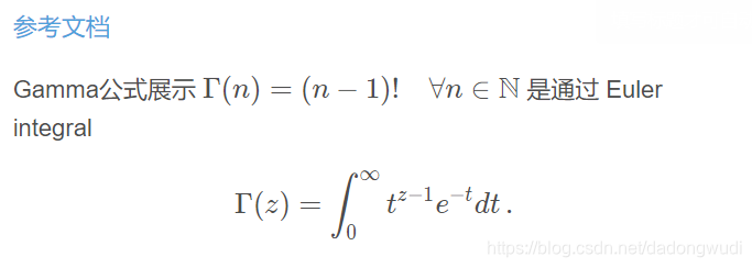
LateX数字公式
- Markdown 语法
- 展示效果
插入甘耐图
- Markdown 语法
- 展示效果

插入UML图
- Markdown 语法
- 展示效果
插入Mermaid流程图
- Markdown 语法
- 展示效果
插入Flowchart流程图
- Markdown 语法
- 展示效果



























